接下来中公教育带大家一起看看,如何快速挑题。
A.45 B.48 C.56 D.60
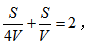
答案:B。根据题干“步行的速度比跑步慢50%,跑步的速度比骑车慢50%”,若设骑车速度为4V,则跑步速度为2V,步行速度为V。设从A城到B城的路程为S,则根据“骑车从A城去B城,再步行返回A城共需要2小时”可列方程为:去分母整理可得
A.6 B.7 C.8 D.9
答案:A。此题为工程问题,结合题干已知甲乙丙效率比可设甲乙丙效率分别为6、5、4。可根据A、B两项工程工作量相同列方程,假设丙在A工程中参与t天,则在B工程中参与(16-t)天。化简整理解得t=6天。
A.1200 B.1250 C.1500 D.1600
近几年考试中数量关系板块的第一题通常相对简单,还可以选择自己平时练习中相对较为简单和熟悉的题型,如工程问题、行程问题、几何问题等,再者可以看题干相对简单,数据不多的题目。掌握了这几个挑题原则,就可以在考试有限的时间内快速挑出一些数量关系做对,所以数量关系千万别全放弃哟!
还有不清楚的同学建议报名《国考延期领学季-明师带你练》,明师带你一起备考。12月16日19点,直播带你学习行测言语经典易错题,点击下方立即报名听课!
课程优惠详情点击咨询人工客服
↓戳下方领取其他课程优惠↓