11月7日0时15分
104岁的无锡画家朱枫在家中安详去世
![]()
他一生淡泊名利、耄耋之年才为外界瞩目
2018年10月
江南晚报曾参与联合承办
他的百岁画展及庆生
也是无锡历史上
“恩师是今天0时15分仙逝的。”今天一早,朱枫老先生的弟子张孝林回忆起与恩师的交情时哽咽道,“1982年,我与恩师因为书法结缘,整整40年,恩师与我亦师亦友。他的艺术成就、他的为人品性,之于我都是高山仰止。”
张孝林介绍说,恩师出生于1919年,原名朱建昌,字秋鸿、号野禅,上世纪30年代曾就读于上海美专学西画,后在无锡江南画院专修国画,长期从事图案设计和美术教育工作。他醉心画艺近90年之久,融书法艺术入中国国画的大写意花鸟堪称一绝,却很长一段时间内不为世人知,盖因他为人低调、不逐声名。
![]()
部分朱枫先生的画作
2006年,两位重量级的无锡籍文化名人国学大师冯其庸、著名雕刻家及书法家钱绍武,用题词写诗、来锡见面等不同方式,与朱枫交流交往。无锡市新吴区有位书画双奇的德艺高人,才始被业界知晓,而这一年朱枫已88岁高龄。
张孝林说,1948年,冯其庸与其恩师在无锡胶南中学是同事,看到朱枫躬耕画室数十年、开创出新的画作,欣喜之余当即题词写诗:“平生参透笔头禅,墨阵纵横已忘筌。悟到狂花本禅意,出门一笑大河前”。
![17.jpg]()
![]()
![-28.jpg]()
![9.jpg]()
![21.jpg]()
部分朱枫先生的画作
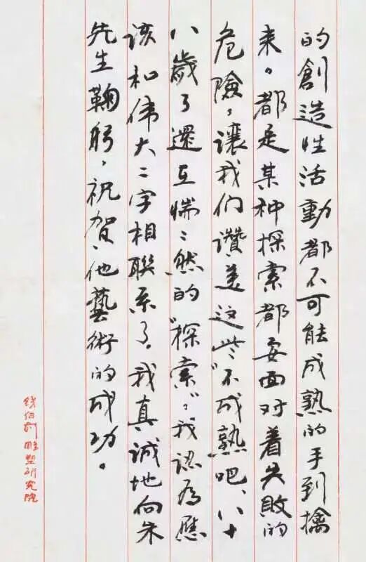
钱绍武与朱枫本不认识,也是在看到朱老画作后,非常惊讶与钦佩,不但写信给他,还于2006年6月16日专程来锡与朱老见面,“钱老称赞恩师——‘朱枫先生的画作精品和世界级的艺术大师比毫不逊色’,这是属于他们两位之间惺惺相惜才有的高度评价。”
2006年6月,钱绍武先生专程拜访朱老。
我和朱先生是同乡,但是没见过朱先生的画,这次由于偶然的机会,见到了一大批先生的杰作,使我大开眼界。我以为在目前的国画界,能做到这样水平的画家是极少的了。令我心折的是朱先生的画完全出于性灵,都是真情实感的流露。他对于一草一木、一群小鱼、一只小鸟都怀有着真挚的爱。这种爱似乎使他和这些草木虫鱼都溶为一体了。它们的活泼、它们的自由、它们的孤独、它们的寂寞和他自己都神遇而跡化了。在一丛篱落下的杂草中,他看到了生机。在山洞里遥望远处极小的洞口透入的一丝天光,他看到了自己,他寄托响往和希望。林外的落日,风中的芦苇都透露出一种落寞与凄清,都有一种说不出的悲怆。他的笔墨是松秀的、潇洒的,但又是老到的、凝练的,他的画笔已是内在感情的自然流动,已经像阿炳的琴弦达到了王国维先生歌颂的不隔之境。他的画都是透明的,都是他的灵魂和观众在直接地交流。这正是第一流的艺术的根本标志。这才是真正的艺术技巧。正如罗丹所说“一件艺术品使你感动了,那就用不着去评价它的技巧了,那技巧肯定是好的。”据说朱先生自已十分谦虚,他认为自己的画还很粗糙,不够成熟,只是一些探索性的尝试。我以为这才是一位大艺术家真实心态,真正的创造性活动都不可能成熟的手到擒来。都是某种探索,都要面对着失败的危险,让我们赞美这些“不成熟”吧!八十八岁了还在惴惴然的“探索”。我认为应该和伟大之字相联系了,我真诚地向朱先生鞠躬,祝贺他艺术的成功。![]()
东坡论文曰:“当如风行水上,自然成文耳”,余借此语以颂朱枫先生之艺。
——钱绍武
除了冯其庸、钱绍武,还有无锡籍美术家程及、工艺美术大师王木东,生前也与朱枫有过面对面的深入交流。程及和朱枫交流
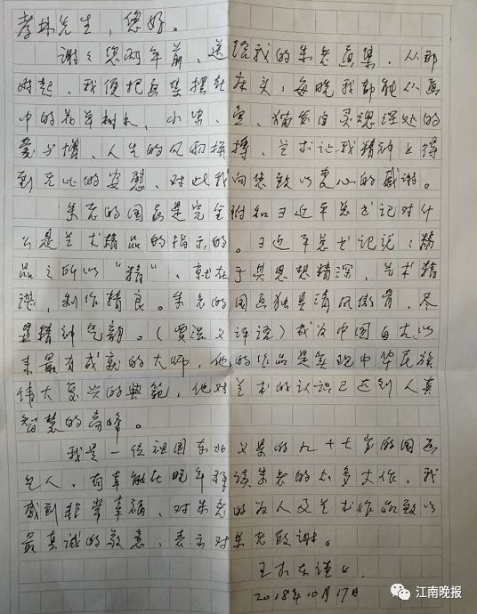
2018年10月,恰逢朱枫百岁寿辰,无锡市委宣传部、无锡市文联、新吴区人民政府主办“枫叶流丹”朱枫百岁绘画艺术展,江南晚报有幸作为承办方参与其中,为朱枫老先生拍摄了纪实影像资料。新吴区宣传部、梅村街道是画展主要承办方,朱枫曾长期工作和生活在梅村。1948年~1970年,他先后在梅村的无锡县师范和梅村中学任美术教师,桃李满天下。在他的大力支持下,从2018年开始,梅村街道先后制作了以朱老的24幅书画作品为插图的“诗里画里梅里”文化笔记本、设计制作了“枫叶流丹”梅里文化小镇宣传台历和宣传折页等。那次无锡历史上最高龄画家的特别画展,不乏重量级的嘉宾以不同形式表示祝贺——全国政协常委、中国美术家协会副主席、中国美术馆馆长吴为山,以及中国书法家协会学术委员、著名书法家华人德为画展题字,96岁的王木东大师还亲临现场祝贺及观摩。2018年朱枫百岁绘画艺术展,王木东大师对朱老翘起了大拇指,这是他们首次见面。王木东写给张孝林的信中说,他把朱枫的画集摆在床头,感受画作中发自灵魂深处的爱与憎,以及展现的人生风雨拼搏。
而在子女的眼中,朱枫甘于平淡、正直不阿,宽厚隐忍、磊落坦荡,是对他们教育有方的父亲。女儿朱珠说,父亲生前交代过,待他百年后一切从简;父亲无疾而终,让他们做子女的十分感慨:父亲其实一生历经磨难,但父亲以常人难以想象的忍耐力挺了过来,为子女做出了人生榜样;在艺术追求上,父亲早年按部就班的作品多,退休后才得以全身心研究创新出自己的风格,几十年勤恳琢磨不改其志,忆来泪奔;父亲也知道艺术需要天分和兴趣热爱,从未强迫我们子承父业,由着我们各自选择,我们永远敬他爱他!”
![]()
记者:何白 吴雨琪
来源:江南晚报,图片素材来源于无锡高新区在线、梅里聚焦等点亮![]()