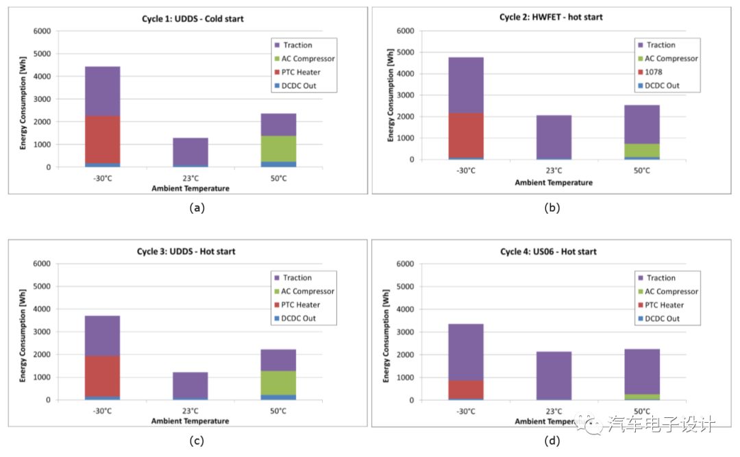
BMW I3的一些实际测试数据

朱玉龙 汽车电子设计