广东高考放榜!江门一中梁嘉炜正与清华大学招生办面谈!

2017-06-25 江门高新 江门高新


6月25日上午11时,

广东省教育考试院公布

2017年广东省高考录取分数线!

转发这条锦鲤为自己祝福!



6月25日上午,广东省教育考试院举行新闻发布会,正式公布广东省2017年普通高校招生各批次录取最低控制分数线。


今年广东省普通高校招生各批次录取最低控制分数线如下:


一、第一批本科院校(含执行本批次最低控制分数线的提前批本科院校)


文科类:总分520分。

理科类:总分485分。

体育类:文化科总分330分,体育术科235分。

美术类:文化科总分308分,美术术科230分。

音乐类:文化科总分295分,音乐术科220分。

重点高校招收农村和贫困地区学生(地方专项计划):

文科类总分500分,理科类总分465分。


二、第二批本科院校(含执行本批次最低控制分数线的提前批本科院校)


文科类:总分418分。

理科类:总分360分。

体育类:文化科总分280分,体育术科190分。

美术类:文化科总分280分,美术术科210分。

音乐类:文化科总分250分,音乐术科190分。

高水平运动队(含一本、二本):

文科类总分460分,理科类总分420分。


三、第三批专科院校(含执行本批次最低控制分数线的提前批专科院校)


文科类:总分210分。

理科类:总分200分。

体育类:文化科总分190分,体育术科180分。

美术类:文化科总分190分,美术术科160分。

音乐类:文化科总分190分,音乐术科150分。


四、高等院校招收中等职业学校毕业生


中职毕业生:文化科总分180分,并取得广东省中等职业技术教育专业技能课程考试合格证书。

高职院校招收退役士兵:文化科总分120分。

高职院校招收内地西藏新疆班:文化科总分120分,并取得广东省中等职业技术教育专业技能课程考试合格证书。


五、订单定向培养农村卫生人才


(一)第一批本科院校农村卫生人才定向:

理科类总分465分。

(二)第二批本科院校农村卫生人才定向:

理科类总分335分。

(三)第三批专科院校农村卫生人才定向:

理科类总分310分,文科类总分370分。


六、各类院校招收少数民族聚居地区少数民族考生


(一)第一批本科院校少数民族预科班:

文科类总分480分,理科类总分445分。

(二)第二批本科广东技术师范学院(民族班):

文科类总分380分,理科类总分320分。

(三)第二批本科院校少数民族预科班:

文科类总分370分,理科类总分310分。

(四)第三批专科广东技术师范学院(民族班):

文科类总分360分,理科类总分300分。


七、其他预科班

第二批本科院校边防军人子女预科班:

文科类总分350分,理科类总分300分。


(附:2011—2016年广东录取分数线)







小编收到风↓↓↓

喜讯

江门一中梁嘉炜

高考成绩位列全省第15

正与清华大学招生办面谈


2017年高考,6月25日中午发榜,江门一中梁嘉炜以总分683的高分位列全省第15名,现在正与清华大学招生办面谈。

梁嘉炜各科成绩:语文 130、理科数学 140、理科综合 272、英语 141,总成绩 683,本科排位总分(含政策性加分) 683,本科理科排位 15 ,专科排位总分(含政策性加分) 683,专科理科排位 15

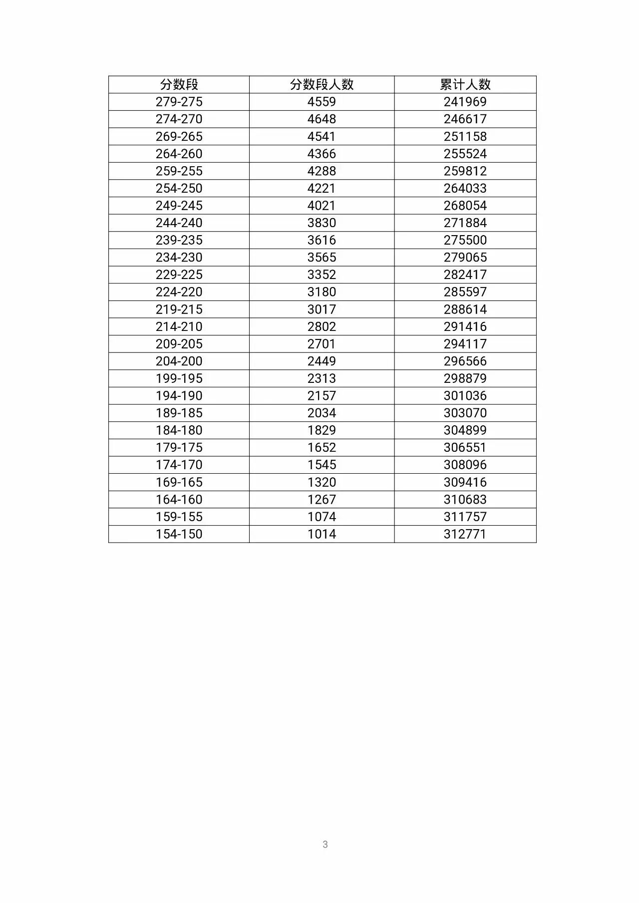
下面来看看各类分数段,点击看大图↓↓↓↓)

怎么查成绩?


考生可以通过以下渠道查询高考成绩


微信


考生关注广东省教育考试院官方微信(ID:gdsksy),点击右下角“高考查分”栏,即可进入查询成绩。


短信


1.广东地区移动用户编辑短信息:“RWWW03+准考证号+4位出生年月(例:1998年8月,即9808)”发送至10669500即预定或可查询高考各科成绩。


2.广东地区联通用户编辑短信息:“18+准考证号+4位出生年月(例:1998年8月,即9808)”发送至10629500即预定或可查询高考各科成绩。


3.中国电信手机用户编写“KAF+准考证号+4位出生年月”(例如准考证号是0123456789,出生年月是1996年6月,则发送:KAF01234567899606,),发送至10622168,即可预定或查询成绩。


电话


电信、联通、铁通用户拨通96040按“1”号键,根据语音提示输入准考证号,即可预定/查询高考成绩。


网站


考生登录广东考试服务网(http://www.5184.com),按提示操作即可查询高考各科成绩。


手机APP


IOS版手机用户可登录apple store平台搜索“5184高考”下载安装,按提示操作即可查询高考各科成绩。


Android版手机用户可登录各大安卓手机软件平台搜索“5184高考”下载安装,按提示操作即可查询高考各科成绩。



高考成绩复查申请


考生在获得高考成绩后,如对本人高考某科成绩有疑问,可在6月27日17:00前携带准考证到所在中学或当地县(区)招生办公室(考试中心)提出复查分数的书面申请,省教育考试院将组织专人进行复查。


近日,省教育考试院接到考生投诉:反映有以个人和公司注册的微信公众号声称提供高考成绩查询,对此,省教育考试院郑重声明:除上述查询渠道以及广东省政府新闻办公室官方微信号“广东发布”、广东省教育厅官方微信公众号“广东教育”链接查询外,省教育考试院从未授权或委托任何个人微信公众号或微博或网站、非政府部门和非官方媒体发布考试招生相关信息。


请广大考生、家长按省教育考试院公布的高考成绩查询渠道查询,以免上当受骗。


对个别人和公司利用高考信息炒作,误导考生以牟取利益的行为,省教育考试院予以谴责,并保留法律追究的权利。


如何填报志愿?


提前批以外批次27日起填报志愿

2017年普通高校招生实行网上填报志愿。填报志愿时,考生须先凭考生号和密码登录省教育考试院普通高考志愿填报系统(网址为:http://www.ecogd.edu.cn/kszy/)填报院校和专业志愿,在规定时间内完成网上志愿确认,再到中学(报名点)办理志愿表签名手续。考生可自行上网填报或到中学(报名点)集中填报。


考生填报志愿分两个时段进行



第一时段:6月26日 13:00~6月27日17:00


本时段仅填报需政审(政治考核)、面试、体检的提前批军队、武警、公安、司法以及招收飞行技术专业等院校志愿,报考上述院校或专业志愿的考生必须在本时段填报并进行网上确认。


第二时段:6月27日 20:00~7月1日20:00


本时段填报除提前批军队、武警、公安、司法以及招收飞行技术专业院校以外的其他各批次、各科类院校志愿(包括提前批的其他院校志愿以及其他各批次志愿、自主招生等院校志愿,地方专项计划院校志愿)。


所有考生(包括已在第一时段填报了军队、武警、公安、司法以及飞行技术专业院校志愿的考生需填报其他批次志愿)必须在本时段填报并网上确认。



如确认后发现错误可到报名点更正


考生根据打印的志愿表认真核对所报院校和专业,如发现错误,可向中学(报名点)提出书面更正申请(第一时段所填报的院校和专业志愿不得更改),由报名点修改后双方签名确认并存档。7月2日16:00后,各中学(报名点)不再受理更正错误的申请。为避免集中填报造成网络“塞车”,请考生注意避开填报志愿高峰期,尽量减少连续在线时间,提前在填报截止时间前确认。


重点来了!!


填报志愿知多D


成绩出来了,怎么填志愿?

小编来教教你!


江门日报“高考热线”28日开通


为给考生填报志愿提供指导,6月28日,江门日报社、中国江门网将继续与市教育局及我市四所高校联合举办“高考热线”答疑活动。


市招生办与五邑大学、江门职业技术学院等我市几所高校的招生负责人,将指导大家更准确地填报志愿和选择专业。


今年“高考热线”举办时间定在6月28日9:00开始,地点在江门日报社7楼演播厅(华园中路25号)。


学生、家长可在现场或通过“直播江门”APP及江门日报官方微博、微信向专家咨询志愿填报、专业选择、高校的招生计划、录取分数、专业的就业前景、课程设置,师资力量、未来的发展走向等方面的信息。



有媒体统计了2013年到2016年广东高考本科投档情况,考生在填报志愿时,可以参考各校的最低排位。在平行志愿填报模式下,最低排位在不同年份相对稳定,有很大的参考价值。


考生在填报时,根据今年高考成绩的排位,找到往年与之相对应的最低排位的高校,然后圈定自己可能报考的高校名单,例如理科考生排位8500名,去年与之最近排位的是华南理工大学,接下来可在华南理工大学排位前后相近的大学里寻找心仪的学校进行填报。

简单来说,就是看排位,选学校

填报时最好参照“一冲二稳三保”原则,应根据自己的分数对应填报,不可冲得过高,也不要估得太低。

说明:

1. 表中空格表示没有数据,意味着该学校当年在此学科大类没有在广东招生或者是在其他批次招生。

2. “-”意味着投档不足,也意味着没有最低排位。

3. 表格中的数据仅供参考。表格中的数据来源于广东省教育考试院官方网站,数据如有差异,请以考试院网站数据为准。

4. 部分高校在一本、二本均有招生,敬请考生家长注意。


点击图片可查看大图!!!


一本文科


一本理科


二本文科


二本理科



(综合:江门日报、南都江门)


随手点ZAN

温暖你我