上一期我们对Matlab软件的安装进行了介绍:MATLAB2018b安装教程(点击查看)。这次我们来简单学习下如何用Matlab来绘制一元二次方程。
选择用Matlab2018b软件绘制科研Figure的小伙伴需要简单学习一些编程即可,事实上有许多过程可以直接拟合出图,不用编程。今天绘制一元二次方程,仅仅需要知道方程式的输入方式和plot的用法即可。
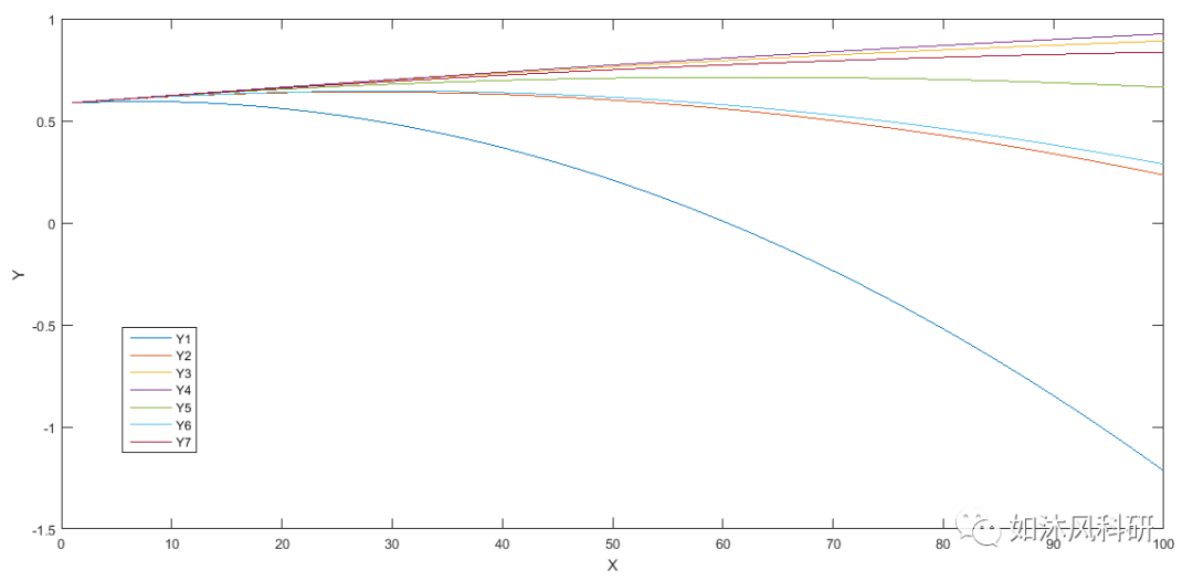
下面就开始绘制一元二次回归方程:
1.打开软件,找到命令行窗口
2.命令窗口方程的输入:
y1=-0.00021*x.^2+0.003*x+0.584;
y2=-0.000077*x.^2+0.0042*x+0.584;
y3=-0.000011*x.^2+0.00417*x+0.584;
y4=-0.0000073*x.^2+0.00415*x+0.584;
y5=-0.000034*x.^2+0.0042*x+0.584;
y6=-0.000072*x.^2+0.00423*x+0.584;
y7=-0.000016*x.^2+0.00412*x+0.584;
按照这种形式输入。
同时按自己需要输入x的取值范围:x=1:100
2.输入Figure绘制语言:
plot(x,y1,x,y2,x,y3,x,y4,x,y5,x,y6,x,y7);
3.按回车键Enter出图:
4.根据需要美化Figure出图:
你学会了吗?赶紧试试吧
2021-01-12
2021-01-12
2021-01-10
2021-01-09
2021-01-08
2021-01-08
2021-01-07
2021-01-06
2021-01-06
2021-01-05
2021-01-03
2021-01-02
如沐风科研维修站 (Rumfer)公众号:由浙江中医药大学、中国药科大学、江西中医药大学以及福安药业和浙江省疾控中心的硕博士组成,主要发布药物研发、生产及注册,科研实验及前沿咨讯等相关信息。欢迎广大朋友老师关注我们,您的分享和关注是对我们的最大鼓励。