The following article is from 医咖会 Author Siyu
详细的医学统计教程;实例讲解临床研究设计;咨询临床研究方法学大咖;研究进展、临床指南、专家观点和循证医学案例...
中国肿瘤登记已有约60年历史,肿瘤登记的作用也在不断扩大。2020年7月,《Lancet Oncology》上发表了一项综述,回顾了我国肿瘤登记体系发展过程中的里程碑事件,并描述了1973年到2015年中国癌症发病率和死亡率的变化情况。该综述的通讯作者为国家癌症中心主任赫捷院士。
中国肿瘤登记的里程碑事件
中国最早的肿瘤登记中心,是1959年在林州成立,为了调查太行山地区食管癌高发情况;
1963年,上海建立了第一个城市地区肿瘤登记中心;
20世纪70年代,第一个全国性的癌症死亡率回顾性调查完成,覆盖全国96.7%的地区,报告清晰展现了中国癌症死亡率模式和分布特征,发现了一些癌症高发地区。
随后,更多地区建立了肿瘤登记中心,至20世纪90年代,12个登记中心运行,大部分位于癌症高发地区。
第二次全国性癌症死亡率回顾性调查在1990-1992年进行,结果显示,中国从1973年开始癌症死亡率在增加。
全国肿瘤登记中心(NCCR)成立于2002年,中心每年都会收集、管理和分析肿瘤登记数据。
2005年,我国开展了第三次全国范围内的癌症死亡率调查,结果表明,从1973到2005年,胃癌、食管癌、肝癌的负担持续增高,肺癌、女性乳腺癌、结直肠癌也呈上升趋势。
肿瘤登记中心的数量从2008年的43个增加到了2019年的574个。
图1. 1959-2019年中国肿瘤登记中心数量和每年国家资金拨付情况
中国肿瘤登记的现况
截止2019年7月,中国的574个肿瘤登记中心,覆盖了全国4.38亿人(占中国总人口的31.5%),在被覆盖的人群中,48%来自城市登记中心,52%来自农村登记中心。肿瘤登记的最主要渠道是医学机构、医院和诊所。
随着信息化的发展,肿瘤登记的形式也在变化,40%以上的肿瘤登记中心开始使用电子数据管理系统上报数据至NCCR。为了保证所有肿瘤登记中心的数据质量,研制了中国肿瘤登记数据的国家标准,包括数据的可比性、完整性和有效性,只有被认为是高质量的数据才会被放入年鉴。
40年来中国癌症的变化
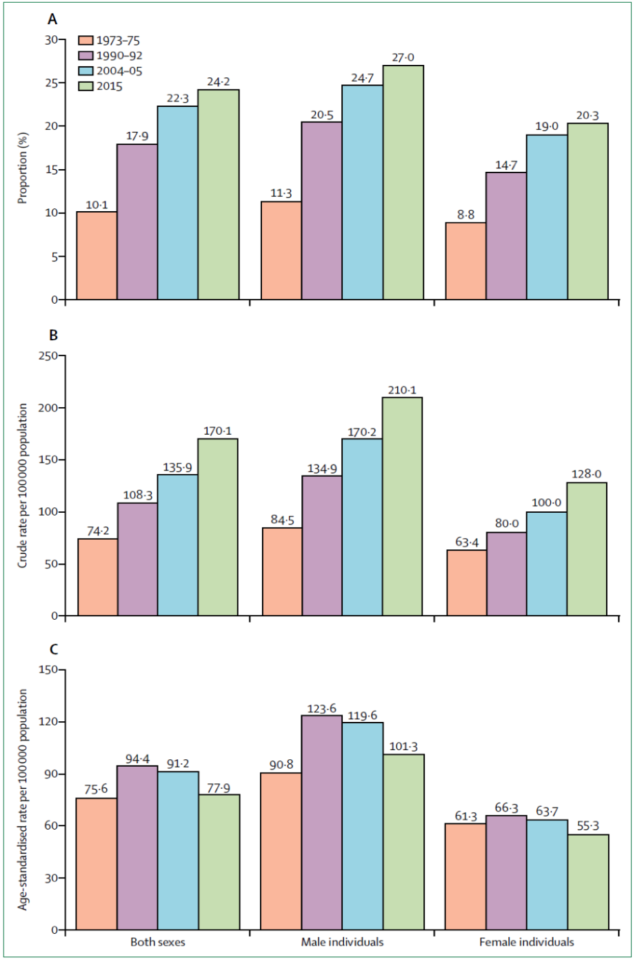
过去40年来,中国癌症负担显著增加,中国人群死于癌症的比例从1973-75年的10.1%上升至2015年的24.2%;癌症的粗死亡率从74.2/10万上升至170.1/10万;但年龄标化死亡率从1990-92年的94.4/10万降低到2015年的77.9/10万。20年来年龄标化癌症死亡率大大降低,表明粗死亡率的上升大部分归因于老龄化人口的增长。
图. 1973-2015年中国癌症死亡率变化情况
(A. 死于癌症的比例; B. 粗死亡率;C. 年龄标化死亡率)
食管癌和胃癌的年龄标化死亡率下降,而肺癌、结直肠癌和乳腺癌的年龄标化死亡率上升。人口老龄化、肥胖率上升、缺乏运动、感染性疾病的控制、吸烟率高、空气污染可能都对中国癌症谱的变化产生了影响。
从2000到2015年,整体来讲,男性和女性的癌症粗发病率都增加了,女性的年龄标化癌症发病率呈上升趋势,而男性的年龄标化发病率较为稳定。男性中最常见的癌症是肺癌、胃癌、结直肠癌、食管癌和膀胱癌,而女性中最常见的癌症是乳腺癌、肺癌、结直肠癌、甲状腺癌、胃癌和宫颈癌。
图. 2000-15年中国癌症粗发病率和年龄标化发病率的变化趋势(ASR,年龄标化率;CR,粗率)
整体来讲,癌症的5年生存率从2003-05年的30.9%上升到2012-15年的40.5%。生存率因癌症种类不同而有明显的差异,胰腺癌仅为7.2%,而甲状腺癌可达到84.3%。8种癌症的5年生存率显著提升,即食管癌、胃癌、喉癌、骨癌、宫颈癌、子宫体癌、膀胱癌和甲状腺癌。但更致命的肿瘤,例如胰腺癌和胆囊癌的生存率没有改善。
参考文献:Lancet Oncol 2020; 21: e342–49
我们恳请:若能转发分享,我们将非常感谢!(目前微信公众号改为乱序推送,将如沐风科研设为星标,时常点击阅读,我们才会出现在您推送的前面位置)。
【加入中医药交流群】添加小编微信邀请加入,也可由群友邀请加入,欢迎广大老师、朋友加入我们。
小编微信:
2021-01-27
2021-01-25
2021-01-24
2021-01-24
2021-01-22
2021-01-22
2021-01-20
2021-01-18
2021-01-18
2021-01-16
如沐风科研 (Rumfer)公众号:由浙江中医药大学、中国药科大学、江西中医药大学以及福安药业和浙江省疾控中心的硕博士组成,主要发布药物研发、生产及注册,科研实验及前沿咨讯等相关信息。欢迎广大朋友老师关注我们,您的分享和关注是对我们的最大鼓励。