时空与物质、广义相对论与量子力学的完美结合——深度科普解读双中子星并合多信使观测

2018-01-02 陈雁北 范锡龙 中国物理学会期刊网 中国物理学会期刊网

作者:陈雁北1, 范锡龙2,(1 美国加州理工学院) (2 湖北第二师范学院)


第一
4个天文发现:GW170817(引力波)、GRB170817A( 伽马暴) 和SSS17a( 千新星)以及确认它们的宿主星系NGC4993


2017 年8 月17 日,12 点41 分20 秒(UTC),也就是北京时间20 点41 分20 秒,NASA 的费米伽马射线空间望远镜发出了一个GRB170817A的伽马射线暴报警,这是一次到达时间在20 点41分06秒的短伽马射线暴。


6 分钟后,LIGO 的实时数据分析程序也在Hanford 观测站的数据中自动找到了可能对应于两个致密星体碰撞发出的引力波信号,引力波碰撞信号到达地球的时间是20 点41 分04 秒,比伽马射线早约2 秒。LIGO 和VIRGO 团队的快速反应小组马上人工确认了信号具有高置信度,并且初步估计了信号在天空中的方位, 与GRB170817A 在误差范围内一致。非常幸运的是,刚上线不久的VIRGO,虽然灵敏度尚赶不上LIGO,但是大大缩小了定位的误差。这个引力波事件被定名为GW170817(图1)。


图1 绿色的轮廓是引力波探测对GW170817 在天空中的定位(浅绿色的两个轮廓是LIGO 的定位范围,而深绿色的轮廓是加入VIRGO以后的定位范围),蓝色轮廓是伽马射线探测器对GRB170817A的定位。标有Swope 的灰色插图是光学望远镜对SSS17a 的定位,而标有DLT40 的灰色插图是在事件前的对照,上面灰色图多出的小点是SSS17a,而两者都有的大黑点是NGC4993 星系。(来源:The Astrophysical Journal Letters,2017,848:L12)


很快,GRB170817A 和GW170817 方位被发布给了早有准备的70 多个天文学家团队。由于信号的位置正好在澳大利亚上空,而光学天文观测只能在夜晚进行,并且只能往天上看(但是引力波探测器则不受地球的遮挡),这就给了智利和南非的天文学家先机。结果,坐落在智利的Swope 望远镜(一个1971 年建造的,按照现在的标准不怎么起眼的1 m口径望远镜,见图2)拔了头筹,率先在NGC4993 星系(图3)附近发现了一个新出现的亮斑。这个光学瞬变过程,被定为SSS17a。


图2 1971 年投入使用的Swope 望远镜(左)。该望远镜坐落于智利,是美国卡内基天文研究院的天文学家Henrietta Swope(1902—1980,右图)捐资建造的。据说Henrietta 的父亲是通用电气公司的主席,这在一定程度上促进了她可以有自由从事自己喜欢的天文事业(来源网络)


图3 NGC4993 是德国天文学家Wilheml Hershel(1738—1822,右图)在1789 年发现的。该星系距离地球1 亿3 千万光年,方向上位于长蛇座(左图,hydra)(来源网络)


在后续的几个星期里,天文学家们利用其他位于地面、空间和地下的天文观测站,在电磁波的各个波段(从伽马射线、X光、紫外、红外、可见光、微波),以及利用中微子探测技术,对这个已经由3 个独立运行的引力波观测站(LIGO Hanford,LIGO Livingston 和VIRGO)、伽马射线和可见光都探测到的天文事件进行了进一步详细的研究。


天文学家们认定,这是一次双中子星的碰撞事件。引力波GW170817 的观测,让我们测量了两个中子星的质量。伽马射线暴GRB170817A,让我们认识到中子星碰撞后有物质被高速抛出,后续的紫外、可见和红外光学观测和不同谱段光强的分析,让我们初步确定发光来自于重元素的衰变,确立了SSS17a 是一个千新星。X光和射电(微波波段的无线电)观测,让我们更好地了解了爆炸的能量,抛出物质的状况,以及爆炸周围的环境。


这样,天文学家们就初步确认了“短伽马射线暴”的来源,初步确认了中子星的存在并且了解了它的成分,而且对宇宙中重元素的起源,有了新的实验证据。通过对引力波强度的测量,我们独立测量了NGC4993 这个星系和地球的距离,对宇宙膨胀的速率,以及宇宙的年龄又多了一个独立的测量方法。通过对引力波和电磁波到达时间,我们对引力波的速度也有了新的测量。


2015 年,人类首次捕捉到黑洞发出的引力波。我们不但证实了引力波这种时空的涟漪可以在宇宙空间中产生、传播,并且和地球上的仪器发生作用,也开始近距离地观测黑洞周围高度扭曲变形的时空。前几次对黑洞的观测,让物理学家异常兴奋,而这次对双中子星碰撞的探测,真可以说是各个波段的天文学家们集体的盛宴。


20 世纪物理学的两大进展,是广义相对论和量子力学。如果说,测量到从黑洞发出的引力波是广义相对论的胜利,这次的观测也可以说是广义相对论和量子力学双剑合璧的胜利,并且让人类对宇宙的起源、演化和成分有了更深入的了解。


第二
量子力学:原子、原子核


也许有人会说,中子星?而且还是一亿多光年以外的?这跟我有什么关系吗?


说到钱,我们都会想到金子,这个元素周期表中最讨人喜欢的元素。从科学的角度,金是第79 号元素,原子核外面有79 个电子。金原子核有79 个质子,但是可以有不同数目的中子,这些不同的版本,叫做“同位素”。其中,79 个质子和118个中子的版本,即金197,是唯一稳定的同位素。


金不但化学性质稳定,而且在自然界中非常稀少。在人类社会里面,金子象征着尊贵。本来300 美元的手表,如果换成金子做的外壳,就可以卖10000 美元。粉色,这个原本有点儿暧昧的颜色,如果改叫“玫瑰金”,也突然就变得高大上了起来。这次发现的双中子星碰撞事件,可以让我们更好地了解宇宙中金子的起源。核天体物理学家认为, 宇宙中的大部分金子,可能都是由这次观测到的这种碰撞所产生的!


在20 世纪初,物理学家纠结着这样一系列问题: 带负电的电子在原子核外面运动的时候,应该发出辐射。辐射以后释放了能量,不是正好可以掉到带正电的原子核上面,跟它“中和”吗?


要回答这个令人困扰的问题,首先需要引入量子力学的概念。在量子力学里面,电子并不是围绕原子核做圆周运动,而是以波的形式弥漫在原子核周围。电子相对稳定的运动状态叫做“能级”,而电子在能级之间的“跃迁”会释放出光子。在所有的能级中,有一个能量最低的叫做“基态”。电子在基态的时候,也会和周围的电磁场有一定的作用,但是并不会发出光,也不会掉到能量更低的状态。


电子除了具有“波动性”,还是一种满足“泡利不相容原理”的“费米子”。不能有多于一个的电子占据在同样的状态上。换句话说,与其说我有几个粒子,想把它们分别放置到不同的量子态上,不如说,我就有这么一些个允许的状态,在这些状态上要么有粒子,要么没有粒子。泡利不相容原理,就使得原子核外的电子只能从低能往高能排,依次占有这些能级。这就是元素周期表背后的物理。所谓的化学反应,主要是由原子核外的电子的运动决定的。


其次,就是以前我们所说的正负电荷中和。我们在日常生活中看到的所谓“中和”,其实都是电子的转移。带正电的所谓的“电荷”,其实是缺少电子。带负电的所谓的“电荷”,其实是有多余的电子。两者的中和,其实是电子的转移过程。


在粒子的层次上,带负电的电子,跟带正电的质子,并不能简单的“中和”。它们可以参与核反应,形成中子,并且释放一个中微子。这是一个所谓的弱相互作用过程。


在空间中自由运动的中子是不稳定的,它也会通过弱相互作用,衰变为一个质子、一个电子和一个反中微子,这叫做β-衰变。


既然中子可以衰变,就意味着它不是能量最低的一个状态,所以在一般情况下,想让质子和电子“中和”,是需要外界提供能量的,于是,这就保证了原子的稳定性。


质子和中子之间的相互作用、相互转化、以及相互结合,决定了原子核的结构和变化。不同的原子核之间也会发生一系列的核反应,从一种元素变到另外一种元素。


第三
宇宙中各种元素的生成


根据天文观测,当今宇宙中的元素,各占有一定的比例,叫做“丰度”。物理学家希望可以从大爆炸宇宙学,从物理原理出发,直接推导出宇宙中元素的丰度。


根据现在的理论,在大爆炸初期,宇宙的温度很高,充满了热辐射(“要有光!”)。当宇宙不断地膨胀,温度就会降低,从热辐射中就会逐渐形成一些质量比较小的粒子,如正负电子,再以后,会形成质子和中子。质子本身就是氢原子核的一种。当温度不断下降,这些质子和中子会通过核反应,“凝结”成更重的元素,比如氦和锂,还有氢的另外两个同位素,氘和氚。可是,核反应不光和温度有关,也和各个成分的浓度有关。根据现在的理论,早期宇宙降温和膨胀的过程很快,来不及产生比锂更重的元素。那么,构成和支持生命的碳、氧、氮、硫、磷、钙、钠等等这些元素(图4),都是从哪里来的呢?这要从太阳为什么会发光开始。


图4 生命的元素(来源网络)


太阳和其他的恒星,它们的主要成分都是氢和氦,能发光是因为内部的核聚变反应。这些聚变反应,会产生一些比锂重的重元素,但是并不会产生比铁还重的元素。这是因为铁原子核里面的质子和中子比较“团结”,结合能最高。铁核要想聚变变到更高的元素的时候,是要吸热的。


而且,就算恒星燃烧产生了重元素,这些元素是怎么到达地球上的呢?我们的金子从哪里来的呢?这要从恒星的归宿说起……


第四
恒星的死亡:白矮星、中子星和黑洞


恒星燃烧完核燃料的时候,物质就会在引力作用下聚集,会变得致密。但是,最后要被物质之间的斥力所平衡才能达到一个稳态(否则就会形成黑洞)。当原子彼此很接近的时候,为什么会有斥力呢?这还是要回到刚才说过的“泡利不相容原理”。当一群电子被压缩到很小的空间里面,因为它们的位置都被限制在一个小范围内,为了有不同的量子态,它们必须具有很不同的“速度”。这样,更高的“速度”就导致了有更高的能量。既然压缩电子占有的空间需要提供能量,这就是一种斥力了, 这叫做“简并压”。当太阳燃烧完燃料以后,会变成一个由电子的简并压支撑的“白矮星”。


太阳的半径是70 万公里,是地球的110 倍,而同等质量的白矮星,其半径是7000 km 左右,跟地球差不多。两者的体积,相差一百多万倍!顺便说一句,有一类白矮星核心是碳,和钻石是一类元素,重量可以和太阳比吨位!


在1934 年,钱德拉塞卡论证说,质量足够大的星体,引力的作用非常强,星体内的电子会被推向更高的速度,以至于速度会接近光速。在这样的情况下,如果质量进一步增加,“相对论性电子”的简并压不够抵御引力,星体必须塌缩!这时候,就回到了电子和质子“中和”的过程:电子和质子会形成一个中子,但是放出一个中微子。钱德拉塞卡论证的质量极限是1.4 倍的太阳质量。


但是爱丁顿爵士,这个借给钱德拉塞卡计算机得出上述结果的著名科学家在学术大会上多次当面怼钱德拉塞卡的计算结果。本来学术互相怼是科学进步的动力之一。但是,相当诡异的是,相当长的一段时间内,其他科学家没有一个人公开站出来力挺真理,即便不少人私下认可钱德拉塞卡的计算。连泡利,这个评价别人“Not even wrong”的“conscience of physics”, 也没有公开支持钱德拉塞卡。1939 年之后,在近40 年的时间里钱德拉塞卡再也没碰这个领域。


好在科学不会因为一个人而停止脚步,总会自我修正:“钱德拉塞卡极限”这一个科学术语已经在教科书上冷静地为这段科学史画了一个句号。


上面说的塌缩过程,发生在初始质量超过10倍太阳质量的恒星。如果初始质量在大约25 倍以下,该塌缩过程会使星体的核心部分塌缩成一个中子星,并且释放能量,使外层的物质产生剧烈的爆炸。这个爆炸发出的光,就是天文学中的“超新星”。理论计算表明,初始质量更大的恒星,很可能直接塌缩成一个黑洞,而不经过超新星爆发这个阶段。


人类文明史上肉眼可见的最著名的“超新星”就是1054 年7 月4 日(宋仁宗至和元年的五月己丑)大约寅时出现的、特亮的“天关客星”(图5)。现在这个“天关客星”超新星遗迹是非常著名的“蟹状星云”(图6)。1968 年“蟹状星云”中心发现了一颗发射射电脉冲的天体(脉冲星),其自转周期为33 ms(即每秒自转30 次),这颗脉冲星的物理本质是一个中子星。于是本文的主角天体,中子星隆重出场。


图5 《宋史志卷九》:“至和元年五月己丑,出天关东南可数寸,岁余稍没。”(来源网络)


图6 “五色和一”的蟹状星云(来源维基百科)


第五
中子星的结构


虽然前面说过,自由空间中的中子是不稳定的,会衰变成质子、电子和反中微子,半衰期约为10.2 分钟。但是在死亡了的大质量恒星内部,由引力所产生的巨大压力下,中子却可以成为很稳定的物质组成单元。中子和电子一样,也是费米子,而中子的简并压,就提供了抵抗引力的斥力。这样一来,聚集在一起的大量中子(和少量质子、电子和其他粒子),可以形成一个由引力(广义相对论)和费米简并压(量子力学)所支配的,宏观量子系统。有些物理学家推断,中子星的内部核心是超流体和超导体,中子的流动不受粘滞力(即摩擦力)的阻碍,电流的传导也不受电阻的影响。


本来是用来解释微观世界的量子力学,竟然也可以应用到中子星这样大尺度、大质量、强引力的物体,是对物理原理适用范围很大的挑战。


应该说,中子星的具体结构,其实还是物理学中的一个难题。有些物理学家认为,当组成中子的夸克(顶夸克和底夸克)被释放出来,并且通过强相互作用形成奇异夸克,会形成更稳定的结构,于是认为其实中子星是由夸克组成的夸克星。除了夸克星之外,还有更大胆的猜想,如孤子星(Soliton Star)、玻色星(Boson Star)和引力星(Gravastar)。其中,孤子星是基于李政道先生和合作者Friedberg 在1976 年提出的量子场真空的“非拓扑孤子”概念。


从理论上计算中子星的结构,是一个很困难的问题,支配强相互作用的量子色动力学,在中子星的能量范围上是很难计算的。所以,直接观测中子星,是真正了解这些宏观量子物体的关键。根据天文学家估计,光银河系里面,就有10亿颗这样的宏观量子物体。中子星与北京城的大小比见图7。


图7 中子星和北京城的大小比,箭头所指是清华大学,大陆地区唯一LVC 工作组所在地(来源王毅雄)


第六
脉冲星、脉冲双星和引力波存在的证据


在天文观测上,中子星一般都在一个和两个太阳质量之间。根据理论计算和观测推断,中子星的半径在5 到10 km,尺寸是前面说过的白矮星的千分之一,只比北京的四环路大一点。


我们对中子星的观测,主要是因为它们发出频率很稳定的电磁脉冲,这是由中子星的磁场对周围带电粒子的加速所产生的。这样连续不断发出脉冲的中子星,就是上面提到的脉冲星。有一种中子星转得非常快,叫毫秒脉冲星,也就是说周期是毫秒量级的。现在已知旋转频率最高的脉冲星是PSR J1748-2446ad,每秒钟转716 次。据估计,它的表面转动速度大约是四分之一光速,是个相对论性的物体!


脉冲星在引力波科学上起到了很重要的作用。1974 年, 天文学家Hulse 和Taylor 发现了PSR B1913+16 的脉冲星,并且认定这是一对双星。这对双星的运动速度很快,达到了450 km/s,在这个系统的运动中显现出了广义相对论效应,如轨道的进动,以及电磁波在引力场中传播的延迟。在进一步的观测中,他们发现这对双星的轨道在不断缩小,频率不断上升,并且确认,这是由于引力波辐射所导致的能量损失。这两位科学家于1993年获得了诺贝尔物理学奖。


根据广义相对论的计算,Hulse—Taylor 脉冲双星将在3 亿多年以后并合,成为地面引力波探测器的理想波源。这个脉冲星,以及后续发现的脉冲星,让引力波科学家可以对双中子星并合的发生率进行粗略的估计,推断出在银河系这样的星系,大约几百万年就会有一次双中子星碰撞。这给地面引力波探测器灵敏度的设计提供了重要的依据:如果LIGO 可以同时对几百万个星系进行观测,那么就有可能平均每年看到一次双中子星碰撞的事件。


要“覆盖”几百万个星系,需要能探测到几亿光年距离以外发生的中子星碰撞。


中子星和引力波的渊源不仅仅限于作证引力波的存在性。只要中子星不是完美的球体(更精确地说,只要它不是沿旋转轴旋转堆成的),比如上面长一个小山,那么它由于转动,就会连续地发射引力波。由于在LIGO 的灵敏度下,还没有探测到这样的连续引力波,但是我们可以推断,在已知的200 颗脉冲星里面,如果有任何高等生命拜访过,那么“他们”留下的痕迹不能超过大约几十厘米小鼓包,有的甚至不能超过0.1 mm。引力波辐射携带能量, 因此脉冲星应该越转越慢。但是脉冲星减速的原因可能很多。如果假定旋转减速完全是因为辐射引力波,那么测量旋转减速就可以给出引力波的上限。上面提到的蟹状星云脉冲星是第一个通过LIGO 观测数据突破旋转减速极限而给出更精确的引力波辐射上限的中子星。


第七
宇宙中元素起源的谜团


宇宙的大爆炸理论,让科学家可以预测锂以下的轻元素的来源。恒星内部的核反应,以及超新星爆发,让我们找到了重元素的起源。但是,天文学家从超新星遗迹里面没有发现足够多的重元素。于是,比铁重的元素的起源,又一次成为了谜团。核物理学家认为,想要形成足够多这样的元素,必须在中子密度很高的环境里,通过所谓的r-过程。在这个过程中,要有大量的中子注入原子核,并且注入的速率大于反应中间产物衰变的速率。(各类源的贡献见图8)


图8 宇宙中元素的起源:紫色的元素在理论上认为是由中子星碰撞产生的(来源Wikipedia)


第八
伽马射线暴与千新星


为了解决元素起源的谜团,天文学家找到了另外一个可以发生r-过程的地方,就是中子星的碰撞。


之前就有天文学家猜测,在中子星碰撞之后,被甩出的大量高速运动的中子,不但会发出伽马射线,从而对应于天文学中观测到的短伽马射线暴,也会通过r-过程进行核反应,而核反应产生重元素的衰变就会产生光学上的千新星现象。


具体地说,两个中子星并合之后,理论预言有3 个可能演化途径,一个是直接变成了黑洞;另外一个是因为旋转能等作用,会有一个磁性中子星存活一段时间(小于约100 ms),然后再变成了黑洞;还有一个可能是并合后的中子星质量比小,中子星一直存在。无论如何,这个碰撞过程会抛射出物质,大家也相信中间核心天体周围形成一个吸积盘。这些抛出的物质发生r-过程(产生了我们需要的金子!),这些物质还和周围星际介质发生相互作用。当然,天文学家看到的是短伽马射线暴和千新星等现象,详见演化示意图9。


图9 理论天体物理学家猜测的双中子星—伽马射线暴—千新星模型,在这次的观测中被印证(来源:Annual Review of Nuclear and Particle Science,2016,66(1):23)


本次发现的SSS17a(千新星) 和伽马射线暴GRB170817A 成对出现,是第一个实时观测到的比较坚实的短伽马暴与千新星有物理联系的证据(图10)。


图10 引力波和不同电磁波段上对这次中子星碰撞的观测(来源:The Astrophysical Journal Letters,2017,848:L12)


这次的伽马射线暴GRB170817A 非常不同一般。虽然它非常的近,只有40 兆秒差距(1.3 亿光年),之前观测到最近的短伽马爆大约比这个远10 倍。但是GRB170817A的光度非常低( 非常暗)! 暗到什么程度呢?它的绝对光度比之前观测到最暗的短伽马爆还暗大约500 多倍!之前关于伽马射线暴光度分布的模型完全失效。至于为什么它这么暗?天体物理学家们又发表了几篇“顶级期刊”的文章。


据说, VLT X-shooter望远镜在光学余晖中探测到了镧系元素。所以,我们确实对于重元素的起源有了新的观测证据。至于是不是双中子星并合完全解决了之前重元素的问题,那还是得取决于到底整个双中子星群组有多少以及并合事件发生概率是多少(是的,一个源我们就可以限制事件概率!)。


当然,这个有金子的推论应该是根据光变曲线和理论模型,认为这次光学对应体应该是千新星的r-过程产生的,而r-过程应该会产生金子。至于一次双中子星并合能产生多少金子,还不是很确定。比如,从这次观测估计的抛射物质的范围是一个数量级,0.001—0.01 个太阳质量(1 个太阳质量=332946 个地球质量),不是非常的精确。


讲了半天,这是一个淘金的历程……


第九
引力波波形:果然是双中子星吗?


我们说了半天“双中子星”,到底果然是吗?应该说,从伽马射线和电磁对应体来看,可能至少有一个中子星(或者是含有一定量中子的星),而从引力波来看,我们可以确定是一个双体绕转的系统。


从引力波的波形,我们可以测量两个星体的质量和自旋。不加入对星体自旋(即旋转)的假设,那么我们对质量的测量结果在0.86 到2.26 个太阳质量之间,虽然和中子星一致,但是也不能完全排除黑洞的可能性,或者是我们前面讨论的其他星体。如果假设这两个物体的自旋跟中子星的量级一致,则得到质量在1.17 到1.60 个太阳质量之间,与已经观测到的脉冲双星里面中子星的质量非常一致。所以说,双中子星这个图像,跟这次的数据是吻合的(图11)。


图11 时间频率图上的双中子星碰撞引力波信号(左图),以及引力波对两个中子星质量的测量(右图)(来源:PRL,2017,119:161101)


想要通过引力波细致研究星体的内部结构,就要看双星之间的潮汐作用对引力波的影响。月亮和太阳可以在地球上引起潮汐,让地球不同位置上海面的高度周期性的变化。双星中星体之间的引力场,也会引起它们各自的形变,而这个形变的大小,会依赖于星体的内部结构。潮汐导致的形变,会影响双星发出的引力波波形的细节,尤其是在引力波的高频部分。在这次的事件中,我们没有检测到中子星的潮汐形变,只是对形变系数设定了上限(图12)。这个上限,已经可以排除一些现有的中子星结构模型。


图12 引力波信号对中子星形变系数的限制。左图假定自旋的上限是极端黑洞的自旋,而右图采用中子星自旋上限(来源:PRL,2017,119:161101)


GW170817(引力波)、GRB170817A(伽马暴)和SSS17a(千新星)以及它们的宿主星系NGC4993相互印证,更加确认了这次是一次双中子星并合事件。而宿主星系NGC4993 还有更重要的作用,至关我们对于宇宙的认识。


第十
哈勃常数与宇宙演化


从宇宙中的“金矿”的天体物理扩大到整个宇宙的演化。科学家认为,宇宙诞生于“大爆炸”,并且从那一刻开始,就一直在膨胀。在最近的几亿年,膨胀的速率竟然有所加快!中子星发出的引力波,给科学家提供了一个新的方法来测量宇宙膨胀的速度。


1929 年,美国天文学家哈勃通过观测发现,离地球较远的星系,就会以更快的速度远离地球。远离的速度(也就是“退行速度”)大致与星系和地球的距离成正比。我们可以想象,在一个膨胀的气球上的相邻点,也是距离越远,相对速度越大。于是,哈勃的观测结果,意味着宇宙在膨胀中,这就开启了宇宙学的新时代。粗略地说,哈勃利用了一种变星已知的发光强度,与在地球上接收到的光强比对,来测量星系到地球的距离。而星系相对于我们的速度,哈勃是利用星系的发射光谱相对于地球上同样元素的光谱往波长更长方向的多普勒移动测出。


宇宙学中的哈勃常数,就是星系相对速度和相对距离的比值,反映了宇宙膨胀的速率。应该指出,不是每一个星系都是按照哈勃定律的速度退行,哈勃定律是一个不同星系取平均以后的结果。在宇宙学中,把按哈勃定律退行的轨迹叫做“哈勃流”,它反映了宇宙膨胀的平均效果。物体退行速度和哈勃流的区别,叫做本动速度(peculiar velocity)。


对于哈勃常数,有3 种不同的“标准宇宙学探针”来进行测量。第一类是利用恒星尺度的“标准烛光”,Ia 型超新星。这里我们利用的是超新星的绝对亮度和它的红移。第二类是重子声学震荡,利用的是大尺度巡天,对宇宙演化不同阶段星系分布密度的测量。第三类是用宇宙微波背景辐射,这种人类能够观测到的宇宙中最古老的光,测量的是宇宙刚刚冷却膨胀到光可以自由传播的时候的物理性质。


能用3 种依赖于宇宙不同年龄时候的物理性质所作出的观测来研究宇宙膨胀,标志着宇宙学成为了一种高精度的实验科学。然而,伴随着仪器精度越来越高,结果越来越不和谐!利用第一个探针的测量组与利用第二第三探针测量组都99.9x% 地声称坚决不同意对方的意见!有人说宇宙学处在了十字路口。这时候如果引力波和电磁波双剑合璧,能出现什么结果呢?


Bernard F. Schutz 在1986 年提出,通过观测双星系统引力波波形,外加电磁波的信息一起来测量哈勃常数,也称“标准汽笛”方法。粗略的说,通过引力波的波形和在不同探测器的相对强度,得到了波源的质量和几何位形之后,我们就知道它发出的引力波的绝对强度(这就是“标准”的意思),于是根据从在地面接收的波的强度,就可以测出距离了。


其实这个“标准汽笛”的称呼是为了区别于光学观测中的“标准烛光”。使用“标准汽笛”的另外一个原因是“地面引力波的频率在人耳分辨范围内”。不过,这个比方也不是完全的精确。首先,引力波是时空本身扭曲的传播,不需要和汽笛的声音传播一样需要介质。声音在空气中传播实质上是空气密度和压强变化的传播,真空中就算是喊破喉咙,站在对面的人也不会听到声音。另外,声波的压强可以直接推动耳膜,而引力波则不然。当引力波到达人体的时候,是对人体的不同部分有不同的拉伸,其力量大小跟这个部位和人体重心的距离成正比。


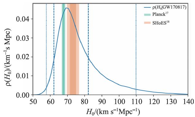
对于哈勃常数的测量,这次使用了“可能的”宿主星系的信息。为什么是可能呢?因为我们只是根据空间方位的信息,就“锁定”了宿主星NGC4993。然后我们就由光学观测所给出的NGC4993 的退行速度, 算出了哈勃常数(图13):

v =H0d ,

其中v 是由光学观测得到的NGC4993 的退行速度, 而d 是GW170817 由引力波测到的距离,H0 = 70.0-8.0 +12.0km s-1Mpc-1


图13 这次的结果,跟以前的方法在统计上是一致的,因为误差还较大。其中一部分原因,是不能确定双中子星的本动速度,以及NGC4993 的本动速度,另外一部分原因是参数间并以及仪器校准误差等原因引力波距离估算的也不是非常准确。这只能通过以后进一步的观测加强(来源:Nature,2017,551:85)


在哈勃定律中,v 是速度,d 是距离,距离除以速度是时间!所以“哈勃常数”的倒数就是“哈勃时间”。这说明,哈勃常数,跟宇宙的年龄有密切的联系。最粗略地说,如果两个物体距离为d, 相对速度为v, 如果这个速度不变,那么在d/v=1/H时间之前,这两个物体距离就是0。不过,宇宙的膨胀历史远比这个复杂。把从GW170817 测到的哈勃常数,和其他的观测结果相结合,推算出的宇宙年龄大约为133亿年。


第十一
 检验广义相对论:引力波的传播速度


最后,让我们重新“审问”一下爱因斯坦。爱因斯坦本人写下了广义相对论,又因为量子力学的一个效应(光电效应)拿到了诺贝尔奖,还提出了著名的“EPR”佯谬质疑量子力学的完备性,却在后来的科学生涯中独立于当时主流物理学发展,一个人致力于统一广义相对论和量子力学。大众把爱因斯坦当成了神一样的存在,但是科学家们都想找到爱因斯坦的错误。引力波就是一个很好的武器。现在电磁波的加入可以说双剑合璧一起向爱因斯坦发起挑战。需要指出的是,预言引力波存在的广义相对论是爱因斯坦单脑子想出来的,没有任何实验线索。这可能是物理学史上的唯一。


到目前为止,没有一个其他任何自洽的引力理论能解释所有的实验结果。所以我们大部分检验爱因斯坦引力理论都是测和广义相对论理论预言的偏差,在引力波领域基本上就是利用引力波波形做文章(当然也有例外,参见引力波速度测量新方法,PRL,2017,118:091102)。


广义相对论预言了引力波的速度和光速一致。但是,凭什么爱因斯坦就是对的呢?我们得检验一下啊!根据观测,引力波比伽马射线先到达,时间差被“认定”为(1.74±0.05) s。


这说明引力波比光速快吗(图14)?这里面还有很多学问。首先,根据模型,引力波是先发出,然后才接着有抛出的物质,和伽马射线,两者之间本身就会有时间差。其次,伽马射线、引力波的传播都可能会受到物质的影响。所以,根据到达时间差来判定传播速度,需要引入一定的模型。考虑到这一系列因素,我们推断出, -3 × 10-15 < Δv/vEM < +7 × 10-16 。就说明,在实验误差内,引力波的速度跟光速一致。也就是说,爱因斯坦依然可以微笑……


图14 只看这个图(通过观测),我们只能看到是博尔特(引力波)比所有的选手(光子们)先到了。但是,我们看不出有没有人抢跑(引力波和电磁波发射时间是不 64 49318 64 31615 0 0 1711 0 0:00:28 0:00:18 0:00:10 5830一样)。所以就算是他们跑同一个跑道,仅仅凭这个照片(观测到的时间差),很难断定博尔特(引力波)比别人(光子们)百米都跑得快。稍微类比一下认定的到达时间差的复杂程度:如果把博尔特后面那个脚的到达时间和第二个选手前面那只脚到达时间认定为到达时间差,那么所有结果就要重新写(来源网络)


第十二
 展望


这次的中子星并合带来的多信使全方位观测,标志着包括引力波观测的多信使天文学时代的到来,也是全球不同领域的科学家、科学团队团结协作的典范。在今后,我们还会不断地观测到这样的事件。


从引力波探测的角度,我们还需要更高的灵敏度。我们期待,未来可以观测到中子星之间的潮汐相互作用, 从而研究中子星的内部结构。我们还期待搜索中子星并合以后的引力波信号,以检验并合的产物到底是中子星还是黑洞。不同种类的双中子星碰撞,很可能会导致不同的产物。更多的数据,还会让我们对宇宙中双中子星碰撞的发生频率,以及双中子星的质量分布进行实际测量。我们还期待从未来的中子星并合过程中检验到中微子,因为它们直接携带了核反应的信息。


19世纪的最后一天,英国著名物理学家Thompson发表感慨:物理学大厦已经落成,剩下的只有修补的工作,这就好比“晴朗的天空上的两朵乌云”。为了去除这两朵乌云,物理学家们发展出了相对论和量子力学。1915 年的广义相对论,奠定了时空几何的基础;而后,人类利用量子力学,不但大大推动了技术的发展,对微观世界和对宇宙,都有了革命性的新认识。


回顾一下1915 年的物理学。那个时候,我们不但不理解化学反应和放射现象背后的原子物理和核物理,也不知道恒星的发光机制和演化过程,不知道银河系外还有其他的星系,更不知道宇宙其实是在膨胀。1915 年,再聪明的物理学家也不会想到,100 年后的今天,我们不但会定量地研究各种元素的起源,也在探索宇宙本身的起源问题。这也许可以让我们相信,人类对科学的探索,是没有止境的。


本文选自《物理》2017年第12期




欢迎订阅2018年《物理》杂志!


轻松阅读 享受《物理

即日起订阅:《物理》 原价240元/年

优惠价:180元/年

微店订阅地址:https://weidian.com/i/2218134089?ifr=itemdetail&wfr=c

扫码咨询

十大热门文章

1.超强场下的正负电子对产生

2. 声学超构表面

3. 声学Mie共振及其应用

4. 宇称时间对称性声学

5.  超宽带声螺旋结构

6.  为什么浙江省高考学生选考物理人数大幅下降值得担忧 || 朱邦芬

7.  怀念卓益忠同志

8.  视界面望远镜:为黑洞拍下史上第一张“照片”

9. 超导“小时代”之二十五:印象大师的杰作

10. 物理学咬文嚼字之九十二:城邦与统计

END

Forwarded from Official Account

Learn More