作者:薛孟飞1,2 陈佳宁1,2,3,4
(1 中国科学院物理研究所)
(2 中国科学院大学物理学院)
(3 北京凝聚态物理国家实验室)
(4 松山湖材料实验室)
摘要 通过对光与物质相互作用产生的各种效应的研究可以获得物质的组分、结构、电学、力学、相互作用等信息,因此光学激发和探测技术成为现代科学研究的重要工具。然而衍射效应将光学探测的最小空间尺度约束在波长量级,这严重限制了光学对微观结构的探测。近年来基于扫描探针显微镜发展而来的近场光学显微镜利用光学天线对光场的局域和增强作用,将光学探测的分辨率推进到10 nm的尺度。文章将介绍目前一种主流的光学超分辨技术——散射式扫描近场光学显微镜及其在材料科学和生命科学方面的前沿研究进展。
关键词 近场光学,超分辨,光与物质相互作用
在当今众多材料性质的表征技术中,光学表征由于具有快速、无损、适用性广并且可以提供从材料结构成分到相互作用等各类信息的优点,成为一类重要的基本探测手段。随着研究的深入,当今各领域从对材料宏观响应的关注逐渐进入到背后起决定性因素的微观结构和相互作用的研究。由于衍射极限的约束,传统光学探测的分辨率受限于光波长最小约为波长的一半,这严重限制了光学技术尤其是长波段的中远红外和太赫兹技术在微观领域的研究。近30 年来,结合扫描探针显微镜的超高空间分辨率发展而来的散射式近场显微术具有超强的光场局域和增强能力以及宽广的波长适用范围将光学探测带入到纳米尺度[1—3]。下面我们将详细介绍散射式扫描近场显微镜的基本原理及其在二维材料极化激元,半导体材料电学性质局域探测等领域的应用和散射式近场显微术的最新发展与应用。
传统的透射式扫描近场光学显微镜(NSOM)使用一根极细的光纤(尖端尺寸约50 nm)靠近材料表面进行局域的光学激发或探测[4]。然而NSOM中耦合到光纤的能量与λ4成反比,因此NSOM只能用于可见光和近红外波段,不能在中远红外和太赫兹波段应用。此外光纤的热损伤阈值限制了最大的激光功率,这不利于微弱信号的检测。与NSOM相比,散射式扫描近场光学显微镜(s-SNOM)具有更高的空间分辨率(10 nm)、更宽的适用波段(可见到太赫兹)[5]。因此广泛用于二维材料、半导体材料、有机分子、生物材料和金属光学天线等领域的研究。如图1(a)所示,s-SNOM 主要由光源(单色或宽频),敲击模式的原子力显微镜(AFM),聚焦和收集散射光的光学元件(透镜或抛物面境)及探测器组成[1—3]。
图1 (a)散射式扫描近场光学显微镜配置图,系统由敲击模式的原子力显微镜、激光器、扣除“乘法背景”的干涉光路和探测器组成[1];(b)金属探针在2.54 THz激光照射下的电磁场增强数值模拟结果[8]
2.1 探针—样品耦合模型
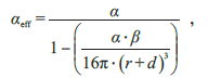
s-SNOM 的核心部件是探针。如图1(b) 所示,在获取材料形貌的同时,利用探针尖端“避雷针效应”产生的电场增强和电场局域可以获得亚波长分辨率的局域光学性质(约10 nm)[6,7]。与传统光学探测中只有光和材料参与相互作用不同,s-SNOM 中探针与材料存在强烈的电磁相互作用并影响散射的信号光。因此必须构建探针—样品耦合模型来还原近场相互作用,其中最简化的模型是偶极子模型[9—11]。在此模型中入射光电场引发的探针极化用偶极子代替,针尖偶极子随之引起材料的极化,极化的材料反过来影响针尖的极化率,如此反复迭代。针尖散射的电场Esc = σnf ⋅ Einc∝ αeff ⋅ Einc ,σnf是近场散射系数, αeff是考虑与材料相互作用后探针的有效极化率, Einc是入射电场。有效极化率的表达式为
r 是探针尖端半径,d 是针尖—样品间距, αeff 表达式中的分子表示探针的极化率α = 4πr3 ⋅ (εtip – 1)/(εtip + 2),是探针的固有属性。分母是探针和样品的相互作用,其中β =(εs – 1)/(εs + 1)仅由材料的介电系数决定,表示样品对探针偶极子的“近场反射系数”。由此我们可以从散射电场反推材料的介电性质[12]。其他描述近场相互作用的如单极子模型[13]和“闪电棒”模型[14]也可精确反推材料的介电系数。
2.2 近场信号提取
一般而言聚焦照射在探针尖端的激光光斑尺寸约为100 μm2,而探针尖端的尺寸为10—30 nm。近场聚焦效率为ηN = PN /PI ,其中PI 是入射激光功率, PN 是转化为探针尖端局域场的功率,分别有报道指出ηN 的数值仅为0.0003 和0.000001。因此散射光中的大部分是来自探针旋臂和样品表面等的背景信号[15—17],所以扣除背景提取近场信号是s-SNOM 应用的关键。散射电场可以写为Esc = Ebg + Enf ,其中Ebg 是背景信号Enf 是近场信号。探测器接收到的信号与散射光强成正比:
如前所述,s-SNOM 基于敲击模式的AFM,其中探针以频率Ω在垂直方向振动并调制散射电场。Esc 的傅里叶展开式为
其中Enf,n = σnf,nEinc = snf,neiφnf,nEinc , Ebg,n = σbg,nEinc =sbg,neiφbg,nEinc 分别表示近场信号和背景信号的n 阶傅里叶系数。近场信号Enf 源于探针和样品相互作用的局域隐失场,从针尖有效极化率表达式可以看出, Enf 的强度与针尖—样品间距是非线性关系并随着间距增大而急剧减小。这种非线性效应造成Enf 傅里叶系数的高阶项Enf, n 是非零的。相反背景信号是远场信息,其强度改变需要入射电场空间变化在波长量级。由于针尖振幅远小于光波长(<100 nm),可近似的认为背景信号的强度与针尖的位置是线性关系。因此背景信号的高阶傅里叶系数(n≥2)近似为零,即Enf, n ≫ Ebg, n 。因此可从高阶谐振信号nΩ中提取近场信号:
从上式可以看出,高阶信号仍受0 阶背景Ebg, 0 的影响,即“乘法背景”。因此直接解调散射信号的高阶项仍不能获得完全扣除背景的近场信号。
全部扣除背景信号需要额外引入一路参考光与散射光干涉滤除“乘法背景”,干涉法滤除背景分为两类:第一类适用于单色光近场成像,目前发展成熟效果较好的为“赝外差”干涉[18];第二类适用于宽频近场光谱,即非对称配置傅里叶变换红外光谱。首先介绍“赝外差”干涉,如图1(a)所示,入射激光通过分束片分两路:一路照射针尖用于近场激发和探测;另一路直接被银镜反射作为参考光与信号散射光干涉。由于干涉效应,探测器接收到的信号为
其中Eref 是参考光,如前所述Enf 和Ebg 受探针振动调制(Ω一般在200—300 kHz)。在“赝外差”干涉中,参考臂反射镜沿垂直镜面方向做正弦振动,光程的改变起到对参考光相位的调制。反射镜振动频率M远小于针尖振动频率Ω,一般在数百赫兹。由于参考光和信号光的干涉,在高阶信号nΩ的高频和低频端有n'M 的旁瓣。完全扣除“乘法背景”的近场强度和相位信号可以从nΩ+1M和nΩ+2M信号的组合运算中提取出来。在反射镜振幅为0.21λ的前提下,近场强度和相位分别为
k 为比例系数。此外由于Eref 远大于Enf ,“赝外差”干涉还可以起到对近场信号的增强,这提高了s-SNOM探测微弱信号的能力。
除了单色光的近场成像,s-SNOM 与傅里叶变换红外光谱(FTIR)结合发展出了20 nm空间分辨率的近场红外光谱技术即Nano-FTIR[19—21]。与传统FTIR不同,Nano-FTIR 采用的是非对称的干涉配置,即只有探针散射的这一路光携带信号。非对称的干涉配置的好处是可以获得强度和相位信息从而得到材料的局域介电信息。同时由于探测功率Pdet∝ √(Pref Psc ),参考光与散射光的干涉效应可以大大增强信号强度。根据上文,针尖调制的n 阶近场信号为
其中snf,n 和φnf,n 分别代表n 阶近场强度和相位。参考光反射镜以很小的步长dd从起始位置移动到终止位置d,产生干涉图样Un(d ),其中φref (d ) = 2πωd 。光谱信息可从Un(d )的傅里叶变换Sn(d )中得到:
积分中第一项含有“乘法背景”但不含变量d,因此积分为0。第二项与d 相关但不含背景。因此高阶的光谱信号中只含有近场信号Sn(ω)∝snf,n(ω)eiφnf,n(ω)。
然而实际中测得的信号为En(ω) = F(ω) ⋅σnf (ω)Einc(ω), F(ω)是设备系统的响应函数。为了去除设备系统的影响,样品的近场光谱需要用确定光学响应的标准样做归一化。实验上一般用光谱响应平坦的Si 或Au 作为光谱标准样,归一化的光谱为
这样就可获得纯净的样品近场光谱信息。由于针尖尺寸远小于光波长,根据米氏理论近场吸收截面Cabs = k Im(αeff ) ∝Im(ηn ) ,因此近场信号的虚部谱图可以直接反映样品的局域吸收性质[22—24]。
3.1 二维材料极化激元
光与物质相互作用产生的包含极化电荷集团振荡的杂化电磁模式称为极化激元。极化激元可实现纳米尺度的光局域和光调控并增强光与物质的相互作用,可用于产生强烈的非线性效应、增强的光发射和吸收等。其中最典型的案例是金属载流子集团振荡的表面等离子体激元。如图2 所示,由于范德瓦尔斯材料可支持各种类型的极化激元[25],例如石墨烯和黑磷中载流子的等离子体激元,双曲型极化晶体中的声子极化激元,过渡金属硫族化合物中的激子极化激元和高温超导体中的库珀对极化激元,是当下极化激元研究的热门。下面将介绍利用s-SNOM探针的动量补偿效应和超高分辨能力在范德瓦尔斯材料极化激元中的研究。
图2 范德瓦尔斯材料的极化激元种类,极化激元是物质中的极化电荷和光子耦合的杂化电磁模式。例如石墨烯和黑磷中载流子与光子耦合的等离激元、氮化硼和拓扑绝缘体的声子极化激元、过渡金属硫族化合物中的激子极化激元、高温超导体中的库珀对极化激元和磁性材料中的磁振子极化激元[25]
3.1.1 石墨烯表面等离激元
石墨烯等离激元是狄拉克电子气和光子耦合产生,具有从中红外到太赫兹的宽波段电光调谐性和纳米尺度高度局域的电磁场等独特物理性质。石墨烯等离激元在光电子器件,生物传感等红外领域具有广泛的应用前景[26]。Chen和Fei 利用s-SNOM 的局域近场激发来克服等离激元和自由空间光的动量失配,分别首次在SiC 和SiO2衬底上观测到石墨烯等离激元驻波条纹[27—29]。如图3(a)所示,针尖激发的表面等离激元以柱面波扩散传播,经边界势垒反射回针尖的电场与入射场干涉形成驻波条纹,条纹周期为等离激元波长的一半。他们分别通过改变背栅电压验证了改变费米能级对等离激元波长的调控。在图3(b)中Goldflam等利用高介电的铁电材料PbZr0.3Ti0.7O3作为背栅,实现了超小电压(<±1 V)对等离激元波长的灵敏调控(改变达到±75%)[30]。除了可调控性,推动等离激元实用的另一项因素是减小损耗。Woessner 等制备了石墨烯—氮化硼异质结,有效减小了介电环境带来的损耗[31],对比SiO2衬底损耗减少了5 倍。随后Ni 等人利用低温s-SNOM 测试了氮化硼封装的石墨烯等离激元[32],并观测到由于60 K温度下谷间电子—声子散射和赝磁场效应大大减小,低温下等离激元的损耗为室温的五分之一,从图3(c)可以看到此时等离激元的传播可以长至10 μm, 即50个条纹周期。
图3 石墨烯的表面等离激元(a)锥形石墨烯在9.7 μm激发下的表面等离激元[27];(b)高介电铁电衬底PZT上1 V微小电压改变对石墨烯等离激元的灵敏调控[30],激发波数是890 cm-1;(c)封装石墨烯等离激元在60 K下的低损耗传播[32],入射激光为11.28 μm;(d)Bernal 堆叠、随机堆叠和单层石墨烯电场局域的近场成像[34],激发波数是883 cm-1,标尺为200 nm;(e)图(d)中三种石墨烯等离激元波长对比,数据取自(d)中虚线部分;(f)转角石墨烯纳米光子晶体的近场光学图像[36],激发波数是1180 cm-1;(g)矩形石墨烯边界等离激元的近场成像[38],激发波数是884 cm-1;(h,i)930 cm-1波数激发下垂直zigzag 边和armchair 边传播的等离激元驻波条纹。散点为实验数据,实线为电磁模拟结果,红色虚线为边界处的红外电导率,绿色虚线为内部的红外电导率[39]
除单层石墨烯,石墨烯的层间耦合提供了调节等离激元的新思路[33, 34]。双层石墨烯存在两种类型:Bernal堆叠形成的具有层间强耦合的bilayer 石墨烯;随机堆叠形成的层间弱耦合的doublelayer石墨烯。在图3(d,e)中,Fei 等通过红外近场成像观测到由于层间电子隧穿效应的存在,bilayer石墨烯相对单层和doublelayer石墨烯具有更强的电场局域。此外他们还利用隧穿效应实现了bilayer 石墨烯等离激元的电开关。Woessner 等则用1 nm厚的氮化硼将两片单层石墨烯分开,通过电调控分别对两片石墨烯注入电子和空穴,观测到两片石墨烯之间电子和空穴的电磁耦合[35],并证明总体呈电中性的体系也可支持等离激元的存在。这一成果表明原子级厚度的量子隧穿器件可以作为等离激元的基础元件。近期,Sunku 等人通过对转角bilayer石墨烯的近场成像(图3(f))发现,发生在小转角情况下的原子重构会将转角bilayer 石墨烯转化为等离激元纳米光子晶体[36]。这种纳米光子晶体具有两个特点:首先,与传统孔洞光子晶体不同,纳米光子晶体局域响应的变化源于孤子(solitons)中的拓扑电子现象;第二,纳米光子晶体周期性和能带结构等关键参数可以通过电学和纳米操控连续调节。这对可调控二维纳米光通路网络的研究具有重要意义。
由于电子只存在于石墨烯边界的一边,因此石墨烯边界相对内部具有不同的物理性质。Fei 和Nikitin 分别独立发现作为二维体系的石墨烯存在沿边界传播的一维边界等离激元[37,38]。与二维等离激元类似,边界等离激元由探针激发并沿边界传播经边角反射与入射场干涉形成驻波条纹。如图3(g)所示,与二维等离激元相比,由于边界的Drude 权重较小,边界等离激元波长存在20%的减小。在图3(h,i)中,Duan等通过近场成像观测到石墨烯边界存在的额外光吸收通道[39]。根据石墨烯的拓扑排布性质其有两种边界:一种是zigzag 边;一种是armchair 边。与armchair 边相比,由于在狄拉克锥点附近存在能带子带,因此zigzag 边存在额外的光吸收通道,实验上表现为zigzag 边更强的近场强度。此外zigzag 边对应谷内散射而armchair 边对应更强的谷间散射。因此垂直armchair边传播的等离激元损耗更大。
3.1.2 双曲材料的声子极化激元
双曲材料是一类光学各向异性的材料[40],由于沿光轴方向和垂直光轴方向的介电系数正负号相反,因此其等频面的形状是双曲面。这赋予双曲材料许多独特的性质。例如,对于特定偏振的电磁波可以产生全方向的负折射,并且可以把亚波长的隐失波传递到远场实现光学超分辨[41]。双曲材料还允许电磁波存在远大于自由空间的波矢,因此可以用制作高Q 值的三维纳米光学谐振腔[42]。此外双曲等频面会极大地增强光子态密度可用于提高太阳能电池效率[43]。由于现有的微纳加工技术无法得到原子级别的周期,这限制了人工双曲材料所允许的极化激元的最大波矢。另外加工不可避免地会带来缺陷引起高损耗。因此寻找天然的双曲材料十分必要。
Dai 等人首次在六方氮化硼晶体中观测到由光学声子与光子相互作用产生的定向传播的声子极化激元[44,45],并细致地研究了声子极化激元的色散关系和波长对厚度的依赖性。尽管氮化硼声子激元最大的电磁局域能力是石墨烯的四分之一,但是其品质因子却有5 倍的提高。在图4(b)中Giles等通过提纯硼同位素制备的样品显著提高了声子激元的品质因子(最大提高了3 倍)[46]。Li 和Dai 则分别利用声子极化激元的空间受限且波长依赖的定向传播性质,制备了基于平板氮化硼的光学超透镜[47,48](图4(c)),实现了亚波长放大和聚焦。除了在上下表面间定向反射的声子激元,在图4(d)中Li 等根据氮化硼边界的面内各向异性,实现了表面声子激元的激发并观测到其与体传播的声子激元相比具有更强的电场局域和更小的群速度[49]。类比传统贵金属的等离激元光学天线,在图4(e)中Alfaro-Mozaz等制备了氮化硼声子激元光学天线[50]。红外成像和光谱结果表明氮化硼天线具有高品质因子(~100)的尖锐共振,并出现传统天线不存在的独特近场模式。他们还可以将天线共振态分配到沿边界传输的表面声子激元,这项工作为基于双曲材料的光学天线设计及其在传感器等方面的应用奠定了基础。虽然双曲声子激元展现出优良的物理性能,但是声子不具备电学调控性。这极大限制了双曲声子激元的进一步应用。为此Duan 等通过改变衬底的介电环境实现了对双曲声子激元的主动调控[51]。如图4(f)所示,他们发现与绝缘的SiO2衬底相比金衬底上氮化硼的声子激元具有更小的波长、更慢的群速度和更大的动量分布。他们还发现氮化硼上的褶皱可以提供动量补偿激发声子激元,因此利用褶皱,直接将激光照射到氮化硼上便可激发声子激元,这对声子激元的实际应用提供了便利。在此基础之上Folland等利用相变材料VO2作为衬底,通过变温改变衬底的金属性和绝缘性,实现了氮化硼声子激元色散和波前的可变调控[52]。此外Li 等通过在氮化硼表面进行纳米尺度周期性刻蚀,改变氮化硼面内有效折射率实现了面内各向异性,并首次观测到定向传播的声子极化激元(图4(g))[53]。Zheng 等则首次在α-氧化钼中观测到高局域低损耗的双曲声子极化激元[54],在图4(h)中他们通过Sn 离子注入实现了对声子极化激元的关闭和纳米尺度下电磁场的局域分布调控。在此基础上Ma 等发现α-氧化钼是一种天然的面内各向异性材料, 其沿[100]和[001]方向介电系数不同,可用于实现声子极化激元波前的定向传播[55]。
图4 氮化硼和氧化钼的声子极化激元(a)声子极化激元激发示意图[44];(b)从上至下为高纯10B 同位素、天然和高纯11B 同位素氮化硼的声子激元驻波条纹[46]。激发波数分别是1510、1480、1480 cm-1;(c)氮化硼声子激元超透镜对金圆盘的成像[47],激发波数是1515 cm-1,标尺为1 μm;(d)氮化硼表面声子激元的实空间成像[49];(e)氮化硼天线尺寸改变对声子激元光学模式的调控[50]。激发波数是1432 cm-1,标尺为500 nm;(f)衬底介电环境改变对氮化硼声子激元的色散调控[51]。激发波数是1530 cm-1,标尺为1 μm;(g)氮化硼超表面定向传播声子激元的实空间成像[53]。激发波数是1430 cm-1;(h)Sn掺杂对氧化钼的声子极化激元的开关调控[54]
3.1.3 过渡金属硫族化合物中的激子极化激元
激子极化激元是光子和激子耦合形成的准粒子,由于具有能量或信息传递等相关应用所必需的强的光与物质相互作用和长距离传播的性质,因此激子极化激元可用于制作未来的光子和量子元件。在图5(a)中F. Hu等利用近场成像在近红外波段报告了MoSe2中激子极化激元波导模式的纳米光学成像[56]。他们发现激子极化激元的传播长度对激发光子能量敏感并且传播长度可达到12 μm。通过控制波导厚度可以有效地将极化子波长从600 nm改变到300 nm。此外他们还在接近激子共振区发现一个有趣的背向弯曲。在图5(b)中D. Hu等则在近红外波段研究了MoS2晶体的光学各向异性。通过对寻常和非寻常波导模式的测量,他们确定了MoS2的介电张量[57]。这对促进范德瓦尔斯材料器件的设计和优化十分重要。
图5 (a)二硒化钼的激子极化激元的实空间成像[56]。激发波长为918.5 nm,标尺为1 μm;(b)二硫化钼的波导模式的实空间成像[57],激发波长为1530 nm
3.2 半导体和拓扑绝缘体的局域分辨
纳米结构是尺度不断缩小的电子和光子器件的核心。对纳米复合材料及元件的设计需要在更小尺度上对成分、结构和电传导等性质进行评估分析和质量控制。扫描电子显微镜(SEM)尤其是与俄歇、能量色散X射线(EDX)或波长色散X射线(WDX)谱学联用可以实现纳米级分辨率和对材料敏感分辨。然而以上技术只能获取修饰蚀刻样品的定性掺杂信息。透射电子显微镜(TEM)结合EDX或电子能量损失谱(EELS)可以实现元素的灵敏探测,但是要求繁琐耗时的样品准备。扫描探针显微镜(SPM)不仅可以提供形貌信息,由SPM拓展衍生的扫描电容显微镜(SCM)和扫描扩散电阻显微镜(SSRM)虽然对掺杂敏感但是对材料敏感度差。下面将介绍利用s-SNOM 对样品介电的高度敏感性对半导体器件和纳米材料的掺杂、应力、组分等信息的定量及高分辨敏感探测[58—60]。
Huber 等根据不同载流子浓度对太赫兹的差异响应,利用2.54 THz 局域定量地指认出纳米集成晶体管器件的局域载流子浓度分布[8]。在图6(a,b)中他们展示了利用THz-SNOM在40 nm的尺度下对单个晶体管源极、栅极、漏极的分辨。他们还发现THz-SNOM 的灵敏度极高,100 个自由电子就可以产生明显的近场信号。这对THz-SNOM在未来单电子和生化分子的检测奠定了基础。Huber 等还利用10.7 μm 的IR-SNOM对金属—氧化物—半导体的复合器件进行表征[61]。利用不同材料对红外的差异响应在30 nm分辨率下区分出Al、Ti、TiN、Si、Si3N4 和SiO2。根据介电系数对载流子浓度的依赖关系,他们还清晰地指认出掺杂和非掺杂的SiO2。以上的工作展现了s-SNOM的超高空间分辨能力和对材料的敏感,有助于在工业生产中开展对微纳器件的局域定量表征。
图6 近场技术在半导体和拓扑绝缘体的应用(a,b)单个半导体晶体管的扫描电镜图,及在2.54 THz激发下的近场强度成像[8];(c)径向非均匀掺杂的磷化铟纳米线在11.2 μm波长激发下的近场强度成像,插图为形貌图[62];(d)从上至下分别为:砷化铟纳米线的形貌图、一维等离激元近场成像和电磁模拟结果、等离激元振荡图像[65]。图中标尺均为1 μm;(e,f)SiC 纳米压痕的形貌图及应力分布造成的近场花纹成像[66];(g)三碲化二锑薄片形貌图和空间畴结构造成的电荷非均匀分布产生的近场强度花纹[68],激发波长为8 μm
半导体纳米线在未来纳米光电子器件的制造包括激光器、晶体管和生物传感器等领域具有巨大应用潜力,因此对半导体纳米线局域电学性质的表征十分必要。由于纳米线尺度很小,传统的载流子表征手段如Hall 测试或van der Pauw 测试对纳米线不兼容。而利用等离激元—声子耦合效应确定载流子浓度的拉曼光谱由于衍射极限的约束(商用设备光斑约为1 μm)不能给出纳米线局域的电学信息。在图6(c)中Stiegler 展示了径向非均匀掺杂的InP 纳米线对11.2 μm的非均匀响应[62],中间亮区域为高掺杂区域。他们通过提取目标区域不同波段的光学强度和相位响应,定量给出了纳米线不同位置的载流子浓度和迁移率。Stiegler等还研究了ZnO纳米线横截面电导率分布和晶体结构之间的关系[63]。近场成像和局部晶体结构揭示了径向自由载流子浓度梯度与延伸的晶体缺陷的密度成反比关系。这为研究不同材料系统中结构、电导率和化学成分之间的局部相互作用开辟了新的途径。Arcangeli等利用波长10.5 μm的中红外,通过对径向载流子浓度线性变化的InAs 纳米线加入背栅电压调控,观测到局域等离激元的空间位移[64]。在图6(d)中Zhou 等则在重掺杂的InAs纳米线中通过近场成像在11.1 μm首次观测到一维低损耗表面等离激元驻波干涉条纹,并通过改变介电环境和纳米线直径实现了对等离激元色散和损耗的调制[65]。
除了对电学性质的表征,近场成像和光谱还可以定量表征局域应力。目前成熟的应力表征技术一般基于电子显微镜、X 射线散射或中子衍射。这些技术对应变具有很高的灵敏度,但缺点是样品制备过程可能会改变样品的原始应变状态或空间分辨率有限。利用应力对材料声子或电学(载流子浓度、迁移率)性质的改变继而引发材料介电性质的变化,s-SNOM 提供了一种高分辨、无损、快速的应力表征方法。在图6(e,f)中Huber等通过对碳化硅晶体纳米压痕的近场成像观测到50 nm 的应变特征和纳米裂纹的演变[66]。此外通过对掺杂硅中的纳米成像获得了纳米应变场对等离激元影响(载流子浓度、迁移率)的实验证据。Bensmann 等则利用近场光谱在10 nm 的尺度上,通过对LO声子频率的拟合,定量确认GaN 纳米压痕周围的应力分布[67]。
除了半导体材料,s-SNOM 还广泛地用于拓扑绝缘体的研究。在图6(g)中Hauer 等利用中红外近场成像发现通过溶剂热合成(solvothermal synthesis)生长的Sb2Te3六角形薄片上存在高度对称的近场花纹[68],近场花纹与生长螺旋相关,其根源在于溶剂热合成的薄片具有不同载流子浓度的畴结构,并且识别了不同电荷载流子密度的区域。Lewin 等随后在外延生长制备的样品中也观测到类似的近场花纹[69],由此证明畴结构的形成与材料制备方法无关而是Sb2Te3的固有性质。Lu等也在Bi2Se3 观测到类似的高对称近场花纹[70]。近期Mooshammer等利用纳米级近场层析技术[71,72]对(Bi0.5Sb0.5)2Te3 的表面性质进行研究并观测到由能带弯曲效应局域在表面的二维电子气的子带间跃迁[73]。同时观测到在纳米尺度上由于Bi 或Sb浓度的局部波动、费米能级波动或缺陷造成的能带弯曲改变引起的子带间共振变化。
3.3 有机物和生物样品的高分辨痕量检测
2.5—25 μm的中红外波段是分子振动转动的指纹区,可用于定量分析化学结构、组分等信息。因此在工业生产监控、材料科学、生物医学等领域有广泛的应用前景。传统红外技术的探测区域约为100 μm2,而材料的宏观响应是由微观尺度上不同化学成分的空间分布及其引起的不同结构、耦合、动力学之间复杂的相互关系所决定。下面将介绍利用s-SNOM 的电场局域和增强效应结合生化物质在红外波段的敏感性在纳米尺度上对有机物、生物样品等相关软物质材料的化学和结构表征[74,75]。
图7(a)中Huth 等证实利用基于相干宽频红外光源的Nano-FTIR 可以直接确定有机样品的局域红外吸收光谱[76],其空间分辨率为20 nm,对应的探测体积小至10-20 L。他们通过对聚甲基丙烯酸甲酯(PMMA)的测试验证了Nano-FTIR 近场虚部光谱与传统的FTIR 吸收光谱可以很好地吻合。因此Nano-FTIR 可以利用分子振动的标准红外数据库来在10 nm 的超高分辨率下鉴定痕量的有机材料。作为应用实例,他们证明了Nano-FTIR 可以在PMMA 薄膜上指认纳米级聚二甲基硅氧烷(PDMS)污染。在图7(b) 中Westermeier 等利用Nano-FTIR 直接在20 nm 分辨率下观测到有机薄膜的局部结晶并得到X 射线衍射实验的验证[77]。他们发现SiO2衬底上生长的并五苯薄膜在结构上是不均匀的。通过红外共振吸收峰位移动,他们观测到纳米尺度下并五苯薄膜相内存在明显的椭圆形体相成核及生长。这对研究控制有机薄膜中的畴尺寸和结晶度及其在有机光伏的应用十分重要。Pollard等利用可调谐量子级联激光器的高光谱功率和分辨率,实现了0.2 cm-1频率分辨下的光谱绘图。如图7(c)所示,他们绘制了羰基共振吸收变化的空间分布谱图[78], 局部指认了PS-b-PMMA 薄膜中准层状PMMA界面和纳米域内的分子间相互作用。根据羰基吸收峰位和线宽的变化,他们研究了相分离形态中子系综的局部化学环境。Atkin 等使用飞秒红外宽频激光,通过对分子振动的自由感应衰减测试解决了聚四氟乙烯(PTFE)密集分子模型系统的高度空间异质性[79]。在图7(d)中他们观测到材料具有几皮秒的扩展振动失相时间。他们还利用频率随机调制的有限局部振动跃迁模拟弛豫动力学。这项工作为研究决定材料性质的子系综动力学提供了实时定点的可视化方法。
图7 近场技术在有机材料和生物样品的应用(a)Nano-FTIR 对纳米尺度PDMS污染的光谱识别[76];(b)并五苯薄膜的薄膜相(蓝色谱线)和成核体相(绿色谱线)的红外光谱,插图为907.1 cm-1和903.7 cm-1下的近场强度成像,椭圆长条为成核体相[77];(c)PS-b-PMMA薄膜中羰基吸收峰位变化的空间分布,黑色区域为PMMA较少的区域[78];(d)黑色为中红外脉冲波形,红色为聚四氟乙烯散射信号波形,红色波包的拖尾为自由感应衰减。图中波数为调谐脉冲的中心波数[79];(e)上图为单根烟草花叶病毒的示意图和形貌图。下图红色谱线为单根烟草花叶病毒的近场红外吸收谱,蓝色谱线为远场掠入射红外吸收谱[80];(f)紫膜不同波数的近场相位成像[81];(g)人类头发空间二维红外高光谱成像数据立方体[82]
下面介绍红外近场在生物样品纳米表征的应用。Amenabar 等为了验证Nano-FTIR 对纳米尺度蛋白质二级结构和蛋白质复合物的灵敏探测选择了单根烟草花叶病毒(TMV)、铁蛋白复合物、胰岛素聚集体和紫膜来探测它们的α螺旋或β折叠的近场红外吸收[80]。铁蛋白复合物的近场红外光谱表明Nano-FTIR 可实现对约4000 个氨基酸的敏感探测,对应于约5000 个C=O键和N—H键。在图7(e)中他们发现Nano-FTIR 光谱中的酰胺I 带可以在标准红外光谱的框架内分析这一重要结果。作为Nano-FTIR 在生物化学和生物医学的应用案例,他们研究了单个胰岛素原纤维中的蛋白质构象,并发现3 nm直径胰岛素纤维中含有大量α螺旋结构,这表明胰岛素原纤维中的蛋白质是高度有序的。在图7(f)中Berweger 等通过红外近场成像在纳米尺度标定从盐杆菌中纯化的干燥紫膜中细菌视紫红质(bR)膜蛋白的分布和密度[81]。他们利用了基于bR 酰胺I 带的共振吸收证明了近场红外成像可以实现对单个bR三聚体的灵敏探测,这为无标记和化学特异性单生物分子光谱研究开辟了可能性。为了实现对生物样品的稳定光谱成像,Amenabar 等发展完善了基于Nano-FTIR 的高光谱成像技术[82]。在图7(g)中他们使用该技术获得了包含大约5000 个像素点的高光谱红外近场图像,每个像素覆盖了从1000 cm-1到1900 cm-1的光谱范围。为了验证该技术并证明其应用潜力,他们在人类头发横截面中探测了三组分聚合物混合物和黑色素颗粒,并证明可以应用多变量数据分析来提取空间分辨的化学信息。此外通过对数据采集期间的样本漂移校正,他们证明高光谱成像中可实现聚合物组分之间分布和化学相互作用30 nm的空间分辨。这一工作推动了高光谱红外纳米成像从材料科学到生物医学各个领域的化学表征和质量控制等方面的应用。Khatib 等则创造性地利用大面积石墨烯充当不可渗透的单层屏障来包裹水溶液,利用酰胺I 带和II 带的红外吸收,在1520 cm-1和1660 cm-1波数下对水溶液的烟草花叶病毒进行近场成像研究,这为开展水环境中生物活体样品的纳米红外研究提供了思路[83]。
3.4 金属光学天线的空间电场分布
光学天线是一类将自由传播的光辐射与局域电磁场模式相互转换的元件[84]。通过对光学天线的设计可以在纳米尺度上实现对光场的操控。这对提高光探测、光发射和传感效率具有重要意义。虽然光学天线的许多性质参数与射频天线和微波天线十分相似,但小尺寸和金属纳米结构的共振给光学天线带来一些独特的物理性质。受衍射极限所限,传统光学天线的研究集中于其对远场的影响。借助s-SNOM 的超高分辨能力可以探测光学天线局域电场分布并实现对金属纳米结构共振的直接成像,这极大加深了对光学天线微观相互作用的理解,促进了光学天线的优化设计。
红外天线的应用严格依赖于天线与其“负载”(生物分子或半导体)之间的光学近场相互作用,然而天线负载如何影响近场响应在很大程度上未被探索。Schnell 等利用s-SNOM 观测间距变化红外天线的近场光场演变[85]。其实验结果直接证明,局部近场强度和相位可以通过天线负载来控制并与数值计算结果一致。在另一项工作中Schnell 等利用偏振分辨干涉技术获得的平面内和平面外近场分量强度和相位图像重构了中红外反蝴蝶结天线的光场分布[86],在图8(a—c)中他们验证了平面天线结构和纳米级天线间隙中的局部近场矢量和偏振态可以通过近场探测获得,并首次证明天线间隙处的纳米级局域的增强电场是线性极化的。在图8(d—f)中Chen 等研究了不同尺寸和形状的铁磁镍纳米天线中偶极等离激元模式[87]。这为开展光学纳米天线的磁操纵奠定了基础。此外数值计算揭示了镍天线的远场和近场光谱之间的显著差异并通过比较近场图像和实验光谱得以证实。他们还观测到由于镍天线等离激元损耗较大造成近场共振相对远场共振发生明显红移,这对未来纳米光子器件的设计具有参考意义。Bohn等测试了V形天线的近场相位梯度和振荡电荷分布。近场图像展示了通过改变天线的大小和几何形状对光场振幅和相位的调控并确定了获得光学相位不连续的机理[88]。他们还验证了结合偶极振荡模型可以从实验获得的近场电磁响应中提取远场响应。该研究为通过近场实验推测金属天线超表面的远场响应提供了思路。Yang 等通过近场实验和理论结合将Babinet 原理拓展到红外来探究磁共振的空间光谱特性[89]。以金属棒状和狭缝天线为原型,他们展示了利用Babinet 原理对互补屏电场的表征推测原结构磁场的分布,提供了一种测量近场磁场的新思路。利用旋光偏振的激光还可以研究手性天线和超材料在不同旋光偏振激发下的光场分布。如图8(g—i)所示,Schnell 等首次在螺旋天线中观测到圆偏振依赖的纳米红外聚焦[90],并类比天线理论利用行波定向发射解释了这种手性效应。此外他们还在花瓣形天线和非对称偶极—单极超表面中观测到强烈的手性光学近场图样,这为金属纳米结构中光学手性的近场表征拓展了思路。Khanikaev 等则利用s-SNOM测试了手性天线的电场分布[91],利用红外热膨胀显微镜直接观测到不同旋光激发下的欧姆损耗差异,并结合远场红外光谱证明二维手性等离激元超表面中的光学特性与圆二色性的光场分布引起的圆二色性欧姆损耗直接相关。除了局域的电场表征,s-SNOM还可用于研究纳米尺度能量传输。在图8(j—m)中Schnell 等将射频技术中的双线传输线应用到中红外,并利用传输线末端的锥状尖端聚焦传输的中红外表面波并在尖端形成60 nm的聚焦光点[92]。Xu 等则首次测定了光学纳米天线阻抗,并通过折叠偶极子纳米天线中阻抗乘法的验证性实验论证了光学纳米天线中阻抗调谐的可行性[93]。
图8 近场技术在金属光学天线的应用(a)反蝴蝶结金天线的形貌图;(b,c)反蝴蝶结金天线纵向电场分量(垂直纸面)和横向电场分量(面内垂直天线对称轴长轴)的近场强度成像[86]。激发波长为9.3 μm;(d—f)镍天线的近场强度成像[87]。激发波长为633 nm,图中双箭头表示入射光的偏振方向;(g)螺旋天线形貌图;(h,i)左旋和右旋入射光激发下的近场强度成像[90]。激发波长为9.3 μm;(j)锥形尖端双线传输线形貌图;(k—m)分别为z 方向电场实部近场成像、z 偏振光强近场成像、z偏振光强电磁场模拟结果[92]。激发波长为9.3 μm
除了基本的近场成像和光谱技术,s-SNOM结合其他先进的光学或原子力显微镜技术开发了一系列新奇的探测手段。Eisele等将超快THz光谱和s-SNOM 结合实现了超高时空分辨(时间10 fs,空间10 nm)的THz 电场探测[94],图9(a)所展示的超快THz近场光学系统基于同一个振荡器分出的4 个独立掺铒光纤放大器:第一个放大器用作泵浦激光,另两个放大器用于差频产生THz脉冲探针,最后一个放大器用于THz 电光采样(EOS)的门脉冲。不同泵浦—探针延迟下的THz波形通过扫描探针—门脉冲延迟获得。他们首先将这套系统应用于单根InAs 纳米线的光激发动力学研究,记录了单根纳米线光致载流子的演化并开发了飞秒断层扫描技术观测到超快耗尽层的形成。如图9(b,c)所示,Ni 等利用超快高光谱成像在高迁移率石墨烯中观测到光致载流子等离激元驻波条纹[95],并观测到这种非平衡等离激元具有更大的电子温度和Drude 权重和更宽的色散线宽。在图(d,e)中Huber 等利用超快近场成像在黑磷异质结中观测到黑磷电子—空穴对的激发和复合会使等离激元干涉条纹在50 fs内激活并在5 ps 内消失且具有极高的开关对比度[96]。在另一项工作中,Huber 探测了VO2纳米条带的异质局部动力学[97],他们发现瞬态局部半导体响应与稳态切换敏感性有关,并指出这种关联性很可能是由纳米级应变分布引起的。在图9(f)中Wagner 等利用超快Nano-FTIR 观测光致载流子造成的InAs 体材料等离激元色散的时间演化[98],并且发现InAs 中的光致等离激元引起的探测光强变化超过其他中红外或近红外介质1—2 个数量级。Yoxall 等则将脉冲时域干涉技术拓展到近场测试中[99],在图9(g)中他们直接测试了氮化硼声子激元的寿命和群速度并首次在实验上观测到HPII的正相速度。除了瞬态光谱,s-SNOM 还可与其他光学技术例如拉曼、非线性光学和光学全息技术联用。Kusch 等将针尖增强拉曼和s-SNOM 联用实现了相同光学配置下对弹性散射和增强拉曼信号的探测,并且验证了商用铂铱合金探针可以达到传统金针尖的拉曼信号增强效果[100]。在图9(h)中Neacsu 等利用针尖增强的近场二次谐波成像指认出YMnO3上沿着六边形晶轴各向异性延伸的表面拓扑反平行铁电畴[101]。Schell等将全息技术拓展到近场通过对全息干涉图相空间的傅里叶变换得到近场的强度和相位信息。他们利用近场全息参考臂的参数设置与波长无关,实现了同时对可见和红外光的近场成像。通过与赝外差干涉对比验证了近场全息的快速成像本领,并得到近场全息完成成像所需要的时间比赝外差干涉法快了32倍[102]。
图9 近场技术中光学系统的发展(a)超快太赫兹近场显微镜示意图[94];(b,c)石墨烯非平衡等离激元在0 ps 和2 ps 时间延时下的红外高光谱成像,虚线代表等离激元干涉条纹波谷空间位置随频率的变化[95];(d,e)激光未激发和激发下黑磷异质结的近场强度成像[96];(f)砷化铟薄膜在不同泵浦探测时间延时下的近场红外强度谱图[98];(g)氮化硼近场时域反射成像[99],插图中条纹的倾斜方向表示HPII模式的相速度是正值。放大图中黑色包络的传播速度为群速度,绿色振荡的传播速度为相速度;(h)从上至下分别为YMnO3薄膜在805 nm波长激光激发下近场二次谐波成像、反平行铁电畴分布图和形貌图[101]
对s-SNOM 的拓展不仅仅在光学方面,对AFM 的改进同样大大增强了s-SNOM 的探测本领。图10(a)展示了Huth 等利用聚焦离子束加工来制造高纵横比的锥型金针尖,并通过调整纵向长度改变探针的共振频率实现特定波长的超强电场增强。从图10(d,e)的对比可以看到使用锥型金探针得到的单一烟草花叶病毒的近场相位衬比度比商业探针效果更好,这个工作为设计共振探针来增强微弱信号的检测能力提供了思路[103,104]。Mastel等则利用更高硬度的钨金属制备了超细探针[105],他们以硬盘驱动器的读写头作为标准样验证了超细钨针尖可以获得5 nm 的近场分辨率。对AFM 的另一项改进是改变测试环境,图10(f—h)展示了Yang 等设计制造了20—500 K变温且对7 T磁场兼容的低温s-SNOM[106]。McLeod等利用低温s-SNOM观测了V2O3薄膜中绝缘体—金属相变随温度改变的空间演化,并发现短程和长程相互作用的互相影响可造成V2O3低温Mott 相变中金属和绝缘相的纳米结构共存[107]。
图10 近场技术中原子力显微镜的发展(a)红外共振天线探针电镜图;(b)Nanosensors,PPP-NCST-Au 商用探针电镜图;(c)烟草花叶病毒形貌图;(d,e)红外共振天线探针和商用探针对烟草花叶病毒近场相位成像[104],激发频率为1660 cm-1;(f—h)兼容磁场的低温—扫描近场光学显微镜示意图,结构图和实物图[106]
我们已经看到,近场显微术在突破衍射极限对材料物理化学性质研究得到了大量的重要成果。然而当下s-SNOM 的发展仍面对一些挑战,例如:如何在缩小光学探针尺寸的同时获得足够信噪比的信号;如何加快信号的采集时间,减小测试过程中样品的漂移;如何有效地将近场探测拓展到溶液环境和极端环境等。对这些问题的解决无疑会给研究、理解、设计新的材料结构提供前所未有的机遇。
参考文献
[1] Hermann R J,Gordon M J. Annual Review of Chemical and Biomolecular Engineering,2018,9(1):365
[2] Keilmann F,Hillenbrand R. Philosophical Transactions-Royal Society. Mathematical,Physical and Engineering Sciences,2004,362 (1817):787
[3] Atkin J M,Berweger S,Jones A C et al. Advances in Physics,2012,61(6):745
[4] Hecht B,Sick B,Wild U P et al. Journal of Chemical Physics,2000,112(18):7761
[5] Taubner T,Hillenbrand R,Keilmann F. Journal of Microscopy,2003,210(3):311
[6] Alonsogonzalez P,Albella P,Schnell M et al. Nature Communications,2012,3(1):684
[7] Gramotnev D K,Bozhevolnyi S I. Nature Photonics,2014,8(1):13
[8] Huber A J,Keilmann F,Wittborn J et al. Nano Letters,2008,8(11):3766
[9] Knoll B,Keilmann F. Optics Communications,2000,182(4):321
[10] Aravind P K,Metiu H. Surface Science,1983,124:506
[11] Averbukh I S,Chernobrod B M,Sedletsky O A et al. Optics Communications,2000,174 (1):33
[12] Govyadinov A A,Amenabar I,Huth F et al. Journal of Physical Chemistry Letters,2013,4(9):1526
[13] Cvitkovic A,Ocelic N,Hillenbrand R. Optics Express,2007,15(14):8550
[14] Mcleod A S,Kelly P,Goldflam M et al. Physical Review B,2014,90(8):085136
[15] Brehm M,Schliesser A,Cajko F et al. Optics Express,2008,16(15):11203
[16] Twu B,Schwarz S E. Applied Physics Letters,1974,25(10):595
[17] Kurosawa T. Japanese Journal of Applied Physics,1988,27(1):55
[18] Ocelic N,Huber A,Hillenbrand R. Applied Physics Letters,2006,89(10):101124
[19] Amarie S,Keilmann F. Physical Review B,2011,83(4):045404
[20] Huth F,Schnell M,Wittborn J et al. Nature Materials,2011,10(5):352
[21] Pollard B,Maia F C B,Raschke M B et al. Nano Letters,2016,16 (1):55
[22] Taubner T,Hillenbrand R,Keilmann F. Applied Physics Letters,2004,85(21):5064
[23] Paulite M,Fakhraai Z,Li I T S et al. Journal of the American Chemical Society,2011,133 (19):7376
[24] Stiegler J M,Abate Y,Cvitkovic A et al. ACS Nano,2011,5(8):6494
[25] Basov D N,Fogler M M,De Abajo F J G. Science,2016,354(6309):aag1992
[26] Low T,Avouris P. ACS Nano,2014,8(2):1086
[27] Chen J,Badioli M,Alonsogonzalez P et al. Nature,2012,487(7405):77
[28] Fei Z,Rodin A S,Andreev G O et al. Nature,2012,487(7405):82
[29] Chen J,Nesterov M L,Nikitin A Y et al. Nano Letters,2013,13(12):6210
[30] Goldflam M,Ni G,Post K W et al. Nano Letters,2015,15(8):4859
[31] Woessner A,Lundeberg M B,Gao Y et al. Nature Materials,2015,14(4):421
[32] Ni G X,Mcleod A,Sun Z et al. Nature,2018,557(7706):530
[33] Bezares F J,De Sanctis A,Saavedra J R M et al. Nano Letters,2017,17(10):5908
[34] Fei Z,Iwinski E G,Ni G X et al. Nano Letters,2015,15(8):4973
[35] Woessner A,Misra A,Cao Y et al. ACS Photonics,2017,4(12):3012
[36] Sunku S S,Ni G X,Jiang B et al. Science,2018,362(6419):1153
[37] Fei Z,Goldflam M,Wu J et al. Nano Letters,2015,15(12):8271
[38] Nikitin A Y,Alonsogonzalez P,Velez S et al. Nature Photonics,2016,10(4):239
[39] Duan J,Chen R,Cheng Y et al. Advanced Materials,2018,30(22):1800367
[40] Sun J,Litchinitser N M,Zhou J. ACS Photonics,2014,1(4):293
[41] Jacob Z,Alekseyev L,Narimanov E E,Optics Express,2006,14 (18):8247
[42] Yang X,Yao J,Rho J et al. Nature Photonics,2012,6(7):450
[43] Tumkur T U,Gu L,Kitur J K et al. Applied Physics Letters,2012,100(16):161103
[44] Dai S,Fei Z,Ma Q et al. Science,2014,343(6175):1125
[45] Shi Z,Bechtel H A,Berweger S et al. ACS Photonics,2015,2(7):790
[46] Giles A J,Dai S,Vurgaftman I et al. Nature Materials,2017,17(2):134
[47] Dai S,Ma Q,Andersen T et al. Nature Communications,2015,6(1):6963
[48] Li P,Lewin M,Kretinin A V et al. Nature Communications,2015,6(1):7507
[49] Li P,Dolado I,Alfaromozaz F J et al. Nano Letters,2017,17(1):228
[50] Alfaromozaz F J,Alonsogonzalez P,Vélez S et al. Nature Communications,2017,8(1):15624
[51] Duan J,Chen R,Li J et al. Advanced Materials,2017,29(38):1702494
[52] Folland T G,Fali A,White S T et al. Nature Communications,2018,9(1):4371
[53] Li P,Dolado I,Alfaromozaz F J et al. Science,2018,359(6378):892
[54] Zheng Z,Chen J L,Wang Y et al. Advanced Materials,2018,30(13):1705318
[55] Ma W,Alonso-González P,Li S et al. Nature,2018,562(7728):557
[56] Hu F,Luan Y,Scott M et al. Nature Photonics,2017,11(6):356
[57] Hu D,Yang X,Li C et al. Nature Communications,2017,8(1):1471
[58] Huber A J,Wittborn J,Hillenbrand R. Nanotechnology,2010,21(23):235702
[59] Gigler A M,Huber A J,Bauer M et al. Optics Express,2009,17(25):22351
[60] Hillenbrand R,Keilmann F. Applied Physics Letters,2002,80(1):25
[61] Huber A J,Kazantsev D M,Keilmann F et al. Advanced Materials,2007,19(17):2209
[62] Stiegler J M,Huber A J,Diedenhofen S L et al. Nano Letters,2010,10(4):1387
[63] Stiegler J M,Tenazaera R,Idigoras O et al. Nature Communications,2012,3(1):1131
[64] Arcangeli A,Rossella F,Tomadin A et al. Nano Letters,2016,16(9):5688
[65] Zhou Y,Chen R,Wang J et al. Advanced Materials,2018,30(35):1802551
[66] Huber A J,Ziegler A,Kock T et al. Nature Nanotechnology,2009,4(3):153
[67] Bensmann S,Gausmann F,Lewin M et al. Optics Express,2014,22(19):22369
[68] Hauer B,Saltzmann T,Simon U et al. Nano Letters,2015,15(5):2787
[69] Lewin M,Mester L,Saltzmann T et al. ACS Applied Nano Materials,2018,1 (12):6834
[70] Lu X,Khatib O,Du X et al. Advanced Electronic Materials,2018,4(1):1700377
[71] Hauer B,Engelhardt A P,Taubner T. Optics Express,2012,20(12):13173
[72] Govyadinov A A,Mastel S,Golmar F et al. ACS Nano,2014,8(7):6911
[73] Mooshammer F,Sandner F,Huber M A et al. Nano Letters,2018,18(12):7515
[74] Centrone A. Reviews in Analytical Chemistry,2015,8(1):101
[75] Muller E A,Pollard B,Raschke M B. Journal of Physical Chemistry Letters,2015,6(7):1275
[76] Huth F,Govyadinov AA,Amarie S et al. Nano Letters,2012,12(8):3973
[77] Westermeier C,Cernescu A,Amarie S et al. Nature Communications,2014,5(1):4101
[78] Pollard B,Muller E A,Hinrichs K et al. Nature Communications,2014,5(1):3587
[79] Atkin J M,Sass P M,Teichen P E et al. Journal of Physical Chemistry Letters,2015,6(22):4616
[80] Amenabar I,Poly S,Nuansing W et al. Nature Communications,2013,4(1):2890
[81] Berweger S,Nguyen D M,Muller E A et al. Journal of the American Chemical Society,2013,135(49):18292
[82] Amenabar I,Poly S,Goikoetxea M et al. Nature Communications,2017,8:14402
[83] Khatib O,Wood J D,McLeod A S et al. ACS Nano,2015,9(8):7968
[84] Novotny L,Van Hulst N F. Nature Photonics,2011,5(2):83
[85] Schnell M,Garciaetxarri A,Huber A J et al. Nature Photonics,2009,3(5):287
[86] Schnell M,Garciaetxarri A,Alkorta J et al. Nano Letters,2010,10(9):3524
[87] Chen J,Albella P,Pirzadeh Z et al. Small,2011,7 (16):2341
[88] Bohn B J,Schnell M,Kats MA et al. Nano Letters,2015,15(6):3851
[89] Yang H U,Olmon R L,Deryckx K S et al. ACS Photonics,2014,1(9):894
[90] Schnell M,Sarriugarte P,Neuman T et al. Nano Letters,2016,16(1):663
[91] Khanikaev A B,Arju N,Fan Z et al. Nature Communications,2016,7(1):12045
[92] Schnell M,Alonsogonzalez P,Arzubiaga L et al. Nature Photonics,2011,5(5):283
[93] Xu Y,Tucker E,Boreman G D et al. ACS Photonics,2016,3(5):881
[94] Eisele M,Cocker T L,Huber MA et al. Nature Photonics,2014,8(11):841
[95] Ni G,Wang L,Goldflam M et al. Nature Photonics,2016,10(4):244
[96] Huber M A,Mooshammer F,Plankl M et al. Nature Nanotechnology,2017,12(3):207
[97] Huber MA,Plankl M,Eisele M et al. Nano Letters,2016,16(2):1421
[98] Wagner M,Mcleod A S,Maddox S J et al. Nano Letters,2014,14(8):4529
[99] Yoxall E,Schnell M,Nikitin AY et al. Nature Photonics,2015,9(10):674
[100] Kusch P,Azpiazu N M,Mueller N S et al. Journal of Physical Chemistry C,2018,122(28):16274
[101] Neacsu C C,Van Aken B B,Fiebig M et al. Physical Review B,2009,79(10):100107
[102] Schnell M,Carney P S,Hillenbrand R. Nature Communications,2014,5(1):3499
[103] Mastel S,Lundeberg M B,Alonso-González P et al. Nano Letters,2017,17(11):6526
[104] Huth F,Chuvilin A,Schnell M et al. Nano Letters,2013,13(3):1065
[105] Mastel S,Govyadinov A A,Maissen C et al. ACS Photonics,2018,5(8):3372
[106] Yang H U,Hebestreit E,Josberger E E et al. Review of Scientific Instruments,2013,84(2):023701
[107] Mcleod A S,Van Heumen E,Ramirez J G et al. Nature Physics,2016,13(1):80
本文选自《物理》2019年第10期
2.漫画 | 2019诺贝尔物理学奖:流浪地球的无限种可能,及宇宙的昨天、今天和明天!
6.2018—2019 年度中国物理学会各项物理奖获奖名单及介绍
Go to "Discover" > "Top Stories" > "Wow"