|作者:曹则贤(中国科学院物理研究所)
本文选自《物理》2022年第2期
大自然从不为难,为难的是人类的物理模型。
——作者
( 接51卷第1期 )
普朗克(Max Planck,1858—1947)生于基尔一个学术之家,其祖父是哥廷恩大学的神学教授、父亲是基尔大学的法学教授,后者于1867年转入慕尼黑大学任教。1874-1879年间,普朗克在慕尼黑大学和柏林大学修习物理 (图15)。在慕尼黑大学开始学习初等物理时,普朗克跟随的是Philipp von Jolly教授, 那个认为物理学只有一些洞洞要修修补补的教授,因而他不鼓励普朗克学物理。普朗克回答说他没想做出什么新发现,只是想学会那些基础物理 [Alan P. Lightman, The discoveries: great breakthroughs in twentieth-century science, including the original papers, Alfred A. Knopf, Vintage (2005)]。这期间普朗克做过的实验是研究氢在白金体材料中的透过行为,是为了证明世界上确实存在半透的墙,这也是他唯一的实验物理经历。普朗克1877年转往柏林大学,师从基尔霍夫和亥尔姆霍兹,于是进入热力学研究领域,更重要的是接触到了Berlin circle {记住,还有那个闻名于世的Viena circle}。那时候克劳修斯刚引入熵概念不久[Rudolf Clausius, Die Mechanische Wärmetheorie(热的力学论), Frierich Vieweg und Sohn (1887)],这对普朗克的职业塑造有重要的影响。普朗克1879年的学位论文题目为Über den zweiten Hauptsatz der mechanischen Wärmetheorie(论热的力学理论中的第二定律),1880年的Habilitationsschrift7) 题为Gleichgewichtszustände isotroper Körper in verschiedenen Temperaturen(不同温度下各项同性物体的平衡态)。由此可见,普朗克对黑体辐射研究以及未来的统计物理奠基性工作是有学术传承的。特别提一句,普朗克编辑(edit, bearbeiten)了克劳修斯的两本书、基尔霍夫的三本书,他的热力学功底之因与果皆在此。
普朗克1899年从另一种途径,即基于麦克斯韦分布,推导得到了维恩谱公式,其关于机理的假设属于ad hoc(专门针对此事的、将就的)的那种,但竟然得到了维恩谱公式,那维恩公式不能简单地就是个错误。陶渊明“此中有深意,欲辨已忘言”说不定是普朗克那时的心境。他没有放弃。
1900年10月7日,Rubens到普朗克家串门,这吸引了普朗克对新获得的相当完美的黑体辐射谱分布测量数据的关注。据说,当晚普朗克就给出了那个幸运地猜到的(erratene)公式。也不能说完全是瞎猜,普朗克至少是个知道(x Inx-x)'=Inx的著名物理学家,而这个公式在凑黑体辐射谱分布中扮演关键角色。普朗克于1900年10月19日发表第一篇相关文章,给出了黑体辐射谱分布的正确函数,此即为普朗克定律(Plancks Gesetz)或普朗克分布;1900年12月14日发表的第二篇文章则是给出了该公式的统计物理推导。普朗克似乎对由自己的工作所引出的一些结论和发展难以接受,日后进行了长达十年多的思想挣扎。
关于普朗克的生平与这段工作,可参阅如下文献:
(1) Ingo Müller,Max Planck-a life for thermodynamics,Annalen der Physik 17(2-3),73-87(2008);Ingo Müller,Ein Leben für Thermodynamik,Physik Journal 7(3),39-45(2008). (两个语种的版本)
(2) Ian D. Lawrie,A unified grand tour of theoretical physics,Adam Hilger (1990).
(3) Ta-Pei Cheng,Einstein’s Physics: Atoms,Quanta,and Relativity-Derived,Explained,and Appraised,Oxford University Press (2013).
如下普朗克的工作有助于理解他关于黑体辐射工作的内在逻辑。
Max Planck,Über den zweiten Hauptsatzder mechanischen Wärmetheorie (论热的力学理论中的第二定律),Ackermann (1879) (博士学位论文).
Max Planck,Gleichgewichtszustände isotroper Körper in verschiedenen Temperaturen (不同温度下各向同性物体的平衡态) ,Ackermann (1880) (讲师资格申请报告).
Max Planck,Über das Prinzip0 der Vermehrung der Entropie (论熵增原理),Annalen der Physik,Leipzig 30,562-582;31,189-203;32,462-503(1887).
Max Planck,Über den Beweis des Maxwellschen Geschwindigkeitsvertheilungsgesetzes unter Gasmolekülen (气体之麦克斯韦速度分布定律的证明),Sitz. Berich. bayer. Akad. Wiss. 24,391-394(1894).
Max Planck,Über irreversible Strahlungsvorgänge (论不可逆辐射过程), Sitz. Berich. Preuss. Akad. Wiss.,57-68(1897) ;715-717(1897) ;1122-1148(1897);449-476(1898);440-480(1899).
Max Planck, Über eine Verbesserung der Wienschen Spectralgleichung (维恩谱方程的改进),Verhandlungen der Deutschen Physikalischen Gesellschaft 2,202-204(1900).
(7) Max Planck,Zur Theorie des Gesetzes der Energieverteilung im Normalspectrum (标准谱能量分布律理论),Verhandlungen der Deutschen Physikalischen Gesellschaft 2,237-245(1900).
Max Planck, Entropie und Temperatur strahlender Wärme (辐射热的熵与温度),Annalender Physik 306(4),719-737(1900). (这是Wien用过的论文题目)
Max Planck,Über irreversible Strahlungsvorgänge (不可逆辐射过程),Annalen der Physik 306(1),69-122(1900).
Max Planck, Über das Gesetz der Energieverteilung im Normalspektrum (标准谱能量分布律),Annalen der Physik 4(3),553-563(1901).
Max Planck,Treatise on Thermodynamics, A. Ogg (transl.), Green & Co.(1903).
Max Planck,Vorlesungen über die Theorie der Wärmestrahlung ( 热 辐 射 理 论 教 程),JohannAmbrosius Barth(1906). 英 文 版 为 The Theory of Heat Radiation,M. Masius (transl.),2nd edition,P. Blakiston′s Son & Co.(1914).
Max Planck,Zur Hypothese der Quantenemission(量子发射假设),Berl. Ber.,723-731(1911).
Max Planck,Eine neue Strahlungshypothese (一个新的辐射假设) ,Verhandlungen der Deutschen Physikalischen Gesellschaft 13,138-148(1911).
Max Planck, Über die Begründung das Gesetzes des schwarzen Strahlung (论黑体辐射规律的基础),Annalen der Physik 37(4),642-656(1912).
Max Planck, La loi du rayonnement noir et l′hypothèse des quantités élémentaires d′action(黑体辐射定律与作用量子假设),In:P. Langevin,E. Solvay,M. de Broglie(eds.),La Théorie du Rayonnement et les Quanta,Gauthier-Villars(1912),pp.93-114.
Max Planck,Über das Gleichgewicht zwischen Oszillatoren,freien Elektronen und strahlender Wärme(论振子、自由电子和辐射热之间的平衡),Sitz. Berich. Preuss. Akad. Wiss.,350-363(1913).
Max Planck,Vorlesungen über die Theorie der Wärmestrahlung (热辐射理论教程),2. Auflage,J. A. Barth(1913).
Max Planck,Eight Lectures on Theoretical Physics, A. P. Wills (transl.), DoverPublications(1915).
Max Planck,Vorlesungen über Thermodynamik (热力学教程),De Gruyter (1922).
Max Planck,Die Energieschwankunger bei der Superposition periodischer Schwingungen (周期振荡叠加的能量涨落),Sitzungsberichte der Preuß.Akad. Wiss.,350-354(1923).
Max Planck,Über die Natur der Wärmestrahlung (热辐射的本质),Annalen der Physik 378,272-288(1924).
Max Planck,Das Weltbild der neuen Physik(新物理学的世界观),Vortrag,18. Februar 1929,Physikalisches Institut der Universität Leiden.
Max Planck,Zur Geschichte der Auffindung des physikalischen Wirkungsquantums ( 物理作用量子的发现史), Naturwissenschaften 31(14-15),153-159 (1943).
Max Planck,Vom Wesen der Willensfreiheit und andere Vorträge (自由意志的实质以及其他报告),Fischer (1990).
Max Planck,Die Ableitung der Strahlungsgesetze: Sieben Abhandlungen aus dem Gebiete der elektromagnetischen Strahlungstheorie (辐射定律推导),Auflage 4,Harri Deutsch Verlag (2007).
为什么是普朗克而不是别人得到了黑体辐射谱分布的公式?首先,普朗克是热力学的继承人。笔者试着从自己教授热力学的经历中瞎猜一个线索。热力学的主方程(cardinal equation)形式为dU=TdS-pdV,而普朗克把它改写成了,此即所谓的普朗克方程。这个举动,可不是简单的改写,愚以为这具有不凡的意义,它是构造出黑体辐射谱分布公式的一个关键步骤。在方程dU=TdS-pdV中,主角是内能U,而在
中,主角是熵S,这几乎标志着热力学研究的时代变迁,愚以为意义与之可比拟的有后来的“symmetry governs interaction”所代表的物理学构造模式的转变。辐射熵是研究辐射谱分布的突破口。另一个,我认为从情怀角度来看的原因是,普朗克是那个学会了物理的人。近代这样的人,愚以为洛伦兹、普朗克、爱因斯坦、索末菲、玻恩等老几位可算是。当年,青年普朗克去慕尼黑大学学物理,有Phillip von Jolly教授者告知普朗克物理这块田里没啥好发现的了,普朗克的回答是我没想发现什么,我只想弄懂已知的基本问题。命运回报了普朗克的这个朴素信条。著名的玻尔兹曼熵公式S=klogW是普朗克先写出来的,著名的相对论质能方程E=mc2是普朗克先写出来的,正确的黑体辐射谱分布公式是普朗克先写出来的,这一切放在一起就好理解了。普朗克因此成了统计力学、量子力学和相对论的奠基人。一个保守主义者,做出的都是惊天的成就,有革命性的色彩,难怪被称为Revolutionär wider Willen(违背意愿的革命者)。普朗克博士毕业后的研究深受克劳修斯的影响,而克劳修斯是熵概念的提出者啊 [Rudolf Clausius,Die Mechanische Wärmetheorie(热的力学理论)8),Vieweg(1876)]。普朗克选择Eletrodynamikund Thermodynamik(电动力学和热动力学)作为自己的研究对象。Eletrodynamik,Thermodynamik,都是Dynamik,有啥好区分的。电动力学和热动力学的结合是黑体辐射研究的一个关键点,这一点对普朗克们来说是显而易见的。可惜,把Thermodynamik翻译成“热力学”时字面上就错失了这一点。普朗克中学时期就熟读克劳修斯的著作,而克劳修斯留下的两本书就是力学观的热理论和电的力学处理(Die mechanishce Behandlung der Electricität,Vieweg,1879),热通过光同电磁学建立起了联系。普朗克1878年起研究不可逆过程,自1891年起因为受赫兹的麦克斯韦理论启发开始将热力学用于电磁过程。有评价认为,Planck hat nicht aus Nichts geschaffen(普朗克不是从“不(没有)”中创造的),有意思。
普朗克1900年的第一篇文章完全是接着维恩的工作,从辐射的温度与熵的关系入手。注意维恩1894年文章的题目就是温度与辐射熵,这两篇的文章题目相同。这里的思路是,热辐射达到平衡的过程是个熵增加到最大值的过程,则要求熵对内能的二阶微分为负。形式上这要求等于一个负的能量平方的倒数。对于指定的频率ν,Uν是该频率上的辐射平均能量的意思。可以针对Uν开展研究。普朗克从关系式
出发。这是一个了不起的猜测,常数h的引入是为了让hν的量纲为能量,从而使得这个出发点形式上是合理的,k是量纲为熵的常数。注意
,可得
,即
,这是维恩分布公式。
Kurlbaum的测量结果建议对低频部分可采用的形式 [H. Rubens and F. Kurlbaum, 1900, 见上文]。为了改进维恩公式,即消除得到的公式在低频处同实验测量结果的偏离,再参照Kurlbaum的结果,普朗克把所谓的发出辐射的振子的熵定义为
,也即
(对右侧分母的改写是数学上成功的一步),解得
。普朗克这么凑,利用了
的事实,请大家记住公式,是凑统计物理的数学技巧基础,这个xInx-x形式的函数我们会在统计物理中随时碰到9) 。就简单性来说,这个公式最接近维恩的结果(an Einfachheit am nächsten kommt)。普朗克接受这个推导的出发点,是因为这样的辐射与振子构成的体系之熵产生为正,这符合热力学的要求。这只算是有了这个公式,是个具有形式意义的、瞎猜得到的公式 (glücklich erratenes Gesetz doch nur eine formale Bedeutung)。关于普朗克这瞎猜的功夫,派斯(Abraham Pais, 1918-2000)在爱因斯坦传记 Sutle is the Lord一书中大为赞赏:“His reasoning was mad, but his madness has that divine quality that only the greatest transitional figures can bring to science. It cast Planck, conservative by inclination, into the role of a reluctant revolutionary(他的论证是疯狂的,但是他的疯狂有那种只有伟大的传统人物能带给科学的神性。这赋予了普朗克,一个保守倾向的人,勉强的革命家的角色)”。然而,按爱因斯坦1916年的说法,普朗克的推导是史无前例的胆大妄为(Seine Ableitung war von beispielloser Kühnheit)。关于那天的推导过程,普朗克自己有非常客观的评价。Im Verfolg dieses Gedankens, bin ich schliesslich dahin gekommen, ganz willkürlich Ausdrücke für die Entropie zu construiren, Unter den so aufgestellten Ausdrücken ist mir nun einer besonders aufgefallen, … Es ist bei Weitem der einfachste unter allen Ausdrücken, welche S als logarithmische Function von U liefern …(顺着这些想法,我最后决定,完全随意地构造熵的表达……,在诸多表达中,这个提供了S是U的指数函数的公式最简单)。看到普朗克这么实在,笔者都笑得差点岔气了。看如今的物理论文,时常能遇到装蒜的货儿,自己根本没有本事写一篇唯一作者的文章,却在事后拿着很多别人凑出的文章编造自己的英明。
德语文献中还时常提及普朗克的绝望行动 (AktderVerzweiflung),派斯的英文版爱因斯坦传记在371页上提到了普朗克的desperate act,正可相互印证。这让笔者很纳闷。普朗克听完Rubens聊黑体辐射的实验结果,当天晚上就得到了正确的表达式。即便为了找到更强的理论根据,那第二个、基于统计物理的推导也用时不足俩月(两篇文章的跨度为从1900年10月19日到1900年12月14日),何来绝望一说?难道绝望应该指的是他后来理解为什么光量子hν会导致正确的黑体辐射公式一事?光量子是普朗克公式成立的充分必要条件,这个问题是庞加莱1912年解决的。
一般热力学、统计物理或者量子力学介绍黑体辐射到此就为止了。普朗克的能量量子概念带来了物理学革命,然后就是量子力学的事儿了。事实是,普朗克公式的出现根本不是黑体辐射问题的了结,它只是一个new era of blackbody radiation 的开始。
必须指出,普朗克不是用数学函数去拟合(fit)人家的实验曲线,也不是拿实验曲线去同人家的理论凑合(appeal to),用普朗克自己的话说,他用的是die von mir entwickelte elektromagnetische Theorie der Strahlung (俺自己发展起来的电磁辐射理论)。一个物理学家一生中若有一次可以这样说话,那他就真是一个物理学家了。
普朗克1900,1901年的Notbehelf在物理学界应该引起了轰动,Kurlbaum 在普朗克公式报告4天后就算出了 h = 6.55 × 10-34 Js ,并称之为普朗克常数。然而,普朗克接下来直到1906年都在忙乎他的《热力学教程》。在 1906—1907 年普朗克在相对论方向的研究取得了不俗的成就,尤其是腔体辐射的质量问题,这联系着质能关系,见下文。关于普朗克的心理路程,超出本文的范围了,请参阅库恩的Black-body theory and the quantum discontinuity 1894—1912一书。库恩的这本书虽然也招来了一些负面评价,但毕竟比他那不着调的《科学革命的结构》有价值多了。物理学里没有革命,如果你看到了革命,那是因为你知道的少。库恩如果知道马赫的这句话,可能就不会写那本流传甚广的书了。
1911年底,普朗克发表了论文 [Max Planck,Über die Begründung des Gesetzes der schwarzenStrahlung(黑体辐射定律的论证),Annalen derPhysik 37,642-656(1912)],在一个新的振子发射机理的基础上,普朗克再次得到了黑体辐射公式,这是普朗克自己的第三种黑体辐射公式推导方式,也是继爱因斯坦在1906年、1907年和1910年,洛伦兹在1908年,德拜在1910年,艾伦菲斯特在1911年的各种花式推导黑体辐射公式后的新尝试。这篇文章绝对是物理学史上里程碑式的存在。在这篇文章中,普朗克不仅再次如愿以偿地得到了黑体辐射公式,关键是他还第一次使用了对应原理,还第一次导出了振子的零点能 (普朗克称之为能量残余,Energierest),。在一篇文章中完成了物理学概念层面上的一箭三雕,这应该算是绝无仅有的了,我不知道物理史上还有哪个单篇有如此高的成就。
普朗克首先指出,公式此前的推导中有一个非常敏感的缺陷,即为了确定辐射强度对温度的依赖关系,振子的能量一方面同空间中自由传播的波动辐射强度联系起来,另一方面又被用作计算此种振子所构成体系之熵的基础(公式右侧第二项)。前一个方面是电动力学的,第二个方面是统计的,而普朗克现在要做的,是找到将电动力学的处理方式与统计的处理方式能统一起来的辐射公式推导{注意,这里有波粒二象性的问题。爱因斯坦 1904 年就注意到了}。普朗克现在考察的还是一个充满稳恒黑体辐射、由静止的反射壁所围成的真空腔体,其中存在一个由许多具有特定共同本征振动的线性、独立的振子所构成的系统,这些振子吸收和发射能量,但仅以电磁波辐射的形式。关于振子吸收能量过程的描述,普朗克用的就是简单的受迫振动模 型。运动方程为
,其中f 是振子的偶极矩, Ez是偶极子轴方向上光场之电场强度的分量。注意,此方程不包含任何阻尼项。这样的方程所描写的振荡,振子从静止状态的 t = 0 时刻算起,因此其振幅,其能量,是随时间逐步增加的。
关于具有一定能量的振子如何发射电磁辐射,普朗克假设振子只在其能量达到能量单元ε = hν的整数倍 nhν 时才会发射辐射,具体的发射机制不论,但发射以随机的方式进行:发射的概率为 η ,不发射而后继续吸收能量的几率为1 - η 。也就是说,每一次当振子的能量 U 为 U = nhν 时,其将全部能量U发射出去的事件就可能发生,概率为 η ,发射后振子回到静止状态开始下一轮的能量积聚。普朗克进一步地制定了振子的发射规则,其不发射的概率相对于发射的概率之比正比于激励振子的那个外部振动的强度J,即。那么,这个等式里的比例因子p该如何确定呢?普朗克认为,对于大的激励振动强度J 的值,振子的平均能量
应过渡到经典电动力学所要求的值。你看,就这么不经意间,对应原理出场了。记住这是1911年,玻尔还在发愁博士学位论文在哪儿呢。然而,这个对应原理好像后来被安到了玻尔的头上。
现在求在稳恒辐射场中振子的平均能量。在N个完全发射了其能量的振子中,Nη是在达到一倍能量量子hν时发射的,N(1-η)η 是在达到两倍能量量子2hν时发射的,依此类推,N(1-η)n-1η是在达到第n个能量量子nhν时发射的。由此可见,在稳恒辐射场中同时随机挑出来的N个振子中,有Nη=NP0个能量是在0到ε之间;N(1-η)η=NP1个能量是在ε到2ε之间;依此类推,有N(1-η)n-1η=NPn-1个能量是在(n-1)ε到nε之间,这里的Pn=(1-η)nη是振子能量在nε到(n+1)ε之间的概率。这样,振子的平均能量
由表达式
给出,其中的
是在有第一次发射机会前振子的平均能量,
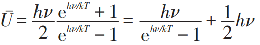
是经历了n次发射机会但从未发射的振子的平均能量。注意,这里的这个1/2是作为从0到1的均匀(等测度)分布之平均值的面目出现的。这个1/2,相较于后来人们恣意发挥的、怪力乱神式的零点能概念,非常好理解,也容易接受。
如上,在给定强度的稳恒辐射场中的N个相同振子组成之系统的能量分布,就这样唯一地决定了。接下来,就能以熟知的方式计算系统的熵和温度了。首先,系统的熵为,注意这里普朗克使用了新的熵表达式S∝-p lnp,p是概率,一般教科书称之为吉布斯(Josiah Willard Gibbs,1839—1903)熵。根据Pn的表达式,得
,可进一步改写为
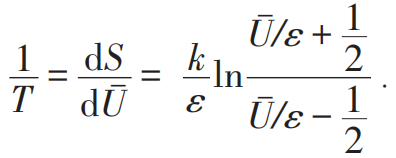
那么,由此可得出温度 {注意,这里是熵对平均能量
的微分。这一时期的文献还有写成熵对能量微分的。其总体思想都是去凑热力学中内能、熵与温度三者之间的关系
。物理是凑出来的}。带入ε=hν,即得
。与此前的结果不同,这里当T=0时,
。这个零点能
该怎么解释呢?普朗克老师说,这个与温度无关的能量属于“潜能(latente Energie)”,其对比热容没有贡献但是对惯性(以及有重量的)质量有贡献,它也构成放射性作用的源泉。
普朗克关于黑体辐射工作的伟大之处之一是引入了常数 h。普朗克常数后来成了物理学的基本常数之一,有了越来越精确的测量值{说实话,笔者不懂这句话的意思。在理论物理里,可以取h=1。至于为什么h=1,套用曼宁 (Юрий Ивáнович Мáнин,1937— )关于为什么 c=1 的回答:因为它就等于1},该常数被确立后不久有用光电效应确定普朗克常数h的,比如密立根1916年的工作 [R. A. Millikan,A Direct Photoelectric Determination of Planck’s ‘h’,Physical Review 7,355- 388(1916)]。不过,对密立根的实验工作,包括其测定基本电荷的油滴实验,我都抱持极端谨慎的态度。
注意,关于黑体辐射的谱分布密度ρ(ν,T),其中T是个参数,而ν是个连续的变量。然而,我们应该注意到(?),大多数的普朗克公式推导过程是针对一个具体的频率ν得到的那个表达式,但实际物理问题是在给定温度T下关于光的频率(或者波长)从0到无穷大的分布。一个空腔内不同频率的光如何此消彼长,或者说能量如何在不同频率模式上调整从而进入一个动态平衡,这是物理学必须回答的问题。这个问题,爱因斯坦等人关注的多一些。
(未完待续)
注:
7) 德语国家中博士为获得私俸讲师资格所进行的独立研究(含教学)的总结报告。
9) 为什么微积分课上的数学老师不讲哪个微分或者积分的更多科学内涵呢?难道不是数学老师的本能冲动吗?
物理学史钩沉
《物理》在淘宝店和微店上线,扫码即可购买过刊和现刊。
2.对于麦克斯韦方程组,洛伦兹变换的低速极限是伽利略变换吗?