The following article is from 返朴 Author 曹则贤
溯源守拙·问学求新
|作者:曹则贤(中国科学院物理研究所)
本文选自《物理》2022年第4期
知纲领且能为细节,才见学问的妙处与学者的功夫。
——作者
( 接51卷第3期 )
荷兰物理学家洛伦兹(Hendrik Antoon Lorentz,1853—1928,图18)是近代物理的旗手(所谓的leading spirit),对相对论有基础性的贡献(电动力学,洛伦兹变换),为量子理论思想的接受准备了基础。1870年洛伦兹入莱顿大学学习物理和数学,1877年24岁时即成为莱顿大学理论物理教授。{忽然想起,可能任何脱离同数学系之间关系的物理系都是个假物理系}洛伦兹对几乎所有的物理领域都有涉猎,尤以对电动力学和相对论的贡献最为显著。洛伦兹关于热力学和统计力学的工作很少有人注意,尽管他有专著和关于黑体辐射的重要文章,比如H. A. Lorentz,Les Théories statistiques en Thermodynamique (热力学中的统计理论),Teubner(1916);H. A. Lorentz,Vorlesungen über theoretische Physik an der Universität Leiden(莱顿大学理论物理讲座),Band1:Theorieder Strahlung(卷一:辐射理论),Akademische Verlagsgesellschaft(1927). 我猜测,这个卷一应该藏着我们的电动力学教科书该有却没有的关于加速电荷辐射的相关内容。
图18 洛伦兹于1925
洛伦兹在1903年给出过关于长波极限黑体辐射谱公式的证明[On the emission and absorption by metals of rays of heat of great wavelength, Proc. Amsterdam 5, 666-685(1903)]。洛伦兹认为,辐射可能是物质中的自由电子运动的结果,可从金属导电模型推测其吸收和发射关系。电子的热运动可以解释长波行为,而无需引入发射特定频率辐射的振子假设。设想有一无吸收的厚度为Δ的板,其吸收能力为A=σΔ/c,其中σ是电导率,且假设σ∝1/T。洛伦兹用加速电荷的经典电动力学处理发射问题,对辐射场作傅里叶变换来捡出一定波长或者频率范围内的发射,从而去计算辐射定律。{这里涉及傅里叶变换得到的单元是否是独立的、是否是实在的等问题,非常令人困惑。见下文}洛伦兹说,这个讨论仅限于长波。笔者必须坦诚,没看懂洛伦兹的推导,但笔者感慨的是洛伦兹这样的物理学家们真能边假设边计算,我估计背后的模型构造作为推导依据才是他们更见水平的地方。有趣的是,洛伦兹管普朗克的“units of energy”叫the portions,把普朗克谱分布公式写成的形式。
在1906年罗马数学家大会上,洛伦兹又谈论黑体辐射的研究现状。1908年,洛伦兹就自己关于金斯公式的言论再次发文[H. A. Lorentz,Zur Strahlungstheorie(论辐射理论),Physikalische Zeitschrift 9(17),562-563(1908)]。洛伦兹指出,金斯的公式是基于能量均分原理,在长波部分是成立的。洛伦兹注意到从当时的电子理论导出辐射公式是困难的。在普朗克的模型中,重物(壁)同以太状态之间的能量交换是由所谓的振子或者类似的粒子所中介的。洛伦兹注意到,德鲁德(Paul Drude,1863—1906)的热导和电导理论意味着金属中存在自由电子,而统计规律对它们来说也应该是适用的。这会导致结论,在振子的影响下会达成一个平衡态,在电子的影响下会达成另一个平衡态。就短波部分而言,如果电子带来很慢的能量迁移过程而振子带来快速的能量迁移过程,就能得到普朗克分布。笔者弄不懂这段其中的道理或者引出这种没道理论述的历史背景,不过洛伦兹的这句话可能是重要的,da man das Kirchhoffsche Gesetz nur verstehen kann, wenn man Absorption und Emission auf nahe verwandte Ursachen zurückführt(只有把吸收和发射过程归于相近的原因,才能理解基尔霍夫定律)。
有文献引用时会说洛伦兹也给出了黑体辐射的新推导,不过笔者细读洛伦兹1910年的文章并没有发现新的推导[H. A. Lorentz,Alteundneure Fragen der Physik(物理学的老问题与新问题),Physikalische Zeitschrift 11,1234-1257(1910)]。洛伦兹只是就辐射同物质间建立平衡的关系、普朗克作用量子的意义等内容给出了一些有意义的讨论,比如指出空腔里有完全透明的、不发射的物质也能达成黑体辐射。笔者的另一个收获是知道了光电效应的过程可以和β放射性平行地考虑。得出光电效应的诠释是注意到出射电子的速度与加热得来的热运动速度特征不符。把电子出射直接同对光量子吸收挂钩是解释光电效应的关键一步,这中间实验上还曾验证过电子的出射速度似乎与金属的温度无关。
图19 金斯
金斯爵士(Sir James Hopwood Jeans,1877—1946)是英国物理学家、数学家、天文学家(图19)。许多学物理的人知道金斯这个名字只是通过瑞利—金斯公式,其实金斯是大神级的天才科学家,24岁起在剑桥任教,1904年27岁时被聘为普林斯顿大学教授。和瑞利爵士一样,金斯是经典物理的旗帜,但其成就多在天文学和宇宙学方面,比如1928年提出的静态宇宙学猜想。金斯爵士是罕见的物理学表述者,思想深刻,文笔优雅,其具体著作包括:
The dynamical theory of gases(1904).
Mathematical theory of electricity and magnetism (1908).
Report on radiation and the quantum theory(1914).
Problems of cosmology and stellar dynamics(1919).
Atomicity and quanta (1926).
The universe around Us(1929).
The mysterious universe (1930).
The stars in their courses (1931).
The new background of science (1933).
Through space and time (1934).
Science and music (1937).
An introduction to the kinetic theory of gases(1940).
Physics and philosophy (1943).
The growth of physical science (1947).
都是经典。The dynamical theory of gases和An introduction to the kinetic theory of gases前后相差36年,可见气体动力学理论一直都是他思考的问题。此与黑体辐射有关。Report on radiation and the quantum theory更是关于黑体辐射的专著。
金斯自1900年普朗克理论出现以后的态度先是坚决反对(stauch opposition),后来从1910年起黑转粉。金斯认为能量均分定理所要求的瑞利—金斯分布同实验的偏差是因为系统根本没有达到平衡。玻尔兹曼在1895年的Nature文章中也说气体—以太体系没有足够时间达到热平衡。金斯认为哈密顿方程和能量均分都不破坏,那么平衡很难在短期内达到。他甚至要和热力学原理对着干(contravene),认为基于第二定律的论证都是站不住脚的。用热力学第二定律进行的论证(比如玻尔兹曼的)都涉及使用以太作为工质的热机,当然没有这种热机。第二定律只是统计力学的特例,只在系统处于平衡时有用。金斯在1904年的the dynamical theory of gases一书第九章中提出另一个理由,转动、平动向振动模式转移能量很慢,振动模式从来没有得到应有的能量份额。振动能量相对于其模式来说太少了。在金斯看来,系统一直在靠近热平衡态的路上,辐射的强度也依赖于同其相互作用的物质。而在普朗克看来,基尔霍夫函数与物质无关,那我们就是在寻找一种绝对的存在,这就更有价值。
1905年,金斯写了多篇关于辐射与气体动力学的文章,包括:
尤其值得一提的是,On the laws of radiation一文为经典图像和瑞利分布辩护——这让这个分布后来成了Rayleigh—Jeans分布。金斯1905年得到了完备辐射体的公式,即所谓的金斯位移公式u=λ-4Tf(λT)。如果认定λT是体系的不变量,它和维恩的位移公式u=λ-5f(λT)其实是一致的。金斯发现积分该公式可以得到Stefan—Boltzmann公式,而且他也得到了表达式λmaxT=a,他称之为the mathematical expression of Wien’s displacement law(维恩位移公式的数学表达)。他由此觉得有信心绕过热力学而只用量纲分析加上电荷运动是辐射来源这个假设就足以导出分布公式。把气体分子当作声波,体积v内的振动的数目为Cvλ-4dλ. 对于辐射这该是8πRTλ-4dλ;对于气体是4πRTλ-4dλ,总是有能量均分的结果。
金斯于1909年在“Temperature-radiation and the partition of energy in continuous media, Phil. Mag. 17, 229-254(1909)”一文中分析指出,纯由以太构成的体系因为缺乏模式之间交换能量的机制不能达到正态(normal state),这样的态是Rayleigh—Jeans分布。金斯坚持认为,同经典图像契合的分布就是Rayleigh—Jeans分布。在其1914年的Report一书里,他甚至列出三种导出Rayleigh—Jeans分布的方式:(1)振子的辐射;(2)自由电子的辐射;(3)轨道电子的辐射 [J. Jeans,The motion of electrons in solids,Phil. Mag. 17,773-794;18,204-226 (1909)]。
1910年,金斯在“On non-Newtonian mechanical systems, and Planck’s theory of radiation,Phil. Mag. 20, 943-944(1910)”一文中明确放弃了他关于黑体辐射的经典观点,原因似乎是因为对拉莫尔(Joseph Larmor,1857—1942)的工作的响应。拉莫尔问,是否能调和普朗克谱公式与用连续运动表述的一套物理定律?答案是否定的。普朗克的工作只是表明了量子化是得到谱公式的充分条件。在1910年,金斯提供了一个量子化导致黑体辐射普朗克谱公式的必要性证明,但没有信心,所以他自己后来也把必要性证明归功于庞加莱1912年的工作。在1914年的Report一书中,金斯毫不掩饰反对辐射的经典图像了。自1914年以后,金斯转身接着研究天文与宇宙学去了,也许他是信了据说是庞加莱的观点,To give further judgment on the quantum theory “would be a waste of paper and ink”(对量子理论作进一步论断只是浪费纸墨)。
金斯的理论分析是有参考价值的。他用刘维尔定理证明均分定理。除了这要求完美反射边界条件,他自己又指出这个理论的另一个缺陷:对短波不存在完美的反射边界条件。金斯认为他对黑体问题的洛伦兹式的分析可以用来得出基本电荷e的值,如果假设辐射来自电子的话。这已是h和k以后黑体辐射谱用来决定的第三个普适常数。
图20 德拜
德拜(Peter Debye,1884—1966),荷兰人,1936年度的诺贝尔化学奖得主(图20)。德拜在德国Aachen读书时受到维恩、索末菲(Arnold Sommerfeld,1868—1951)等人的影响,后来成了理论物理教授,也领导过实验物理机构。这位德拜先生是个物理大拿,曾是那个充满着物理学的物理杂志之一,Physikalische Zeitschrift,的主编多年12)。笔者初识德拜这个名字,是在统计物理教程里,有关于固体比热的与爱因斯坦模型并列的德拜模型,那就是德拜研究黑体辐射的结果。
德拜首先指出,普朗克、金斯和洛伦兹等人推导黑体辐射的路子不是无可指责的(unanfechtbar)。洛伦兹从一开始将讨论局限于长波;金斯得到同样的结果却想让其对所有波长有效,但这与实验不符;普朗克公式倒是和实验数据相符,但其推导的两部分是脱节的。德拜表明,普朗克的定律可以由统计物理导出[Peter Debye, Der Wahrscheinglichketsbegriff in der Theorie der Strahlung (辐射理论的概率概念), Annalen der Physik 33, 1427-1434(1910)]。德拜自问,是否振子性质的精确知识对辐射定律的推导是必须的?他要寻找出路,仅从量子假说就得到辐射场的性质而不必在振子问题上纠缠。{辐射的平衡态同与之处于热平衡态的物质系统、过程无关。反过来,这提供了许多从具体物质系统、过程推导辐射平衡态的可能性。愚以为,此乃黑体辐射关于模型的独立性,是最值得关注的点。辐射平衡态与壁无关,与腔内的存在无关,还都能从某个具体的存在出发推导出来,这体现的是物理的一致性?}假设就是物质吸收辐射和将辐射转化成其它频率都是以hν量子的形式进行的,这也是普朗克的假设。
德拜绕了一大圈子后,给辐射的所谓振子能量找到了一个表达式ξ2+η2,此二项式中一为辐射的矩(moment),一为此矩的变化率。{此处不过是套谐振子的滥调,电磁场的能量表示E2+H2即如此,有效性都体现在二次型上了。会二次型和微分二次型的数学,物理就几乎一览无余了}这篇文章信息量巨大,但使用的是老记号和旧模型,有些笔者一时没看懂。德拜的做法,包括“elementarbestandteile……zerlegen”,“Betrachten wir nun eine von diesen Eigenschwingungen ihrem qualitativen Aussehen nach, charakterisiert durch die drei ganzen Zahlen a, b, c, welche bekanntlich die Anzahl knoten messen...… (分解成基本单元…用三个量子数,整数a, b, c,来表征本征振动)”——这是后来量子力学波函数的门道啊。在一个立方体中,在频率ν→ν+dν间的基本状态数为。{这样的图像难以对任意频率成立吧,天下没有无限!但人家物理学家推导时就这么硬干}假设一个基本量子hν属于频率为ν状态的概率是f(ν) {愚以为,这就是看出普朗克公式中
那一项的意义了,编个解释},能量可表示为
,剩下的任务就是决定f(ν)的形式。平衡态对应
{此处德拜犯了个小错,应该是
。这里的微分表示Ndν几乎不能是整数,人家可能是心里揣着Γ(x)函数然后硬拿(x)!当作n!处理。有个感慨,人家是做物理,敢横冲直撞;我们的物理是学来的,谨小慎微},计算得到在ν→ν+dν之间的辐射对熵的贡献为
。若要求在总能量
下熵最大,由拉格朗日乘子法得
,此即
,普朗克公式的模样出现了。现在来决定这个常数a。利用
,和
,可得a=1/kT。这样,德拜(和爱因斯坦)都从热力学得到了结论,电磁场能量是量子化的,这个事实不依赖于(模型)振子的性质,但是并没有由此进一步地推导出电磁场的量子化。光的量子化是20世纪50年代由Suraj N. Gupta(1924—)和Konrad Bleuler(1912—1992)实施的。啰嗦一句,我个人的感觉是,光的量子化描述目前仍然是一笔糊涂账。物理学是容骗空间最大的学科,这很让一些人如鱼得水。
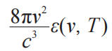
上述做法可简述为,考虑一个充满处于热平衡状态振子的空腔,辐射谱密度是,其中ε是辐射场振子(radiation field oscillator)的平均能量。德拜的结论是粒子的能量只能是nhν,n=0,1,2,3⋯⋯,的形式{从前玻尔兹曼为了得到麦克斯韦分布的做法},对于每个能量值nhν,加上玻尔兹曼因子exp(-nhν/kT),于是就能得到普朗克谱分布公式。这个统计物理中计算配分函数(partition function)用到的e-E/kT,就是能量给定下熵最大的产物。一般统计物理教科书是直接拿过来,也不问是从何而来的。
德拜进一步思考固体的比热问题[P. Debye,Zur Theorie der spezifischen Wärme(比热理论),Annalender Physik 39(4),789-839(1912)],得出了如下结论:(1)固体并非如爱因斯坦模型所言只有一个具体的波数(频率),而是有特征的振动谱;(2)振动谱有有限根谱线,频率最低的部分就是寻常的声学谱;(3)频率范围dν内的谱线数正比于ν2dν,比例系数由固体的弹性常数决定;(4)假设每个自由度的平均能量为,即可由此计算能量和比热。德拜和爱因斯坦的工作构成了固体量子论的基础。顺便强调一句,固体量子论属于老量子论,出现在量子力学之前。
图21 艾伦菲斯特
奥地利物理学家艾伦菲斯特(Paul Ehrenfest,1880—1933)是玻尔兹曼的学生,曾有人称他为物理学的良心(图21)。爱因斯坦、索末菲夸赞艾伦菲斯特是物理课讲得最好的。艾伦菲斯特把玻尔兹曼的工作表述得太通透了,以至于玻尔兹曼都说“我要是自己理解得这么好,那就好啦”。艾伦菲斯特的夫人塔提亚娜(Tatyana Ehrenfest-Afanasjewa,1876—1964),一个乌克兰数学家,也是热力学—统计物理的大家,他们一起著有Die Grundlage der Thermodynamik(热力学基础),Zur Axiomatisierung des zweiten Haupsatzes der Thermodynamik(热力学第二定律的公理化),On the use of the notion ‘probability’ in physics等书。
艾伦菲斯特关于黑体辐射的工作,如下几篇文献值得关注:
Paul Ehrenfest, Über die physikalischen Voraussetzungen der Planckschen Theorie der irreversiblen Strahlungsvorgänge (论不可逆辐射过程的普朗克理论的物理前提), Wiener Ber. II, 114, 1301-1314(1905).
Paul Ehrenfest, Zur Planckschen Strahlungstheorie (普朗克辐射理论), Physikalische Zeitschrift 7, 528-532(1906).
Paul Ehrenfest, Welche Züge der Lichtquantenhypothese spielen in der Theorie der Wärmestrahlung eine wesentliche Rolle (光量子假设的什么特征在热辐射理论中扮演了实质性的角色)?Annalender Physik 36, 91-118(1911).
Tatiana Ehrenfest, Paul Ehrenfest, Begriffli⁃che Grundlagen der statistischen Auffassung in derMechanik (力学中的统计表述的概念基础), Teubner (1912).
Paul Ehrenfest, Adiabatische Transformationen in der Quantentheorie und ihre Behandlung durch Niels Bohr (量子理论中的绝热变换及玻尔对此的处理), Naturwissenschaften 11, 543-550(1923).
Paul Ehrenfest, The conceptual foundations ofthe statistical approach in mechanics, Oxford University Press (1959).
其1912年在荷兰莱顿大学的就职讲座题为Zur Krise der Lichtaether-Hypothese(光以太假设的危机),显然也是基于相关工作。艾伦菲斯特关于量子假设必要性的论述,请参阅Luis Navarro, Paul Ehrenfest on the Necessity of Quanta (1911): Discontinuity, Quantization, Corpuscularity, and Adiabatic Invariance, Archive for history of exact science 58(2), 97-141(2004).
艾伦菲斯特1906年论文的题目简单明了,就是“论普朗克的辐射理论”。普朗克认为基尔霍夫的空腔辐射普适性可以推广到假想的体系(fingierte Systeme),他自己提出的模型是镜子围成的空壳里面有一个或多个振子。这样的振子由齐次线性振动方程定义,只有辐射阻尼而没有摩擦阻尼{就是凑个数学对象,为了用受迫阻尼振动方程。经典力学的受迫阻尼振动方程简直是电动力学的万金油},只要在周围真空里稳定下来的辐射是黑体辐射就行。一句话,镜子围成的内有振子的腔体,其结果应和各处都是漫反射的镜子围成的空腔效果相同(因为根本不存在严格意义上的镜子)。既然是纯粹空的,那里面的过程就只是空腔的本征振动的叠加。假设振子对其本征频率附近的波有响应,若有大量的、频率相挨着的振子,这就能把初始时的单色光给改造成连续的谱分布。但问题是,什么样的振子理论总是在熵最大时指向绝对稳定性(黑体辐射)呢?Ein Planckscher Resonator spricht wegen seiner Strahlungsdämpfung auf Wellen aller Perioden an, die der Periode seiner Eigenschwingung genügend nahe liegen. Es wäre darnach zu·erwarten, daß eine Schar von Resonatoren mit eng aneinander anschließenden Eigenschwingungsfrequenzen, die sich zusammen über das ganze Spektrum erstrecken, imstande sein müßten, eine anfänglich monochromatische Strahlung sukzessive in Strahlung kontinuierlicher Spektralverteilung zu verwandeln. (普朗克振子因为辐射阻尼而对所有频率在其本征振动附近的波有响应。由此可以期待,大量频率互相挨着且覆盖整个谱范围的振子,可以将初始时的单色辐射逐步地转化为连续的谱分布)。艾伦菲斯特指出,如下的理论也归功于普朗克,其为辐射本身提供一个经典的Komplexionentheorie(复合体理论,由complexion,即等价构型数目,导出熵的理论):辐射之本征振动的幅度和相位是独立的{即所谓的随机相位?}。空腔里每个辐射状态的熵可以写为{注意,这里又有函数flnf,是熵表示的老把戏了},重要的是
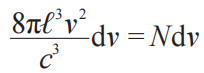
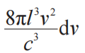
是全部的本征振动数目,而NνdνF(ν, f, g)dfdg则是落在ν→ν+dν之间、相空间体积{注意这个概念,以后玻色就是从这儿突破的}dfdg中本征振动的数目。这里,辐射的本征振动能量表示为
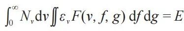
{永恒的物理谐振子,数学二次型},而 g = ∂ε/∂ḟ 是共轭动量。这里,关于辐射的统计物理内容都在了。能量可以写为一对共轭变量的二次型,在这一对共轭变量的相空间中谈论统计分布问题,即引入一个分布函数∬F(ν, f, g)dfdg(条件I),而总能量守恒,
(条件II)。瑞利—金斯公式可以按照上面这套做法得到,那么如何得到普朗克分布呢?艾伦菲斯特指出,引入新的约束条件,可以得到不同的分布函数F(ν, f, g)。比如引入要求
,此为条件(III),Φ是任意函数 {其实是选择Φ=lnF,玻尔兹曼统计的惯常做法?},则求玻尔兹曼H 函数最大的条件,相应的乘子法得到的变分表达为 δH+ρδI+σδII+τδIII = 0,即 lnF+1+ρ+σε+τΦ = 0,或者
。这是一套玻尔兹曼在一篇经典文献中用到的变分法[Ludwig Boltzmann, Über das Arbeitsquantum, whelches bei chemischen Verbingungen gewonnen werden kann(论可从化合得到的功量子),Annalen der Physik 258,39-72(1884)]。普朗克选的变分条件,就是
。此处,艾伦菲斯特为频率ν 的本征振动引入了f-g Bildebene的概念{f-g图像平面。这就是单参数的相空间}。但是,谱分布是根据什么物理机制最终随着频率的增加反而下降至零呢?这个问题艾伦菲斯特没给出答案。在这个推导中,普朗克分布有别于瑞利—金斯分布相当于多了个约束条件。
艾伦菲斯特1911年的文章可粗略总结如下。1900年能量量子假设被提出来以后,就迅速被用到别的地方去了。11年后的今天,该从黑体辐射的角度反过来考察量子假说,哪些特征是被证实了的,是否有一些可修改的可能?仔细考察黑体辐射的特征。设想空腔是镜面围成的空腔,经历可逆压缩过程,不管里面的辐射黑不黑的其熵都不变。维恩位移成立,要求谱分布为,而长波长时谱分布公式要退化为瑞利—金斯公式
,这要求
。这个要求可称为红色要求(Rotforderung)。可以看出,维恩公式不符合这个红色要求。而如果高频部分谱分布的值要趋于0,得要求
,这是紫色要求(Violettforderung)。参考高频处是维恩公式
,紫色要求的加强版可写为对于足够大的n,
成立。瑞利—金斯公式在高频处显然不满足这个要求,此处艾伦菲斯特用了一个词Rayleigh—Jeans Katastrophe im Ultravioletten,即紫外处的瑞利—金斯灾难,且全文就用了这么一回。这就是物理文献里泛滥的所谓紫外灾难的来由。写到此处,忍不住多评论几句。在后来的众多物理学文献中,紫外灾难莫名其妙成了黑体辐射的主角,让人误以为是多少有点物理的东西。笔者本人甚至傻傻地误以为紫外灾难的概念出现在普朗克1900年的工作之前,是普朗克要清除(beseitigen)的东西。造成这种局面的动力,可能是源于二流以下物理学家到一般物理传播者的猎奇心理及其对真实物理的不屑(能)一顾。关注物理学深层的内容,可能是一流物理学家的标识。Katastrophe im Ultravioletten就这么出现一次,就被弄得满世界都是,说明劣质科学家还是多啊。与紫外灾难一样被羞辱的,是薛定谔1935年引入的箱子里放猫的模型。薛定谔用放射性—锤子—毒药—猫的模型是要说明聚焦不准带来的照片的模糊同云遮雾罩风景的照片的模糊之间的不同,以类比经典不确定性同量子不确定性之间的不同。愚以为,那不过是独立变量的不确定性同耦合(共轭)变量的不确定性之间的不同而已。所谓的量子力学,不过是不得已用了二元数的物理。
是个构建二元数的步骤。
普朗克的公式同时满足红色要求和紫色要求。普朗克在他的Vorlesungen über die Thermodynamik(热力学教程)一书中给出,空的镜面立方体里,电磁波的独立本征模式数为。{量子力学中的三维方势阱就是照抄的这个模型,其中没有任何量子的影子}将相同频率范围dν里的本征振动当作同种物质分子处理。一腔辐射就是一腔混合气体,可用玻尔兹曼统计处理——用相空间体积之比表示“状态”出现的几率之比。艾伦菲斯特然后做了从dν分布转向dE分布的推导{关键一步。这样才有能量一定下的问题研究啊},从一个参数空间里的粒子数分布转到另一个参数空间里的粒子数分布。一个频率为ν的振动,携带能量为E的几率是γ(ν,E)dE,γ(ν,E)权重函数,类似爱因斯坦引入的状态密度函数。由熵的绝热不变性(adiabatic invariance),艾伦费斯特指出γ(ν,E)应取G(E/ν)的形式 {用的不是此前维恩的“这是一个关于T/ν的函数”的那套推理了}。接下来,艾伦菲斯特探讨了权重函数G(x)既有连续分布又有分立分布的问题{此项工作在量子力学之前,这个在量子体系的谱分析中很重要!},指出如果只有连续分布,就不能满足紫色要求。{这是能量量子化作为必要条件的问题,在庞加莱之前,但艾伦菲斯特对自己的证明没有信心}仅仅要求辐射总能量是有限的就意味着modal energy的不连续性{没看懂}。在能量分立的E=0处,对应的权重函数G0必须特殊对待,G(x→0)→0要比x2快。{我终于理解了,为什么普朗克的分立能量,E=nhν,以及后来的量子谐振子能量谱,n=0,1,2⋯中有个n=0啦。当然,仅从权重函数e-βE(这里没有频率的事情,也和G(x→0)→0不符)得到谱分布
和
都要求n=0的存在!我从前不读大家原著,净看不通的二杆子著名教授写的教科书,活该困惑那么多年!相空间格子里粒子占据数为0的,在统计上也特别重要!似乎不占能量份额但改变熵值?这就是我们穷人的意义。别看我们不参与财富的分布,但我们参与决定社会的形态!普朗克分布对应的权重因子就是f(x)=e-x。e-βE来自拉格朗日乘子法;关于xlnx-x这一项,这个来自ln n!,而n!则来自排列组合,这条逻辑链一直在起作用。当然,能量为0如何存在啊,所以大自然必然存在零点能,见下。社会救济、安家费,都是这个意义。}
在1923年俩人合作的论文中,爱因斯坦和艾伦菲斯特首先分析泡利刚发表的论文(见下),指出一个方向上频率范围dν内的辐射经电子散射入另一个方向、频率范围dν ′中。若迁移几率为dW=(Aρ+Bρρ ')dt,则分布律为ρ的辐射和分布律为麦克斯韦分布的处于同一温度的电子气处于平衡态。{其实还是函数f(x)=e-x和函数之间的关系。Fermi golden rule用过}泡利指出,若是没有括号里的第二项(ρν2出场了),那辐射场就是维恩分布。难道量子分布律对应的辐射性质是作为干涉(Interferenzschwankungen)出现在波动理论中的?{用波动的物理量处理粒子散射的结果,导出的是波的干涉。波—粒是总是同时在一个公式里被使用的波和粒的图像。散射,跃迁,反正都是牵扯起—始过程,从构造速率方程的角度来看,就需要密度的乘积项。这个在爱因斯坦关于辐射场的涨落分析中也已清楚表明。这样看来,粒子现象可能是unitary、一元的,而波现象是binary、二元的。粒子—波类似矢量与其模平方(粒子动量同其动能)之间的关系。笔者忽然大胆认为,波不是个独立层面的存在。{从前上大学学习力学中的机械波时,我就注意到波概念的困难。波的能量正比于振幅平方。那么设想有一维的波振动,
;两波叠加,
,
。这不符合能量守恒。这个困难当波是二元层面存在时,至少不是独立存在时,是可以消除的}爱因斯坦此前用两能级的发射—吸收模型也获得了普朗克分布,这个和泡利的图像能统一吗?沿着这个方向思考可获得对光—物质相互作用的深刻、统一认识。考察两能级过程如下。从低能过程向高能过程dW=bρdt;从高能过程向低能过程有dW=bρdt 和 dW=adt 两者。{关键是,这里上下两个过程是不可逆的,而涉及辐射场的两项却用了同样的b系数,体现的是互反原理}设能量相差hν的两能级占据数之比满足玻尔兹曼关系,n ' = nexp(-hν/kT),于是平衡时有速率方程 nbρ = n ' (a+bρ),解为
。这段推导可以推广到分子是自由运动的,即能量为连续谱的情形。只要把高能、低能状态理解为一个小的范围即可。上述推导和不可逆过程有关。不可以把两状态之间的过渡Z *→Z 和Z→Z *简单地当成时间反转了的。这里的假设是,对于任何从高到低的发射过程,都存在从低到高的吸收同样频率、同样方向辐射的过程!
接着他们推广上述结果。首先针对分子运动的状态推广,那就把分子的动能也包括进来,步骤如上不变,只要过程提供就好。现在向有多个光能量量子参与的基本过程推广,比如散射就是涉及两个光量子的过程。{这是后来的多光子谱学的基础吗?}基本过程是分子吸收hν1,hν2,…发射hν'1,hν'2,…,相应的辐射密度(值)表示为ρ1,ρ2,…和ρ'1,ρ'2,…,改造上述公式,过程几率为
,逆过程几率为
,能量差为
,平衡时有方程
。只要各自的a,b满足
,记
,
,上述平衡式子意味着
,这就是普朗克公式满足的条件。Ура!
(未完待续)
注:
12) 不必指出如下事实,很多物理类杂志可能从未发表过有物理的文章。
物理学史钩沉
《物理》在淘宝店和微店上线,扫码即可购买过刊和现刊。