|作者:曹则贤(中国科学院物理研究所)
本文选自《物理》2022年第5期
一锤定音的本领来自对十八般兵器的样样精通。
——作者
( 接51卷第4期 )
图22 一辈子眼神不好的大神庞加莱
庞加莱(Henri Poincaré,1854—1912),法国数学家、物理学家、工程师、哲学家,数学界最后一个啥都懂的人(图22)。庞加莱以数学家、物理学家的身份闻名于世,其对相对论和量子力学的建立都有开创性的贡献,参见拙作《磅礴为一》。庞加莱的物理研究涉及各个领域,自然会关切黑体辐射的研究。庞加莱批评普朗克的理论缺失振子间交换能量的机制,为此他提出两个可能:其一为多普勒效应,不同运动速度的振子会发出不同的频率;其二,不同本征频率振子间的碰撞导致频率迁移。这个批评对黑体辐射研究意义不大。庞加莱对量子力学的重要贡献,是他于1912年证明了振子模型中能量量子化是得到普朗克黑体辐射公式(差个因子2。有解释说那时候还没有光子自旋的概念,但那时候早已有
的表示)的充分必要条件。庞加莱的这个工作,为自1900年普朗克用能量量子化假设,即一定频率的光其能量为hv的整数倍,得到黑体辐射后物理学家们理解(摆脱)量子概念的努力划上了句号。能量量子化是得到普朗克分布的充分条件很容易验证。实际上,普朗克一直在努力要证明能量量子化是没必要的,如果不是错的,甚至为此在1913年得到了零点能等重要概念(见上)。直到庞加莱的这个数学证明出来以后又过了一段时间,普朗克才消停,而不是如一般量子力学文献所述的那样,到了爱因斯坦1905年用能量量子化解释了光电效应的实验结果就消停了。庞加莱此一工作在众多的量子力学教科书中未见有提及。笔者再次重申,从理论严谨性的角度来看,庞加莱的这个论证是不可或缺的,否则能量量子化一直就是个让人,至少是普朗克本人,无法放心的假设。这个证明,是普朗克、爱因斯坦这种数学水平的人不可能完成的任务。从实用的角度来看,它是通往量子统计和固体量子论的桥梁,懂得这个道理后更加容易理解量子统计。爱因斯坦、艾伦菲斯特等人在庞加莱此项工作的基础上很快系统深化了固体量子论。爱因斯坦1917年闲来无事又考虑黑体辐射公式提出了受激辐射的概念,1924年见到玻色(Satyendra Nath Bose,1894—1974)的相空间量子化假设就得出了玻色—爱因斯坦统计和玻色—爱因斯坦凝聚,这是爱因斯坦令笔者崇拜不已的小细节。
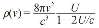
庞加莱在1911年开始思考一个问题,是否不引入量子不连续性也能得到普朗克公式[H. Poincaré,Sur la theorie de quanta(量子的理论),J. Phys. 2,5-34(1912)]?他发现结论是No. 庞加莱分析振子同原子运动之间的能量分配(partition)问题。振子的平均能量和辐射的能量密度关系是基于随机相位近似得到的。还是从玻尔兹曼分布开始,若相空间体积元为dV,则状态落在此部分里的概率为e-E/kTdV,这是统计的基本原则。换个表达,可以表示为能量间隔里的概率,dW=Ce-E/kTω(E)dE,其中按定义ω(E)=dV/dE,这是能量E所包含的相空间体积V关于能量之导数。庞加莱研究函数的性质。系统的平均能量为
;也就是说,平均能量和状态密度函数ω(E)是通过拉普拉斯变换联系起来的。对于经典振子,ω(E)=1,则有
。若振子的平均能量是
,则要求量子化的能量nε,n=0,1,2,3…。因为
意味着
,展开
,得到相应的状态密度函数ω(E)=δ(E)+δ(E-ε)+δ(E-2ε)+…。庞加莱的结论是,和平均能量
唯一兼容的权重函数就是ω(E)=δ(E)+δ(E-ε0)+δ(E-2ε0)+…,ε0=hv。普朗克量子化是普朗克分布公式的充分必要条件。这意思是说,某些分布函数只能是分立存在的结果。
按照上述理论,后来我们知道对应玻尔兹曼、费米—狄拉克和玻色—爱因斯坦三种分布的态密度函数ω(E)分别就是ω(E)=1;ω(E)=δ(E)+δ(E-ε),和ω(E)=δ(E)+δ(E-ε)+δ(E-2ε)+…。其实对于两态的系统,平均能量就是,这和它是不是遵循费米统计无关。这样看来,所谓的费米统计和玻色统计并没有本质上的差别。设想如果有某种我们认定的玻色子,被限制在了一个两能级体系中,那么它的行为也就是费米子。1917年,爱因斯坦得到两能级体系的能量密度与振子平均能量关系是
,将
代入,因为
,结果依然是普朗克分布!注意,x很大时,
;若x→0,
。后者对应瑞利—金斯分布的情形。
接受了能量为E的状态其出现的几率正比于e-E/kT的统计力学出发点,假设能量是量子化的,E=0,ε,2ε,3ε…,ε=hv,则平均能量为,得到普朗克公式是水到渠成的事儿。然而,这个公式里的n是从0开始的。能量为0的状态,是存在的状态吗?笔者学统计物理的时候,一直有这个疑惑。一个谐振子,能量等于0,那叫有振动?谢天谢地,我的这个疑惑不是因为就我个性别扭,原来艾伦菲斯特早就注意到了这个问题。这个问题的一个巧妙的解决是存在零点能,即大自然的(微观)谐振子能量不是nhv,而是(n+1/2)hv。大数统计规律要求从n=0算起,但n=0物理上不合理,于是有了零点能1/2。太神奇了吧?这个情节链,写小说的都不敢这么安排。物理学,比小说精彩。此外,关于普朗克谱分布公式的推导,都是关于一个固定的频率获得一个表达式的,但黑体辐射是关于频率变化的公式,频率是连续的变量!这里面有个概念的腾挪,你注意到了没有?这又是个大坑!
关于庞加莱的证明,有如下参考文献:
[1] J. D. Norton,The determination of theory by evidence:The case for quantum discontinuity 1900-1915,JSTOR 97,1-31(1993).
[2] F. E. Irons ,Poincaré’s 1911-12 proof of quantum discontinuity interpreted as applying to atoms,Am. J. Phys. 69(8),879-884(2001).
庞加莱对相对论和量子力学的贡献都是奠基性的、一锤定音式的。他对量子化条件作为黑体辐射公式的充分必要条件的一锤定音,其意义不下于强调洛伦兹变换要构成群对狭义相对论的意义。这一点,在物理文献中竟然长期被忽略了。能够率先自发地认识到这一点,笔者为自己感到骄傲。
图23 劳厄
劳厄(Max von Laue,1879—1960)和爱因斯坦同年,1914年因晶体的X-射线衍射获得诺贝尔物理奖(图23)。劳厄1899年在20岁上才开始上大学,先后上了斯特拉斯堡(现属法国)大学、哥廷恩大学、慕尼黑大学,1902年转入柏林大学,跟随普朗克学习,1906年就在索末菲手下获得了私俸讲师的资格。劳厄著述颇丰,主要在X-射线和相对论方面,就不在此一一罗列了。有一本关于物理学史的,Max von Laue, Geschichte der Physik, Universitätsverlag(1946),被翻译成了多种语言。
劳厄1915年发表了两篇关于黑体辐射的文章,Max von Laue, Die Einsteinschen Energieschwankungen(爱因斯坦的能量涨落),Verh. der Deutsch. Phys. Ges. 17, 237-245(1915);以及M. von Laue,Ein Satz der Wahrscheinlichkeitsrechnung und seine Anwendung auf die Strahlungstheorie(一个概率计算的定理及其在辐射理论上的应用),Annalender Physik(Series 4) 47,853-878(1915),爱因斯坦对后一篇论文的回复是在同一期杂志上发表的,见A. Einstein,Antwort auf eine Abhandlung M. von Laue: Ein Satz der Wahrscheinlichkeitsrechnung und seine Anwendung auf die Strahlungstheorie, Annalen der Physik (Series 4) 47,879-885(1915).
劳厄思考的问题是,表示自然辐射之振动的傅里叶级数的系数,统计上可以当作独立的存在对待吗?劳厄的结论是,从这个傅里叶展开的系数看,统计上需要的辐射无序,不可能是空间上无序的众多振子共同造成的。辐射的无序,源于单个振子之辐射的无序。笔者对这段内容看不懂,尤其是黑体辐射的爱因斯坦推导、相位相干的激光和黑体辐射的无序源于单个振子辐射的无序,这三个内容笔者一直无法在物理图像上加以调和。
傅里叶分析在托勒密的天文学中即已孕育成型。笔者以为对傅里叶分析之思想角度的认识还有提升的空间。劳厄的这个小插曲很重要。把傅里叶级数的系数当成统计独立的存在对待,爱因斯坦是认同的,是按照ja处理的。1925年,海森堡(Werner Heisenberg,1901—1976)为构造谱线强度也是把傅里叶系数当作独立对象对待的。这两篇文章要放到一起参详,并关注是否有后续的发展。容笔者有时间仔细研读后再补充。
图24 泡利,著名的物理学的鞭子
奥地利物理学家泡利(Wolfgang Pauli,1900—1958)是个天才型人物,以对量子力学的贡献和预言中微子而闻名,获1945年度诺贝尔物理学奖(图24)。泡利出生于维也纳,从大学入学到博士毕业在德国慕尼黑大学整整花了三年时间。泡利的物理基础非常好,熟悉热力学,Pauli lectures on physics 包含 thermodynamics and the kinetic theory of gases(卷3)以及Statistical mechanics(卷4),可资为证。泡利1921年博士毕业后去给马克思‧玻恩当助手,一年后去了哥本哈根。1923年这篇关于黑体辐射的论文就是年仅23岁的泡利在哥本哈根期间写的。
1923年是老量子力学已积累了足够多的内容、新量子力学马上要诞生的一年(Quantenmechanik一词出现于1924年)。爱因斯坦1916年的黑体辐射推导,是基于辐射场同分子能级上的电子跃迁之间的平衡。那么,对于根本没有内能级的对象,比如电子,同辐射场构成的体系呢?泡利要找到辐射与自由电子之间相互作用的量子版机理,使得麦克斯韦分布的电子同普朗克分布的辐射能处于平衡[Wolfgang Pauli, Über das thermische Gleichgewicht zwischen Strahlung und freien Elektronen(辐射与自由电子之间的热平衡),Zeitschrift für Physik 18,272-286(1923)]。爱因斯坦为原子体系(通过光吸收—发射)找到了如下的量子机理。吸收和受激辐射都是Erzwungene(被迫的)过程,平衡是自发辐射(体系自身的性质,几率由系数A描述)与受迫过程(吸收+受激辐射。体系在辐射场下的行为,双向的几率由系数B乘上ρ来描述)的竞争。只要,则辐射能量和物质体系的内能就是平衡的。爱因斯坦证明,如果认为转移了能量E的基本过程还伴随了动量的转移(方向随机),则物质系统的平动能也可以纳入这个模型。
如果辐射场里是电子这样的基本粒子,那里就没有自发辐射这回事儿了(没有内部自由度,自然就没有可见光能撬动的内部自由度),只需要考虑电子的平动能。采用康普顿和德拜的物理(X-射线与电子之间的散射),光有能量hv和动量hv/c,电子有动量和能量
。光场和电子散射的几率正比于dΩ=2πsinθdθ(这是三维空间的权重因子),正比于入射光的强度,这都没问题,还得有一个依赖于入射频率v和散射角的函数。汤姆森的理论是,这个因子为
,与频率无关。我们将看到,热平衡问题对这个比例因子没要求。如果过程v→v ′几率正比于谱密度ρv,结果平衡态时是维恩分布{有个疑问哈,这是因为散射过程是频率减小的过程?那反康普顿效应如何纳入,会带来什么样的影响呢?},而如果对与不同频率辐射的相互作用做个适当假设的话,就能得到普朗克分布。
电子和光子的动量四矢量各不相同,E2-(pc)2=m2c4,光对应上式m=0的情形。光、电子在散射前后,动量四矢量肯定都满足模平方是不变量啊。根据狭义相对论,找到一个Normalkoordinatensystem[正规坐标系,见Erwin Schrö-dinger,Dopplerprinzip und Bohrsche Frequenzbedingung(多普勒原理与玻尔的频率条件),Physikalische Zeitschrift 23,301-303(1922)],经过基本过程辐射频率和电子的速度都不变,也即在这个参照系内没发生射线与电子之间的能量交换。在接下来的相对论变换处理中,泡利巧妙地用到了一段时间里发生的基本过程数目应该是洛伦兹不变的,则单位时间内发生的基本过程数目同时间的变换是相反的。一通操作后泡利得到,那个几率权重函数的形式应该为,其中Φ是某个洛伦兹变换不变量,E,U分别是辐射和电子的能量。由于这个权重因子一般写为F=Aρv,而洛伦兹变换意义下ρv∝v3[Kurd von Mosengeil,Berl. Diss.,1906;Theorie der stationären Strahlungin einem gleichförmig bewegten Hohlraum(匀速运动空腔内静态辐射的理论),Annalen der Physik 22,867-904(1907)。详细讨论见下],故得
,其中Ψ是洛伦兹变换不变量。这个权重因子一般写为F=Aρv,这样的平衡条件下得到的是维恩分布。可以考虑给这个权重因子加一项,类比于经典的干涉起伏(Interferenzschwankungen),选择F=Aρv+Bρv2,发现不好使,而写成F=Aρv+Bρvρv1,就得到普朗克分布了。这个表达式的意思是,当辐射场中频率为v和v1的辐射都有时,过程v→v1更经常发生。{萨哈离化方程也有这个意思。终态的空,是物理过程的关键因素!此外,请注意扑克牌游戏也表明,一手牌如何出才算正确,不仅取决于手中还有的牌,也取决于已经出了的牌。}
到此时,笔者发现这些物理巨擘们总是通过添巴添巴点什么就能从维恩分布过渡到普朗克公式。维恩分布同普朗克分布之间的关系,绝不是什么经典与量子的关系。把物理分成什么经典的与量子的,应该是不懂物理的特征表现。普朗克分布在爱因斯坦模型里是受激辐射,是波动性,在泡利模型里是初态—终态关联,故而愚以为维恩分布某种意义上是考虑了一次项的结果,而普朗克分布还考虑了二次项修正,对应物理上的两态过程,这与量子不量子的无关。黑体辐射研究只是捎带着产生了量子理论。这修正了笔者关于这个问题的认识。庞加莱的量子化是得到普朗克黑体辐射谱分布公式的充分必要条件是关于振子型物理体系的结论。
顺便提一句,泡利问问题从来不给人留面子。据说一些对自己到底在干什么心里根本没底儿的所谓实验物理学家干脆以仪器坏了为由拒绝泡利参观实验室,也是机灵到极致了。
图25 玻色
印度人玻色是一个典型的polymath型的学者(图25)。玻色1913年大学毕业,1915年硕士毕业,据说总考第一,他的朋友萨哈(Meghnad Saha,1893—1956)总考第二。玻色和萨哈是亲密朋友,构成了一个研究联合体。{萨哈关于原子离化的公式与相空间、统计有关,这和玻色的学问极为接近。顺带说一句,爱因斯坦在伯尔尼时和朋友Conrad Habicht,Maurice Solovine组成了三人学习小组,自称奥林匹亚学园,Akademie Olympia13)}据说当年一个德国植物学家P. J. Bruhl来到了印度,随身携带大量的德语科学书籍。这位老兄原本计划到印度悠闲地多读几本书,结果发现印度太热,于是急忙逃离连书都不要了。萨哈和玻色两人因此得以熟读玻尔兹曼、普朗克、维恩等人的著作。此外,一个叫Debendra Mohan Bose的印度人1919年从德国回到印度,给玻色又带回了普朗克的书,这也就容易理解玻色为什么会研究黑体辐射问题了。玻色精通热力学和电磁学理论,从1916年起开始研究相对论,故非常熟悉爱因斯坦的工作。1918年,萨哈和玻色两人联手在英国的Philosophical Magazine杂志上发表了关于气体动力学的文章[Megh Nad Shaha, Satyendra Nath Basu14),On the influence of the finite volume of molecules on the equation of state, Philosophical Magazine 36, 199-202(1918)],算是初试牛刀。1919年的爱因斯坦因广义相对论而家喻户晓,玻色与萨哈两人努力把爱因斯坦的相对论德语表述翻译成英文。1921年,玻色开始教授热力学和麦克斯韦的电磁理论。据说是萨哈让玻色注意泡利和艾伦菲斯特等人新近推导普朗克分布的努力。1923年,玻色向Philosophical Magazine杂志投了一篇稿件,宣称统计力学方法即足以研究辐射—物质间的热平衡,与能量交换过程的具体机制无关。6个月后,玻色被拒稿。
1924年6月4日,玻色给爱因斯坦寄去一封德语信,信中写道:
我必须说,这是一封真诚的、礼貌周到的信函。爱因斯坦于7月2日回复了一张明信片,不长,照录如下:
亲爱的同事先生,我已将您的工作翻译了,并交给 Zeitschrift für Physik 杂志刊印。您的工作意味着一个重要的进展,我很喜欢。您对我本人的工作的挑剔我以为并不正确,因为维恩的位移公式不以波动理论为前提,也根本没用到玻尔的对应原理。当然了,这没关系。您首先用量子理论导出了(普朗克公式的)因子,尽管关于极化因子2的部分不那么严谨。这确实是一个漂亮的进展。
致以友好的问候,您的
阿尔伯特·爱因斯坦
我必须说,对爱因斯坦的这个回复,我不知道说啥好。
爱因斯坦接受了玻色的请求,把他的文章翻译成了德文。不知道玻色对爱因斯坦公式的挑剔是不是在英语原文中有更多体现。爱因斯坦在提交德语译文给杂志时还附上了一个便条,上写道:“我认为,玻色对普朗克公式的推导是一个重要的进展。这里用到的方法也能得到理想气体的量子理论。关于这一点,我会在别处展开(Boses Ableitung der Planckschen Formel bedeutet nach meiner Meinung einen wichtigen Fortschritt. Die hier benutzte Methode liefert auch die Quantentheorie des idealen Gases, wie ich an anderer Stelle ausführen will)。”
派斯在爱因斯坦传记中认为,玻色1924年的文章是老量子力学的第四篇也是最后一篇革命性文章,前三篇分别是Planck(1900),Einstein(1905)和Bohr(1913)那三篇。我比较认同这个说法。
在其1924年的第一篇关于黑体辐射的文章[S. N. Bose, Plancks Gesetz und Lightquantenhypothese(普朗克定律与光量子假说),Zeitschrift für Physik 26,178-181(1924).此为玻色人生里的第6篇论文]里,玻色指出普朗克推导中使用的量子论的前提与经典电动力学不符。所有的推导都使用了关系,其中E是作为振子的平均能量,还假设了以太自由度的数目,即公式右侧的第一项,其是从经典理论导出的。这是所有推导中令人不满意的地方,也因此人们试图找到一个克服这个逻辑缺陷的推导。在我看来,所有的推导逻辑上都不够坚挺,而我觉得量子假设加上统计物理就足以导出普朗克公式而无需再用到经典理论。
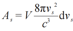
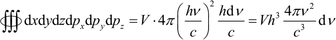
设总能量为E的辐射被限制在体积为V的物理空间里。。由Ns表征的分布,其概率应该在满足辅助能量条件的前提下取最大。这个概率的表示是我们要找寻的物理。辐射量子有动量hνs/c。这些量子们的状态由x,y,z和px,py,pz表征,且
。{经典物理混合着量子假设。请记住,色散关系,色散关系,色散关系!}相空间积分
,这意思是说,如果把相空间分成h3大小的小室15),则在频率v→v+dv之间的小室数目为
个。至于为什么这么分,这没啥可说的(In bezug auf die Art dieser Einteilung kann nichts Bestimmtes gesagt werden!)。为了计入存在偏振的事实,这个数改为
。玻色对爱因斯坦擅自加上这个因子2老大不高兴。
现在计算状态的热力学概率。在频率范围vs→vs+dvs内有Ns个量子。这Ns个量子在频率范围vs→vs+dvs内的小室中分布,记,设内中没有量子的小室数目为As0个,有一个量子的小室数目为As1个⋯,这就变成了在约束Ns=0·As0+1·As0+⋯之下去计算复合体数
,{再次强调一遍,即所谓的complexion,有时候就说是状态数。接下来玻尔兹曼1877年的旧手段就可以用了}当然还有As=As0+As1+⋯,写成
。系统的状态数为
。做变分,共有如下几项变分:(1)
,总能量E固定;(2)δNs=
;(3)
;和(4)
=0,这些是极值条件。由
解得;{后来统计物理中老出现的配分函数}进一步地,
,
。返回头,由E和S的表达式,
使用∂S/∂E=1/β,解得β=kT。{复述上述内容时对于有些标记我作了改动。看看人家在推导时,一点不受约束。玻色总是把当作大数处理,虽然
也可以为0,1,2这样的小数目。咱们敢吗?忽然想到,玻色被拒稿是不是也有点儿道理。}
玻色的推导简单明了,但它有三个新颖、激进的特征。(1)黑体辐射由0-质量,动量为hν/c(那时候关系p=hv/c才刚写出一年半)、能量为hv的类粒子光量子组成,它们被当作粒子进行排列组合;(2)没有涉及经典理论。所谓独立的、稳衡的振动模式数被粒子相空间的小室(数目)给替代了;(3)玻色的在小室中分配频率区间内量子数目的统计规律意味着粒子间存在一种新的统计相关。这种特征被称为粒子不可分辨性(全同性),只和计数方式有关。将相空间整数化,相较于普朗克的能量整数化,看似是个进步。其实,相空间量子化是几何的玩法,量子就是首先被黎曼在1859年作为几何对象引入的。物理几何化也是物理的后来发展方向。这些算是关于光的行为和统计的革命性看法。玻色的文章称辐射是无质量粒子。{光子,photon,这个名字1926年才出现}因为吸收和发射,热辐射作为粒子集合那就有粒子数不守恒问题。在这些认知下,用一种新的统计方式描述,得到了普朗克统计。
玻色对普朗克推导用到的ad hoc假设感到很困惑,{确实让人困惑。当年我一直也弄不清楚哪来的谐振子}。玻色认为需要一个新的和量子理论相洽的统计力学,把关于能量交换基本过程的机制的假设放弃,就能消除那些逻辑缺陷。普朗克公式里的因子8πv2dv/c3是单位体积内辐射量子态的总数。
玻色的第二篇文章依然是爱因斯坦翻译成德语发表的[S. N. Bose. Wärmegleichgewicht im Strahlungsfeld bei Anwesenheit von Materie(有物质在场时辐射场的热平衡),Zeitschrift für Physik 27, 384-393(1924)]。玻色指出,德拜从统计导出普朗克公式,不过还是用到了经典电动力学,那里普朗克公式里的因子是能量量子化了的振子的数目。可将
理解为6-维相空间中的量子,即基本区域(Elementargebiet),的数目。爱因斯坦利用的是辐射场同带(内禀)能级的原子之间的相互作用,而在1923年德拜、艾伦菲斯特和泡利等人的理论模型中出现的是辐射场同电子间的相互作用,由此也能导出普朗克公式(见上节)。爱因斯坦和艾伦菲斯特的多光子过程,是对自己和泡利工作的推广。泡利的关于正、反过程之概率表达可以推广为
玻色认为上述推导包含不必要的假设,物质在辐射场中的热平衡依然可以用统计的方法得到而不必涉及具体的能量交换机制。{这正体现统计的威力啊!}况且,体系状态的概率就是两者各自概率的乘积,所谓的平衡态就是整体体系的概率最大。若平衡时辐射场是普朗克分布,物质是麦克斯韦分布,那相应的统计关系是什么样的呢?
关于辐射,谱范围ν→ν+dν的量子数为Nνdν,相空间单元数为,则W=
。{此处有小错。这个表达式应为
。你敢拿微分表示做阶乘吗?你敢拿连续量作为连乘的指标吗?小数的阶乘你也敢用Maclaurin展开对付吗?反正玻色敢而我不敢,我学的数学误导了我}关于物质粒子,相空间也是分成小区域的。每一个小区域中有一个数g给出任意粒子处于其中的概率,{啥意思,为啥啊?}这个数g可以是各处相同的,则N个粒子在不同小室里分布的分布数是
,条件是当粒子满足麦克斯韦分布时这个分布数最大,
{原文误为E}.对于平衡时系统的分布数
,满足
和
,注意,玻色这里注意到了光量子数是不守恒的!光量子没有粒子数守恒问题。所谓平衡,则是粒子那边的状态的一上一下调整,以及光量子这边的一上一下调整的过程(散射),由此引起的W的变化应为零。条件是
,
。{当年的审稿估计不严,搁现在这篇乱糟糟的文章估计不好发表}这相当于德拜那里的条件。玻色接下来分析了爱因斯坦、泡利和爱因斯坦—艾伦菲斯特的模型,给出了具体的平衡条件。此处细节不赘述。
爱因斯坦对玻色的第二篇文章的评论是,“您的原理同如下两个条件不相容:(1)吸收系数独立于辐射密度;(2)辐射场中振子的行为应该作为极限情况从统计规律得到。”玻色不能接受这种观点。1925年两人在柏林相遇,爱因斯坦建议玻色考虑两件事:(1)新统计是否意味着光量子之间有新的相互作用?(2)在新量子理论中光量子统计和跃迁概率是怎样的?结果都没下文。
据Partha Ghose回忆,玻色有自己的构造量子论的方法,基于自发辐射和受激辐射之间的关联,拟作为其第三篇文章的主题。爱因斯坦是将自发辐射和受激辐射当作独立的过程处理的。玻色说他打算从新观点看待辐射场,把能量量子的传播同任何电磁影响分开来,而且如果量子论要想同广义相对论合拍的话,这种分离就是必要的。但是玻色关于黑体辐射的第三篇文章一直没有踪影。1924—1925年在法国和德国待了一段时间后,玻色从柏林回到印度,后来就没有研究成果了。
Ghose的回忆还提及,玻色晚年曾坦承他获得普朗克公式的因子是4πν2/c3而不是8πν2/c3。玻色认为这多余的因子2可能来自光子有一个单位的自旋,同自身的传播方向平行或者反平行。{这是螺旋性的概念吧。再说,photon的概念1926年才有的}玻色是用孟加拉语说的“那老头儿把这个给划掉了!”爱因斯坦简单地代之以这个因子2来自光的偏振。也许爱因斯坦以为没必要谈论光的自旋。而玻色认为,对一个粒子来说,偏振是什么意思啊?{愚以为,玻色的这个质疑是有道理的。可是对光这种动量空间的粒子来说,也许偏振是有意思的?我觉得今天所谓量子光学没有,也许是因为没有能力,面对这个问题。}
玻色在这两篇论文里的玩法,是爱因斯坦早已经玩得溜溜的了。因此,爱因斯坦看到玻色的论文愿意为他翻译,并且说他也要接着做些工作。爱因斯坦说到做到,1924年一篇,1925年两篇,且在第二篇论文中引入了凝聚(玻色—爱因斯坦凝聚)的概念。
关于玻色的工作,如下几篇文献可供参考:
[1] Kameshwar Wali, The man behind Bose statistics, Physics Today 59(10), 46-52(2006).
[2] Robert Bruce Lindsay and D. ter Haar, Men of physics: Lord Rayleigh-The Man and his work, Pergamon (1970).
[3] Mehra Jagdish, Golden age of theoretical physics, World Scientific (2001).
[4] Barry R. Masters, Satyendra Nath Bose and Bose-Einstein statistics, Optics and photonics news, 41-47, April 2013.
上述内容写好一段时间后我注意到了如下内容。波兰人纳坦松(Władysław Natanson,1864—1937)在1911年[W. Natanson,Über die statistische Theorie der Strahlung(辐射的统计理论),Physikalische Zeitschrift 12,659-666(1911)]指出,推导出普朗克公式的前提是能量量子的不可分性。P个能量量子(Energiequanten)在N个能量载体(Energiehalter)分配,可能组合数为。如果是可分的,就少P!项,{载体反正是不可分的?}结果就是玻尔兹曼分布。因此,有Natanson—Bose—Einstein统计的提法。然而,愚以为似乎不然。Bose—Einstein统计另有深意。关于粒子组合与统计,见Paul Ehrenfest, Heike Kamerlingh Onnes, Vereinfachte Ableitung der kombinatorischen Formel, welche der Planckschen Strahlungstheorie zugrunde liegt(作为普朗克辐射理论基础的组合公式的简化推导),Annalen der Physik 46,1021-1024(1915)。在这篇文章里,艾伦菲斯特指出,爱因斯坦处理他的光量子的方式是,P个相同的、完全分立的量子(gleichartige, voneinander losgelöste Quanten),当其所处空间的体积不可逆地从N1变到N2时,{用N表示体积,是不是容易看成是某个体积单元,Raumzellen,的倍数?}相应的熵变为S2-S1=klg(N2/N1)P。如果看作是P个量子分配入N个体积单元的问题,那相应的分配数之比为N2p∶N1p。如果是按照普朗克的处理,分配数之比应该是
。这两者在P是大数时相近似。如爱因斯坦那样计算熵来处理黑体辐射会得到维恩分布。
(未完待续)
注:
物理学史钩沉
《物理》在淘宝店和微店上线,扫码即可购买过刊和现刊。