![]()
2022年11月19日印尼疫情数据
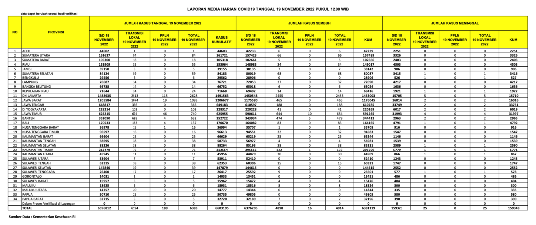
累计/新增确诊:6,603,195 (+6,383) 累计/新增治愈:6,381,119 (+4,914)检测人数:72,163,077 (+28,398)检测样本数:111,724,301 (+63,812)印尼泗水Elyon国际学校校长大卫本周五表示, 该校一名老师LD涉嫌于11月17日捏伤一名来自中国的小学一年级学生SD,导致他身上出现青紫瘀伤.据悉,LD要求中国小学生SD不要告诉他的母亲。大卫校长说,因为孩子是一名中国人,无法使用印尼语进行流利地交流,这很可能使老师情绪激动。“孩子不懂印尼语,也许就是这个原因。”大卫校长说。![]()
大卫校长表示,该老师已经被永久解雇,不再录用。大卫也要求学校不再出现同样的事件,以保护孩子能在国际学校健康成长。据罗盘报消息,一名中国船员吴先生在东加里曼丹的 Berau 水域受伤。东加里曼丹搜救队负责人可塔11月18日表示,搜救队收到一名船员发生工伤的消息,立刻赶赴现场,疏散了受伤的中国男子吴先生。![]()
目前,吴先生已经被送往巴厘巴板的医院接受治疗。可塔说,吴先生的身体状况良好,只有手臂受了轻伤。随着XBB变异病毒进入印尼,近日印尼每日新增病例超6千,印尼卫生部11月18日发布通函,要求医院为下一波新冠疫情做好准备。根据通函,印尼各医院需准备充足的药物和氧气,增加新冠患者病房以及重症监护室病床。此外,所有在ICU治疗的确诊患者必须通过全基因组测序,以监控变异病毒在印尼传播的情况。
许多中国在印尼的小伙伴,都曾在印尼科纳韦县搭船,还记得那边的船是怎样的吗?一起看看视频吧!2022年印尼假期安排
手机在印尼用不了?在印尼如何注册手机IMEI码?
本文为印尼鹰视野原创
转载请注明出处
投稿及应聘小编请后台联络