凡是搞计量经济的,都关注这个号了
邮箱:econometrics666@sina.cn
所有计量经济圈方法论丛的code程序, 宏微观数据库和各种软件都放在社群里.欢迎到计量经济圈社群交流访问.
这篇发表在China Economic Review的《内部劳动力市场的晋升:来自中国的新证据》做了一个类似于Baker et al.(1994)的研究,但文章之所以能够发表在于作者不断强调的数据优势,数据优势,数据优势(咱们计量社群在这方面也很强)。
2. Data, firm and its hierarchy
The personnel data we used came from a Chinese firm established in 1999 and listed on the NASDAQ since 2003, whose headquarters is in Shanghai. The firm is a leading provider of online services in China. Before the popularity of the Internet in China, the firm offered offline services and “online services” through telephones. As the Internet’s penetration in China started to rise rapidly from 10.5% in 2006 to 42.1% in 2012, as shown in Figure 1, where the fast-growing number of Internet users is mainly due to the burgeoning population of mobile Internet users, especially after 2009, the firm gradually changed its business model from telephones to various forms like Internet sites and mobile apps. To support the business model, four job categories have been established at this firm: administration, product, service, and technology. The administration includes human resources, accounting, legal matters, and investor relationships; the product category comprises jobs such as sales, product design, and marketing; the service category contains jobs in the booking service and customer service; and the technology category is the firm’s IT support. By the end of 2012, employees in these four job categories numbered over 20,000, located at branches in major cities throughout mainland China.
The dataset contains confidential personnel records of all employees who joined the firm between 1999 and 2012. It consists of three types of personnel information. First, employees’ characteristics, such as age, gender, education, entry date, and exit date. Second, detailed monthly wage records for each employee. Compared with wages in survey data used in previous studies, our data has several advantages. The most important is that our wage data are objective, without any measurement errors. The third type of personnel information describes job positions within the firm. In addition to employees’ entry-levels, job categories, and branches, our data provide information about any moves workers made across job categories, branches, and levels, including the exact dates of moves. Therefore, we can reconstruct the data to record employees’ job levels, categories, and branches at any point in time within the firm.
Compared with Baker et al. (1994), our dataset has several advantages. First is the timing of the variables. Unlike the year-end variables in Baker et al. (1994), we can observe the exact time that wages, job levels, and branches change, and more precisely calculate wage increases and decreases when employees move across levels and branches without assuming that “title changes, pay changes, and ratings occur simultaneously”. Second, we traced all employees hired since the firm’s establishment, which means that employees in our data include both management and the rank-and-file employees. In addition to promotions within management positions, as in Baker et al. (1994), we explore promotions within rank-and-file positions and from rank-and-file positions to management positions. In particular, we show whether a career exists for those rank-and-file employees within the firm and whether the channel between rank-and-file employees and managers is open. Third is detailed information on branches. Using the information on where employees are employed, we can document many facts that cannot be illustrated in existing research. For instance, are promotions predominantly within the branch, or are promotions between branches also common? Is the growth mainly due to increases in the number of branches that “copy and paste” the structure of existing branches, or are existing branches also expanding?
Although we make improvement on the data and explore some new facts on promotions within the internal labor market, we cannot deny that this paper is similar to a case study in Baker et al. (1994). On the one hand, in our study, we can take advantage of the comprehensiveness of our data to explore the internal labor market more deeply and to give a Chinese example of studies in the internal economics. On the other hand, the representativeness of this paper’s results is in question. The firm we studied is a special case because it is a Chinese firm monitored by the U.S. stock market. Moreover, it is the largest online service agency in China, and its assets, employees, and profitability have developed dramatically over the past 10 years. All of these facts might make the background of this study irreproducible, which would make its results meaningless for probing the general principles of personnel economics. However, from another point of view, compared with other related literature (Baker et al., 1994; Rei, 2014; Paulin and Mellor, 1996; Acosta, 2004, 2010), empirical evidence from a fast-growing, immature-to-mature, Chinese case will show an extreme example and contribute a meaningful piece to the whole picture of internal labor markets. Furthermore, besides new findings, we do observe similar patterns as in the existing literature, such as the simplicity of promotions, and the convex relationship between wage and job levels. Thus, our special case study has its value in the generalizability of principles in the internal labor market.
Before discussing the research questions of this paper, we would like to describe the firm and its hierarchy briefly, to show the internal labor market employees have faced and give a background introduction regarding promotions.
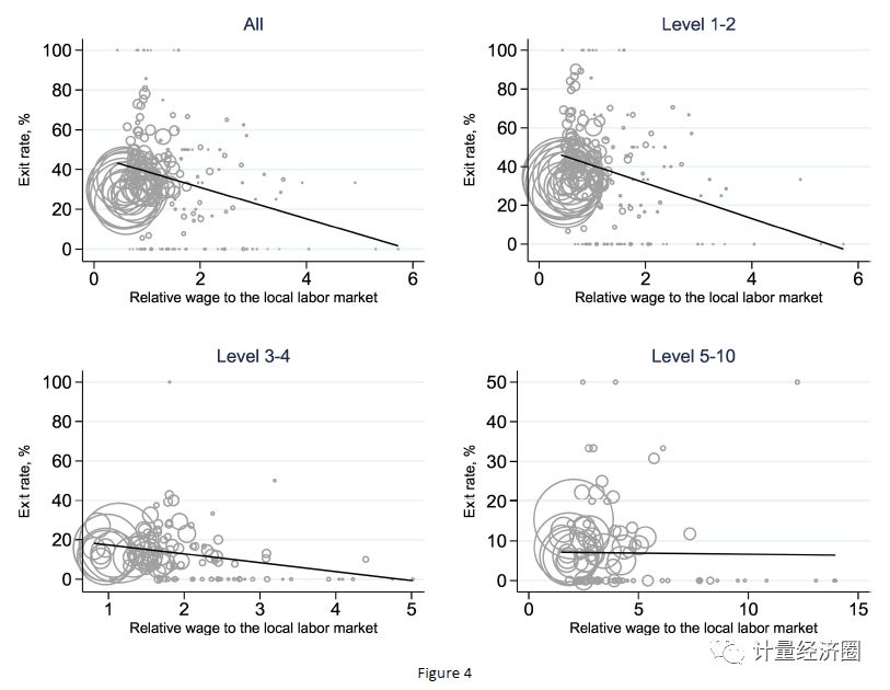
下面这些图可以很好了解携程网及其内部雇员情况。
文章链接:
https://www.sciencedirect.com/science/article/pii/S1043951X19300938#!
下面这些短链接文章属于合集,可以收藏起来阅读,不然以后都找不到了。
2年,计量经济圈公众号近1000篇文章,
Econometrics Circle
数据系列:空间矩阵 | 工企数据 | PM2.5 | 市场化指数 | CO2数据 | 夜间灯光 | 官员方言 | 微观数据 |
计量系列:匹配方法 | 内生性 | 工具变量 | DID | 面板数据 | 常用TOOL | 中介调节 | 时间序列 | RDD断点 | 合成控制 |
数据处理:Stata | R | Python | 缺失值 | CHIP/ CHNS/CHARLS/CFPS/CGSS等 |
干货系列:能源环境 | 效率研究 | 空间计量 | 国际经贸 | 计量软件 | 商科研究 | 机器学习 | SSCI | CSSCI | SSCI查询 |
计量经济圈组织了一个计量社群,有如下特征:热情互助最多、前沿趋势最多、社科资料最多、社科数据最多、科研牛人最多、海外名校最多。因此,建议积极进取和有强烈研习激情的中青年学者到社群交流探讨,始终坚信优秀是通过感染优秀而互相成就彼此的。
Go to "Discover" > "Top Stories" > "Wow"