Weixin ID econometrics666
About Feature 凡是搞计量经济的,都关注这个号了。
凡是搞计量经济的,都关注这个号了
稿件:econometrics666@126.com
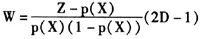
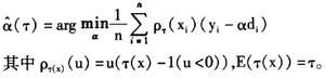
正文
Source: 中国社会科学网
2.5年,计量经济圈近1000篇不重类计量文章,
可直接在公众号菜单栏搜索任何计量相关问题,
Econometrics Circle
Go to "Discover" > "Top Stories" > "Wow"
Posted
Sending
Scan to Follow
Go to "Discover" > "Top Stories" > "Wow"