中国第一代字体设计师徐学成先生于 2019 年 11 月 1 日清晨 5 时 45 分过世,享年 91 岁。
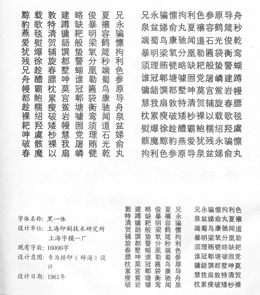
徐学成 1928 年(民国 17 年)出生于江苏武进,1954 年毕业于华东艺专美术系,先后在上海新知识出版社、上海人民出版社从事书籍装帧工作。1960 年,徐学成调入刚刚成立的上海印刷技术研究所字体研究室,成为中国第一代职业字体设计师。在印研所,他参与了简化字的笔形设计规范工作,与周今才一起主持了黑一、黑二体的设计,主导了宋黑体、宋七体等的设计。在外部信息匮乏的环境下,他与同事们从零开始,摸索出了中国最早的字体设计流程与方法论。
— 1963 年在印研所与同事合影。左起:陈其瑞、张家声、过祖良、陈永海、许柏康、徐学成。
— 宋七字稿(未投产)
作为中文字体设计发展的亲历者与实践者,徐学成见证了从金属活字印刷到照相制版、再到电脑造字的技术发展历程。他主持了蒙纳激光照排系统的 5 款中文字稿重修工作,以及点阵字研究课题的字稿设计。他在改革开放初期就参与国际交流和竞赛,退休后为海内外的各家机构提供服务,也多次担任国内字体设计大赛的评委。2010 年,他被授予上海非物质文化遗产项目《汉字印刷字体书写技艺》代表性传承人的称号。
— 1987 年获森泽字体大赛优秀奖,在人民大会堂参加颁奖仪式(右一)
— 1987 年赴日本交流(中)
— 2004 年在第二届北大方正字体设计大赛中审阅作品
— 徐学成编写的美术字书籍
数年来,上海活字(Shanghai Type)研究项目一直有幸得到徐老的支持。通过他的口述、文字记录和留存的稿件,我们还原了更多中文字体设计历史的细节,也了解了他更多的经历。
The Type 团队原在协助上海活字项目筹备徐老的字体设计回顾展和长期的在线数字档案,并重新正式出版《徐学成文集》。但遗憾的是资料整理还在进行中,没能在徐老生前完成这件具有意义的事。我们将在日后公布相关计划,敬请关注。
https://thetype.com
微信公众号「The Type」。您亦可选择在微博、Twitter 或 Facebook 上关注我们。
订阅我们的会员计划:https://thetype.com/members
Go to "Discover" > "Top Stories" > "Wow"