外媒:中国实现世界首次洲际量子通信 | 绝对高科技,围观神秘的量子通信技术

2017-10-02 战略前沿技术 战略前沿技术

来源:参考消息网、 传感器技术(ID:WW_CGQJS)


外媒:中国实现世界首次洲际量子通信

参考消息网10月1日报道 外媒称,借助“墨子号”量子通信卫星,中国与奥地利的科学家首次实现洲际量子保密视频通话。

据俄新社9月29日报道,中国科学院的科学家们说:“在“墨子号”卫星发射后的一年里,我们在构建‘量子网络’之路上迈出了三大步。我们成功地实现了从卫星到地面1200公里距离的量子密钥分发、从地面到卫星的量子隐形传态,以及进行量子保密视频通话的第一组实验。得益于此,我们将通信质量提高到光纤通信的20倍。”

报道称,量子纠缠现象是当代量子技术的基础。这种现象在量子通信系统中发挥着重要作用。由于量子态的不可复制性,量子通信系统保证了信息的不可窃听和不可破解。如今欧洲、中国和美国都在积极研发量子通信系统。

近年来,俄罗斯科学家及国外同行建造了数十个量子通信系统,能在200-300公里的距离内交换信息。将这些系统拓展至跨国和洲际规模的尝试遇到了难以逾越的阻碍,因为光纤传输的光子损耗率太高。

报道称,出于这个原因,很多研究团队开始考虑将量子通信系统搬到太空,借助卫星修复或强化纠缠态光子之间“看不见的联系”。首颗量子通信卫星已经在轨道上运作,它就是中国于2016年8月发射的“墨子号”卫星。

中科院称,“墨子号”第一次用于实际通信。中科院院长白春礼与奥地利科学院院长安东·蔡林格进行了世界首次洲际量子保密视频通话。

报道称,这次通话使用的量子密钥先通过“京沪干线”北京控制中心与“墨子号”卫星河北兴隆地面站连接,然后通过“墨子号”进入奥地利地面站。“京沪干线”是一条连接北京、上海并贯穿济南和合肥的量子通信骨干网络。拥有量子通信地面站的维也纳和格拉茨之间也有类似的网络。这些网络和“墨子号”帮助在北京和维也纳之间建立了连接,从而实现两位科学家的量子保密视频通话。

中科院表示,中国科学家在不远的将来会携手俄罗斯、新加坡、意大利和德国的同行进行类似实验。

另据英国《独立报》网站9月29日报道,奥地利和中国的科学家进行了全球首次使用量子技术加密的洲际视频通话。

中国科学院发布的一份新闻稿称:“私密及安全的通信是人类的基本需要。特别是在互联网使用呈几何级数增长的情况下,建立一个对数据进行全球性保护的安全网络至关重要。”

新闻稿称:“传统公钥加密通常依赖特定数学函数的求解难度。相比之下,量子密钥分发采用处于叠加态的单个光量子(单个光子)来确保相互远离的各方之间的无条件安全性。”

中科院称,技术原因此前将这种通话限制在数百公里的距离内,但该院发现了“该问题的一个有前景的解决方案”,方案涉及一颗“被命名为‘墨子号’的先进卫星”。

报道称,这颗卫星配有一个诱骗态量子密钥分发光源、一个量子纠缠源以及量子隐形传态接收和分析装置。此外,中方还在西藏等地建造了5个地面站。

中科院称,目前正对这种加密通信系统进行测试,以便“政府、银行、证券和保险企业能在现实中加以运用”。

中国与奥地利的洲际量子保密通信示意图


绝对高科技,围观神秘的量子通信技术


量子通信是近二十年发展起来的新型交叉学科,是量子论和信息论相结合的新的研究领域。其带来的高效安全的信息传输日益受到人们的关注,并且基于量子力学的基本原理,并因此成为国际上量子物理和信息科学的研究热点。

去年8月16日,世界首颗量子科学实验卫星“墨子号”发射升空,不到一年的时间,就完成了原定两年的星地高速量子密钥分发、量子纠缠分发和地星量子隐形传态实验三大科学目标。

 

中国科学技术大学的研究团队,利用“墨子号”量子科学实验卫星,在国际上首次成功实现了从卫星到地面的量子密钥分发和从地面到卫星的量子隐形传态。

量子通信又称量子隐形传送是指一种无影无踪的传送过程。量子通信是由量子态携带信息的通信方式,它利用光子等基本粒子的量子纠缠原理实现保密通信过程。量子通信是一种全新通信方式,它传输的不再是经典信息而是量子态携带的量子信息,是未来量子通信网络的核心要素。

 

按照常理,信息的传播需要载体,而量子通信是不需要载体的信息传递。从物理学角度,可以这样来想象隐形传送的过程:先提取原物的所有信息,然后将这些信息传送到接收地点,接收者依据这些信息,选取与构成原物完全相同的基本单元(如:原子),制造出原物完美的复制品。

量子隐形传送所传输的是量子信息,它是量子通信最基本的过程。人们基于这个过程提出了实现量子因特网的构想。量子因特网是用量子通道来联络许多量子处理器,它可以同时实现量子信息的传输和处理。相比于经典因特网,量子因特网具有安全保密特性,可实现多端的分布计算,有效地降低通信复杂度等一系列优点。

 

而量子密码技术是量子通信的一个重要部分。量子密码技术与传统的密码系统不同,它依赖于物理学作为安全模式的关键方面而不是数学。实质上,量子密码术是基于单个光子的应用和它们固有的量子属性开发的不可破解的密码系统,因为在不干扰系统的情况下无法测定该系统的量子状态。同时量子加密术在公共的键值密码术中又是连接键值交换的一种相对较容易方便的方式。

 

量子通信涉及的领域主要有:量子密码通信、量子远程传态和量子密集编码等。

 

量子通信的起源及发展


最早想到将量子物理用于密码术的是美国科学家威斯纳。他于1970年提出,可利用单量子态制造不可伪造的“电子钞票”。但这个设想的实现需要长时间保存单量子态,不太现实,并没有被人们接受,但他的研究成果开创了量子密码的先河。

 

美国的科学家贝内特和加拿大的科学家布莱萨德于1984年第一次提出利用量子比特作为信息载体,通信双方先产生并安全分配量子密钥,然后用分配好的密钥,以"一次一密"方式实现安全通信。这就是著名的BB84协议。

 

1991年,英国牛津大学的Ekert提出了一种新的量子密钥分发方案。这种方案是通过量子的纠缠态实现的。其安全性由贝尔不等式来判断。

 

1992年贝内特对他提出BB-84方案进行了修改,提出了只用两个非正交态来实现但是效率减半的方案一B92协议,不可克隆定理为B92协议的安全性提供了保证。

 

1993年英国国防研究部在光纤中用相位编码的方法实现了 BB84-QKD方案,光纤传输长度达到了 10公里。等到1995年,在光纤中的传输距离巳经达到了30公里。

 

1993年,美国科学家贝内特等6位科学家,提出了一种用纯量子的方法将一个粒子的量子态转移的另一个粒子上的办法,即量子的隐形传态)技术。这种方法可以克服了量子信道对量子态的影响,保障了量子信息的安全性。

 

奥地利的安东,泽林格小组,于1997年,在实验室第一次以实验的形式实现了量子态隐形传输技术。等到2004年,该小组已经把量子隐形传态的距离提高到了 600米。

 

2002年,德国和英国研究机构成功利用激光在相距23. 4km的两座山峰之间传输光子密钥,证实了通过近地卫星传送量子密钥的可能性。

 

2004年,美国BNN公司在马萨诸塞州剑桥城建立了世界首个量子密码通信网络并投人运行。

 

2004年,中国科学技术大学的潘建伟小组在国际上率先实现了五粒子纠缠态的制备,并利用五光子纠缠源成功地完成了的量子态隐形传输,首次实现了实时语音量子保密通信。使得在城市范围的建立量子安全通信网络的设想成为现实。同年,郭光灿研究小组成功实现125km光纤点对点的量子密钥分配。

 

2007年,潘建伟小组在世界上首次实现了超过100千米的光纤量子通信实验。

 

2008年,欧盟组建的7节点保密通信演示验证网络试运行成功。

 

2009年,潘建伟小组实现基于光开关的主动式线路切换技术,在合肥建成世界首个可自由扩充的全同型量子通信网络,并利用超导单光子探策器将安全通信距离提高到200千米。

 

2011年在我国举办的"十一五"重大科技成果展上,有两项重要研究成果激起了人们对量子通信技术的兴趣与关注。它们分别是"实验实现16公里自由空间量子隐形传态"和"光量子信息网"。

 

2012年8月9日的Nature上刊登了中国科学技术大学潘建伟、彭承志等人对量子态隐形传输的最新研究成果,他们在青海湖首次成功实现了百公里级的自由空间量子态隐形传输和双向纠缠分发。


量子通信基本理论


量子信息中引入了“量子比特”的概念,在量子信息理论中,量子信息的基本单位是量子比特,。从物理学上说,量子比特就是量子态,具有量子态的属性,因此有很多不同于经典比特的特征。量子比特目前还没有一个明确的定义,其描述是要根据具体的物理特性来描述的。

现有的经典信息以比特作为信息单元,从物理角度讲,比特是一个两态系统,它可以制备为两个可识别状态中的一个,如是或非,真或假,0 或1。电容器平板之间的电压可表示信息比特,,有电荷代表1,无电荷代表0。 

 

量子比特,是两个逻辑态的叠加。经典比特可以看成量子比特的特例(c0 = 0或c1 =0)。

 

量子态来表示信息是量子信息的出发点,有关信息的所有问题都必须采用量子力学理论来处理,信息的演变遵从薛定谔方程,信息传输就是量子态在量子通道中的传送,信息处理(计算) 是量子态的幺正变换,信息提取便是对量子系统实行量子测量。

一个量子比特是一个双态量子系统,即两个线性独立的态,常记为:|0>和 |1>。以这两个独立态为基矢,张成一个二维复矢量空间,即二维Hilbert空间。其任意态矢Iψ>为一个二进制基本量子比特,以|0>和|1>为二维Hilbert空间的基矢。

 

在实验中,任何两态的量子系统都可以用来制备量子比特,作为量子态的载体,常见的有:光子的正交偏振态、电子或原子核的自旋、原子或量子点的能级、任何量子系统的空间模式等。

 

信息一旦量子化,量子力学的特性便成为量子信息的物理基础,其主要的有:

 

  • 1、量子纠缠:N (大于1) 个量子比特可以处于量子纠缠态,子系统的局域状态不是相互独立的,对于一个子系统的测量会获取另外子系统的状态。


  • 2、量子不可克隆:量子力学的线性特性禁止对任意量子态实行精确的复制,量子不可克隆定理和不确定性原理构成量子密码术的物理基础。


  • 3、量子叠加性和相干性:量子比特可以处在两个本征态的叠加态上,在对量子比特的操作过程中,两态的叠加振幅可以互相干涉,这就是所谓的量子相干性。

 

量子通信的基本原理


将信息的所有问题都用量子力学的理论来处理:信息传输就是量子态在量子通道中的传送,信息处理是量子态的幺正变换,信息提取便是对量子系统实行量子测量。

 

量子隐形传态即用量子态作为信息载体,通过量子态传送完成大容量信息的传输,是一种脱离实物的 “完全”的信息传送,能够实现原则上的完全保密。量子隐形传态和密集编码是量子通信中比较典型的两种方式,,前者利用经典辅助的方法传送未知的量子态,而后者则是利用量子信道传送用经典比特表示的信息。

在科幻电影中,常常出现这样的场景:一个神秘的人物在某处突然消失,而后却在异地莫名其妙地显现出来。隐形传送(teleportation)一词即来源于此。遗憾的是,在经典通信中,,这种实现隐形传送的方法违背了量子力学的基本原理之一——不确定关系。因此长期以来,这只不过是一种科学幻想而已。

 

然而量子通信除了推广经典信息中的信源与信道等概念外,还引入了其特有的量子纠缠(quantum entanglement),创造了量子隐形传态这样一个经典通信中不可思议的奇迹。


1993年Bennett等六位科学家提出将未知量子态的信息分为经典信息和量子信息两部分,分别由经典信道和量子信道传送给接受者。经典信息是发送者对原物进行某种测量所获得,量子信息是发送者在测量中未提取的其余信息。

如图所示,假设发送者Alice欲将粒子1所处的未知量子态传送给接收者Bob,在此之前,两者之间共享由 Einstein ,Podolsky,Rosen提出的处于最大纠缠态的两个粒子组成的对。


Alice对粒子1和她拥有的EPR粒子2实施Bell基联合测量(BS),测量的结果将出现在四种可能的量子态当中的任意一个,其几率为1/4,对应于Alice不同的测量结果,Bob的粒子3坍缩到相应的量子态上。因此,当Alice经由经典通道将她的探测结果告Bob之后,他就可以选择适当的幺正变换U粒子3制备到精确复制态上。

量子隐形传态的特点是仅仅是量子态被传送,但粒子3本身不被传送。而在Alice测量之后,初态已被破坏,因此这个过程不是量子克隆。

 

近年来人们又将注意力转向传送一个未知的纠缠态,就此提出了一些理论方案。

 

在量子隐形传态中,实现了经典信息对量子信息的传输。那么,我们是否可以利用量子信道来传送经典信息呢?

 

假设Alice和Bob共享处于纠缠态的一对粒子,从而建立量子通道。Alice 在四种可能的幺正变换中任选一种对其纠缠粒子A进行操作,这种作用实际上是将两个比特的经典信息进行编码。其后,Alice将粒子A发送给Bob,Bob通过对两个粒子进行Bell基联合测量,即可确认Alice所做的变换,从而获得2个比特的信息,,也就是说,仅仅通过传送一个粒子便能成功地传送2个比特的经典信息。这就是所谓的“密集编码”。

 

量子通信系统的组成


量子通信系统的基本部件包括量子态发生器、量子通道和量子测量装置。

 

该模型包括量子信源、编码器(量子态发生器)、信道(量子通道)、解码器(量子测量装置)和量子信宿几个主要部分。


当中:量子信源是消息产生器;量子信宿是消息的接受者;量子编码器用于把消息变换成量子比特,用量子态作为消息的载体以传输量子信息;量子译码器用于把量子信息比特转换成消息;


信道包括量子传输信道和辅助信道两个部分:量子传输信道就是传输量子信号的通道,辅助信道是指除了传输信道和测量信道外的其他附加信道,如经典信道,图中虚线表示。在量子信道可以单独使用,也可以与经典信道结合起来传输量子信息和经典信息;量子噪声是环境对量子信号影响的等效描述。

在量子通信中,运算对象是量子比特序列,它们不但可以处于各种正交态的叠加态上,而且还可以处于纠缠态上,在基于纠缠光源的量子通信技术中,信息的载体是纠缠光子对,利用纠缠光子对的光子状态相互关联来实现量子通信。


量子密钥的基本原理

广泛用于网络金融行业的保密通信系统是一种所谓的RSA公钥体系,它的安全性基于大数因式分解这样一类不易计算的单向函数,其原理如图4-1所示。数学上虽然没有严格证明这种密钥不可破译,但现有的经典计算机几乎无法完成这种运算。


Short算法证明,采用量子计算机可以轻而易举地破译这种公钥体系。也就是说,一旦量子计算领域获得重大突破,它所具有的特殊性能,将使现在的公钥体系彻底地“无密可保”。

另一方面,量子通信是目前科学界公认的惟一能实现绝对安全的通信方式,它利用量子力学的测不准原理和量子不可克隆定理,通过公开信道建立密钥,当事人之外的第三方根本不可能破解其密码。其最终目标是解决通信的绝对安全等经典通信所存在的一系列根本性问题。


目前,量子密码术的研究引起了人们的广泛兴趣,在理论和实验方面均取得了重要进展。

 

目前,量子密码的方案主要有以下几种:

 

1、基于两种共轭基的四态方案,其代表为BB84协议。

 

2、基于两个非正交的两态方案,如BB92协议。

 

3、基于量子纠缠的EPR粒子对方案,称为E91协议。

 

3、基于正交态的密钥分配方案,其基础为正交态的不可克隆定理。

 

近年来,人们开始寻求一种严格证明量子密钥分配(QKD)的安全性的方法,起初的几种证明方法都不尽如人意,甚至需要用到量子计算机。2000年, Preskill提出了一种简单的方案,巧妙地将纠缠纯化方案和量子纠错码(CSS码)结合起来,严格地证明了BB84方案的安全性。

 

量子密钥分配的第一个演示性实验由Bennett等人完成。随后,美国洛斯阿拉莫斯国家实验室,,创造了目前光纤中量子密码通信距离的新纪录。他们通过先进的电子手段,以B92方案成功地在长达48km的地下光缆中传送量子密钥 。自由空间中的QKD也不断地取得突破,现在达到的传输距离为115km。

 

在上述方案中,量子密钥是在两点之间传输、建立的,因而都是点对点的传输系统。密钥分配想要实用化,就必须在网络中得以实现,能够进行一点对多点或者任意两点之间的密钥传递。

 

网络密钥传输有树状、环状、链式等多种结构,这里就其中树状结构网络做简要介绍。

 

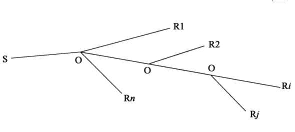
树状结构网络可以用下面的示意图简单表示,其中S是发送端,而R1 是其中的一个接收端,O代表光纤分束器。尽管树状网中有很多接收端,但是由于量子密钥中的载体一般情况下都是单粒子态,因而他们既不能被分流也不能被克隆。


从发送端S发送的一个单粒子只能被其中的一个接收端接收,这相当于发送者S与这个接收端之间经历了一个点对点的密钥分配系统。因此,在一系列的数据传输完成之后,各个单粒子态分别随机地被某个接受端接收,最终的效果相当于发送者S与n个接收者之间分别建立一套点对点的密钥传输系统,分别建立和分配了一组密钥序列。建立的方式可以是现存方法中的任何一种。

关于量子保密通信,依然存在很多问题需要解决,其中包括量子秘密共享、网络量子密码、身份认证、数字签名,以及最近提出的量子指纹等。这些方案的优越性在理论上已经得到证实。

 

量子密钥通信系统组成


量子密钥通信系统包括量子信源、信道和量子信宿三个主要部分,其中信道包括量子传输信道、量子测量信道和辅助信道三个部分。图中的密钥信道是通信者之间最终将获得的密钥对应的信道,是量子密钥分配协议的最终目标,该信道不是量子密钥分发过程中的组成部分,图中用虚线表示。辅助信道是指除了传输信道和测量信道外的其它附加信道,如经典信道,图中用虚线表示。

通信中信宿收到的首先是消息,信息不等于消息,但包含在消息之中,因此,信息的特性常常通过消息来研究。一般来说,信源就是信息的来源,不同的信源发出的消息不同。


若信源输出的是量子信号,这种信源称为量子信源。对一个信源的认识通常需要对该信源的数学描述、信源的结构与性质以及信源编码等几个方面有清晰的了解。


在量子信源方面对这些问题的理解和研究还不深入,很多问题有待进一步研究。参照经典信息理论,量子信源可定义为输出特定量子符号(消息)集的量子系综。


显然,一旦指定量子符号集,量子信源具有确定的数学结构,因而可以用一个确定的数学方式描述量子信源。需要指出的是,量子信源不等于量子系综,因为量子系综包含了更多的物理属性,而量子信源只是量子系综物理属性的一个方面。

 

信道是量子密钥分配协议的重要部分。信道部分包括量子传输信道、测量信道和辅助信道三个部分。


所谓量子传输信道就是量子信号的实际传输路线。量子传输信道与经典信道类似,信道属性依赖于信道的输入和输出以及描述输入和输出之间关系的条件概率,因此,量子传输信道的数学描述形式与经典传输信道的数学描述一样。


但是,量子传输信道不同于经典传输信道,因为量子传输信道的特性受到量子物理学的约束,即信道受发射信号的量子物理特性的强烈约束,这是由量子物理中不同于经典物理的特性所导致的。


量子通信的特点


量子通信与传统通信技术相比,具有如下主要特点和优势:

 

1、具有极高的安全性和保密性,根据量子不可克隆定理,量子信息一经检测就会产生不可还原的改变,如果量子信息在传输中途被窃取,接收者必定能发现,量子通信没有电磁辐射,第三方无法进行无线监听或探测;

2、时效性高传输速度快,量子通信的线路时延近乎为零,量子信道的信息效率相对于经典信道量子的信息效率高几十倍,并且量子信息传递的过程没有障碍,传输速度快;

 

3、抗干扰性能强,量子通信中的信息传输不通过传统信道,与通信双方之间的传播媒介无关,不受空间环境的影响,具有完好的抗干扰性能,同等条件下,获得可靠通信所需的信噪比比传统通信手段低30~40dB;

 

4、传输能力强,量子通信与传播媒介无关,传输不会被任何障碍阻隔,量子隐形传态通信还能穿越大气层,既可在太空中通信,又可在海底通信,还可在光纤等介质中通信。

 

量子通信技术展望


作为信息传输安全的解决方案,量子通信成为各国重点攻关的方向,而我国在这一领域也处于世界领先地位。国信证券研究报告称,国内已准备将量子通信进行商用。量子通信可能成为继高铁、核电外又一张国家“名片”。

 

目前,量子通信的基本理论和和框架已经形成,在单光子、量子探测、量子存储等量子通信关键技术获得发展和突破条件下,各种理论体系正日趋完善,量子通信技术已经从科研阶段逐步进入试点应用阶段;量子通信的绝对保密性也决定了其在军事、国防、金融等领域有着广阔的应用前景,随着技术日趋完善和成熟,在未来的大众商业市场中,量子通信将具有极大的应用潜力。

关于“量子信息技术”的文章,请点击以下链接查阅:

一网打尽系列文章,请回复以下关键词查看:

创新发展习近平 | 创新中国 | 创新创业 | 科技体制改革 | 科技创新政策 | 协同创新 | 成果转化 | 新科技革命 | 基础研究 | 产学研 | 供给侧

热点专题军民融合 | 民参军 | 工业4.0 | 商业航天 | 智库 | 国家重点研发计划 | 基金 | 装备采办 | 博士 | 摩尔定律 | 诺贝尔奖 | 国家实验室 | 国防工业 | 十三五 | 创新教育 | 军工百强 | 试验鉴定 | 影响因子 | 双一流 | 净评估

预见未来预见2016 | 预见2020 | 预见2025 | 预见2030 | 预见2035 | 预见2045 | 预见2050 |

前沿科技颠覆性技术 | 生物 | 仿生 | 脑科学 | 精准医学 | 基因 |  基因编辑 | 虚拟现实 | 增强现实 | 纳米 | 人工智能 |  机器人 | 3D打印 | 4D打印 | 太赫兹 | 云计算 | 物联网 | 互联网+ | 大数据 | 石墨烯 | 能源 | 电池 | 量子  | 超材料 | 超级计算机 | 卫星 | 北斗 | 智能制造 | 不依赖GPS导航 | 通信 | MIT技术评论 | 航空发动机 | 可穿戴 | 氮化镓 | 隐身 | 半导体 | 脑机接口

先进武器中国武器 | 无人机 | 轰炸机 | 预警机 | 运输机 | 战斗机 | 六代机 |  网络武器 | 激光武器 | 电磁炮 | 高超声速武器 | 反无人机 | 防空反导 | 潜航器 |

未来战争未来战争 | 抵消战略 | 水下战 | 网络空间战 | 分布式杀伤 | 无人机蜂群 | 太空站 |反卫星

领先国家俄罗斯 | 英国 | 日本 | 以色列 | 印度 

前沿机构战略能力办公室 | DARPA | Gartner | 硅谷 | 谷歌 | 华为 | 俄先期研究基金会 | 军工百强

前沿人物钱学森 | 马斯克 | 凯文凯利 | 任正非 | 马云 | 奥巴马 | 特朗普

专家专黄志澄 | 许得君 | 施一公 | 王喜文 | 贺飞 | 李萍 | 刘锋 | 王煜全 | 易本胜 | 李德毅 | 游光荣 | 刘亚威 | 赵文银 | 廖孟豪 | 谭铁牛 | 于川信 | 邬贺铨 |

全文收录2016文章全收录 | 2015文章全收录 | 2014文章全收录 

其他主题系列陆续整理中,敬请期待…… 

“远望智库”聚焦前沿科技领域,着眼科技未来发展,围绕军民融合、科技创新、管理创新、科技安全、知识产权等主题,开展情报挖掘、发展战略研究、规划论证、评估评价、项目筛选,以及成果转化等工作,为管理决策、产业规划、企业发展、机构投资提供情报、咨询、培训等服务,为推动国家创新驱动发展和军民融合深度发展提供智力支撑。