诵一卷诗书 道千年古韵
墨色未干时 犹风骨长存
近日,教育部、国家语委举办的
第四届中华经典诵写讲大赛
获奖名单公布
我校在全国决赛中获奖9项
快跟随小诗一起来欣赏他们的风采吧!
“诗教中国”诗词讲解全国决赛,我校获得大学生组一等奖1项。
徐悠作品《以韵品诗——读黄鹤楼》
获“诗教中国”诗词讲解大赛大学生组一等奖
“诵读中国”经典诵读全国决赛,我校获得大学生组一等奖1项、三等奖1项,留学生组三等奖1项,教师组优秀奖1项。
蒋嘉、马芷欣作品《大地颂歌》
获“诵读中国”经典诵读大赛大学生组一等奖
王韵芝、赵鹏超作品《江汉关的钟声》
获“诵读中国”经典诵读大赛大学生组三等奖
林妙璇、林杰、阿克那作品《岳阳楼记》
获“诵读中国”经典诵读大赛留学生组三等奖
耿书培作品《木兰辞》
获“诵读中国”经典诵读大赛教师组优秀奖
“笔墨中国”汉字书写全国决赛,我校获得硬笔类大学生组一等奖1项、二等奖1项、三等奖1项,毛笔类大学生组优秀奖1项。
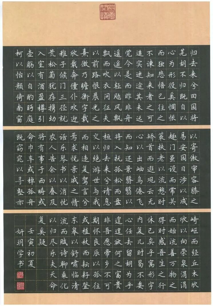
屈妍玥作品《归去来兮辞》
获“笔墨中国”汉字书写大赛硬笔类大学生组一等奖
乔丽瑜作品《颂党诗六首》
获“笔墨中国”汉字书写大赛硬笔类大学生组二等奖
张艺馨作品《毛泽东词二首》
获“笔墨中国”汉字书写大赛硬笔类大学生组三等奖
杨淼瑜作品《滕王阁序》
获“笔墨中国”汉字书写大赛毛笔类大学生组优秀奖
“诗教中国”诗词讲解大赛一等奖选手
新闻传播学院本科生 徐悠:
参与本次大赛,我收获了很多。其实最开始参与的是诵读大赛,但是很遗憾没能被选拔上,指导老师白嗣新建议我换一个赛道,所以我就报名参加了诗词讲解大赛。准备决赛的时候不在学校,所以想着找一个合适的场地,为此还找了很多个地方。结果都因为疫情被推翻了,最后还是在家里对着镜头干讲,但也许是这样“质朴”的表现方式打动了评委吧。总而言之,通过这次的比赛我对于古诗词也有了新的更深层次的理解,未来也会继续结合自己的专业去认识和学习古诗词。
“诵读中国”经典诵读大赛一等奖选手
新闻传播学院本科生 马芷欣:
第四届中华经典诵读比赛,我与蒋嘉的诵读作品《大地颂歌》进入了全国总决赛,大赛组委会通知我们要在很短的时间内重新抽签选题参加线上决赛从而确定获奖名次。当抽到顾城的作品《生命幻想曲》的时候,我们很崩溃,因为稿件内容太过于抽象了,但是转念一想,越难才可能越出彩。在指导老师的分析和帮助下,我们选择了处理空间最大的音乐,通过扮演了作品中两种不同的性格来演绎作品,经过几个晚上的反复打磨,我们最终站上了决赛的舞台。
这次比赛从筹备到校赛再到全国决赛,差不多有七个月的时间。在一轮又一轮的选拔和打磨中,我们也一直在不断地进步着。经典诵读朗诵比赛是我们一次成长的见证,也是对我们努力的肯定。感谢所有帮助我们的老师和同学。路漫漫其修远兮,我会带着这一次的收获,继续远行!
“诵读中国”经典诵读大赛留学生组三等奖选手
国际文化交流学院 林杰 刚果(布):
参加这次比赛是我的荣幸。这次比赛的准备并不容易。为了取得好成绩,我们非常努力。经过几个月的反复练习,我们终于达到了预期目标。我有很多压力,但在老师的鼓励下,我对自己有了信心。能够获得全国三等奖是我们的荣幸,尽管我们想成为第一名。我很荣幸能代表我们学校。感谢从一开始就支持我们的老师。这些对我来说仍然是一次难忘的经历,我学到了很多关于中国文化的知识。我非常欣赏中国的语言和文化,今后我将继续参加其他此类比赛。
国际文化交流学院 阿克那(孟加拉国):
我相信,在我的大学生活中,这是一次不可多得的朗诵体验,在朗诵的过程中,我们一次次修正着对于《岳阳楼记》的态度,体会着范仲淹的感情之复杂,老师们一次次的指导我们技巧。我们也朗诵得一次比一次恰当。经过一个月的时间,我们有了明显的进步。为此而获得快乐和成就感,幸福感,真的很开心。
国际文化交流学院 林妙璇(泰国):
非常感谢学校给我参加这次比赛的机会。在这次比赛中,我进一步体会到了中文的魅力和中国文化的博大精深。其次,我也非常感谢认真细致指导、纠正我发音的老师!老师的指导让我受益匪浅、获益良多。这次比赛让我认识到了自己在学习汉语,特别是在学习古汉语方面还有很多不足。我会继续努力学习汉语,能够把在这次比赛中学到的东西、把在中国学习的经验体会更好地分享给泰国人。
“笔墨中国”汉字书写大赛一等奖选手
城市与环境科学学院教育硕士 屈妍玥:
我在2017年加入华中师大师范生书写能力训练指导团,开始习字生涯。作为半路出家的书法小白,我的书法启蒙来自指导团的笔友,团队定期举办的内部培训、主讲人试讲、合书等活动构成了本科生活期间美好的回忆。这些活动,让我对书法史、字帖选取、习字方法等知识有了系统了解,掌握了正确方法如仔细观察、严格落笔、反复校对等。
“笔墨中国”汉字书写大赛是我第二次参加了,压力比第一次大得多。一方面是第一次比赛的经历让我见识到了赛友的实力,另一方面,积攒的经验也让我有了更多对获奖的期待。在书法作品的呈现上,我一直以来都秉承着完美主义,从文本、纸张选取,再到字体、风格选择,都经历了很多次改动,备赛期间由于疫情的不确定性,纸张和作品的邮寄也遇到了一些困难。
习字是理性美与感性美相结合的一项活动,前者体现在对书法法度的把握,后者体现在艺术表现与情感的多样性。我经常用来鞭策自己的一句话是:习字是一个忘掉自我的过程。每当拿起笔,我们就需要忘记自己过去的一些书写习惯,全身心投入到临帖当中,才能获得进步,否则只是错误的不断重复。
“笔墨中国”汉字书写大赛二等奖选手
文学院本科生 乔丽瑜:
去年在“笔墨中国”书写大赛中,我取得了全国优秀奖的成绩。为了好好准备今年的比赛,我一直坚持练字,主动探索一些新的字体,并且在给师范生做书写培训的同时,不断对自己的书法知识查漏补缺,在教学相长的过程中也突破了自己练字的瓶颈期,今年我在学校举办的“第十五届师范生粉笔字板书设计比赛”中荣获了一等奖。我很开心有一群师范生书写技能指导团的老师和小伙伴,大家相互学习,一起进步。
指导老师说
国际文化交流学院 徐亮(留学生组指导教师):
与三位留学生共同参与第四届中华经典诵读中国大赛是一次难忘的记忆。国际学生在比赛中感受中国文化,深层次地了解中国,通过朗诵《岳阳楼记》,讲述了他们眼中的中国故事。祝愿同学们能够在今后的学习生活中更加热爱学习中华传统文化,在桂子山上向世界讲好中国故事,传播中国声音。
新闻传播学院 谢昊洋(留学生组指导教师):
本次比赛选取的作品《岳阳楼记》是我们反复推敲最终才确定的一篇文章,考虑到文章是篇幅长且难度大的文言文,我们特意征求了选手们的意见,出乎意料的是三位留学生全部不假思索,直面了挑战。虽然在练习过程中出现了很多的难题和困惑,但最终,这些问题在大家对文章理解和普通话掌握程度更深之后迎刃而解,同学们登上了国赛的舞台并取得了荣誉。
我觉得这次比赛是极其具有意义的,不仅让我感受到了来自不同国家和民族的丰富文化,也让作为中国人的自己与国际友人们一道,感受了“不以物喜,不以己悲”的古仁人之心,和“先天下之忧而忧,后天下之乐而乐”的爱国爱民情怀,体会中华文化之美。
博大精深 源远流长
中华文化的魅力
不断感染着每一代人
纵然此次大赛落下帷幕
但中华文化的号角依然响亮
对于它的热爱与传承
将从心底永远伴随我们
强烈推荐
▼崭新的2023,你pick哪个我?▼
这世界上有两个我
一个在白天热爱生活
一个在夜晚与明月相拥
这世界上有两个我
一个看喷泉广场流光溢彩
一个在图书馆与书香相伴
世界上有两个我
一个···一个···
▼敲重点!华师最美笔记大赏来了▼
一笔一划 写就思维碰撞
一字一句 记录思想传递
书海遨游 探“深海宝藏”
笔墨生香 记录最美青春
和小诗一起
欣赏来自华师学子的优秀笔记吧!