新冠动态
疫苗好消息频传
进入秋冬季后,全球疫情出现反弹,近一个月来,我们多个省份也出现了零星的本地病例,虽然都在短时间内得到了有效的控制,但也可以看出,随着气温的下降,防疫形势也变得越来越严峻起来。虽然全球疫情防控情况称不上乐观,但是近期新冠疫苗倒是频出好消息,也给未来的防控形势打入了一剂强心针。
注:图片来源@新华国际
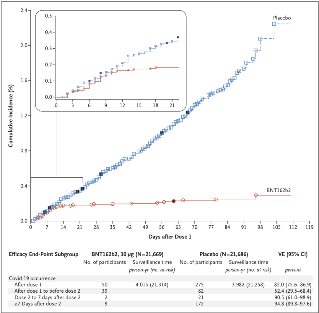
The New England Journal of Medicine杂志本月发表了辉瑞/BioN Tech的BNT162b2最终临床试验数据,这也是全球第一个公布III期临床试验数据的新冠疫苗。共有43,548例受试者参与了这项全球多中心的随机双盲临床试验,其中43,448例受试者分别在试验的第0天和第21天接受注射:21,720例接受了BNT162b2接种,21,728例接受了安慰剂注射。
在第2剂注射的7天及以后,BNT162b2组有8例出现新冠感染症状并确诊COVID-19,安慰剂组有162例确诊新冠感染,疫苗有效的人群保护力为95%(95%可信区间:90.3%-97.6%)。不同年龄、性别、种族、BMI和基础疾病的人群中,疫苗的保护力相似。截止文章发表为止,BNT162b2组有一例重症COVID-19患者,安慰剂组有9例重症感染患者。
BNT162b2的安全性良好,常见的不良反应为注射部位疼痛,乏力和头痛。这些不良反应持续时间较短,症状轻微,一般1~2天后可自行消退。严重布不良反应发生率较低,BNT162b2组和安慰剂组的发生率相似。
局部不良反应
全身不良反应
当地时间12月11日晚间,美国FDA通过了辉瑞/BioNTech/复星医药合作的新冠疫苗的紧急授权使用。
注:图片来源网络
国药集团也第一次报道其疫苗人群保护力数据,阿联酋卫生和预防部对国药集团COVID-19灭活病毒疫苗的III期临床试验中期分析的数据复核,显示疫苗对抗病毒感染的有效性为86%,中和抗体转阳率为99%,能100%预防中度和重度的新冠肺炎病例。12月9日,阿联酋宣布对这款新冠病毒灭活疫苗在该国进行注册。
注:图片来源@子陵在听歌
疫苗的好消息让全球对未来的新冠疫情控制重新燃起信心,但是,并不是有了疫苗就万事大吉了。除了疫苗的有效性和安全性,群众对于疫苗接种的意愿,全球产量以及每个国家的接种能力也是非常重要的一个环节。未来的全球防疫工作中,如何全面普及疫苗接种是未来全球防疫的关键环节。
参考文献:
Safety and Efficacy of the BNT162b2 mRNA Covid-19 Vaccine. N Engl J Med. 2020 Dec 10. doi: 10.1056/NEJMoa2034577.
#往期推荐
新冠动态丨特朗普治疗三天就出院了,他用的新冠病毒特效药物究竟是什么呢?
新冠动态丨《科学》杂志两篇重要研究揭示谜题,为什么感染新冠病毒后有些人无症状或症状很轻,有些人却致命?
撰文/编辑:喻一奇
Go to "Discover" > "Top Stories" > "Wow"