2020年12月17日Lancet Respir Med发表了法国Bourgogne-Franche-Comté大学的大型全国人口范围回顾性队列研究。文中比较了新冠肺炎与流感的致病特点。
这项研究收集了法国国家行政数据库(PMSI)在2020年3月1日至4月30日所有89530名住院COVID-19患者的信息,并与2018年12月1日至2019年2月28日45819名因流感住院的所有患者信息进行对比。
表1:法国因COVID-19或季节性流感住院患者的主要基线特征
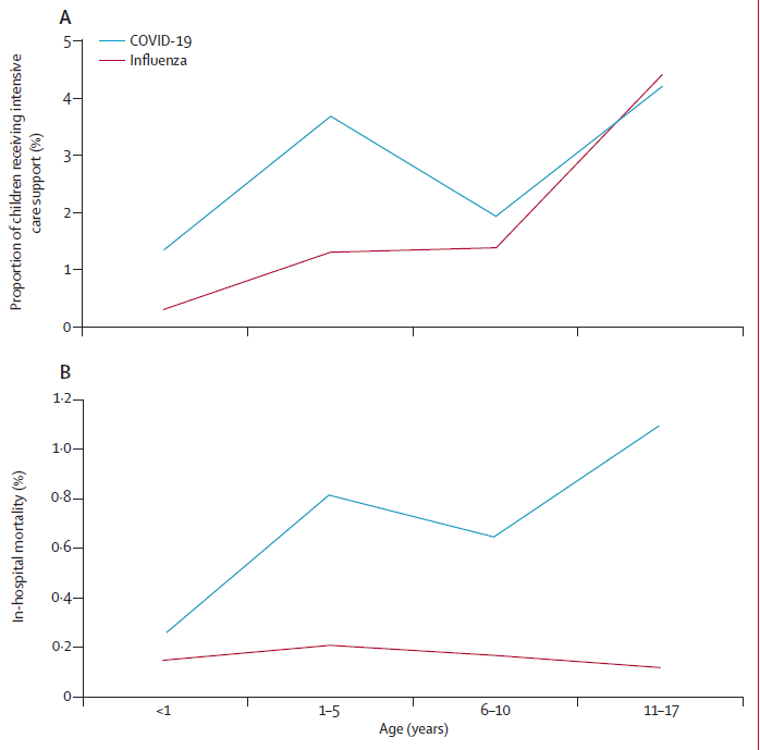
COVID-19患者的院内死亡率(16.9%)高于流感患者(5.8%)。COVID-19总体死亡风险为2.9,而经年龄标准化死亡率的病死率为2.82。住院患者中,COVID-19患者小于18岁的比例(1.4%)远小于流感患者(19.5%);但小于5岁的患者中,COVID-19患者需要ICU治疗的比例显著更高。在11-17岁年龄段的住院患者中,COVID-19患者的病死率(1.1%,5/458)比流感患者高10倍(0.1%,1/804)。
图1:在法国住院的因COVID-19或季节性流感住院患者的需要ICU治疗的比例和死亡率,按入院时的年龄分层
图2. 在法国因COVID-19或季节性流感住院的18岁以下儿童的需要ICU治疗的比例和死亡率,按入院时年龄的分层
需要住院治疗的COVID-19和季节性流感患者的特点大不相同。该病毒可能具有更高的呼吸道致病性,导致更多的呼吸道并发症和更高的死亡率。在儿童中,尽管COVID-19的住院率似乎低于流感,但住院死亡率较高。这些发现突出了对COVID-19采取适当预防措施的重要性,以及对特定疫苗和治疗的需要。
图/文编辑 蛋蛋
扫码关注我们
微信号|华山感染
新冠动态丨特朗普治疗三天就出院了,他用的新冠病毒特效药物究竟是什么呢?
Go to "Discover" > "Top Stories" > "Wow"