The following article is from 环境前沿 Author Jiao Zhang
Frontiers of Environmental Science & Engineering (FESE) 期刊官方公众号
本文来自“环境前沿”,文章仅代表作者观点,与“科研圈”无关。
提 要
硝酸盐是大气颗粒物的重要组分,对空气质量、生态系统和气候变化有着重要影响,一直以来被认为是氮氧化物的一个永久的汇。然而,近年来研究发现,大气中的硝酸盐或吸附在颗粒上的HNO3物种可以通过光解反应重新转化为活性氮氧化物气体,是一个重要的氮氧化物重生过程。贺泓院士团队总结了在不同大气条件下硝酸盐/HNO3光解的最新研究进展,深入分析了影响该过程的化学机理和环境因素,讨论了其对大气环境的影响,并对今后的研究提出了建议。
文 章 概 览
氮氧化物(NOx = NO + NO2)在大气化学中起着核心作用,是形成光化学烟雾、酸雨和灰霾污染的重要前体物,也会直接危害人体健康。NOx在大气中可以被·OH或O3等氧化剂氧化形成HNO3/硝酸盐,并通过干湿沉降过程从大气中去除。长期以来,NOx转化为HNO3/硝酸盐被认为是NOx的主要的汇(图2)。近年来,大量实验发现颗粒相硝酸盐可快速光解产生NOx的现象,使硝酸盐光解成为一个NOx重生过程(Renoxification)。气溶胶中硝酸盐的形成和光解不仅影响NOx的日变化,还使得NOx能够以硝酸盐的形式进行长距离的运输,从而影响局地和区域的大气化学和空气质量。
图2 大气中涉及NOx的化学过程
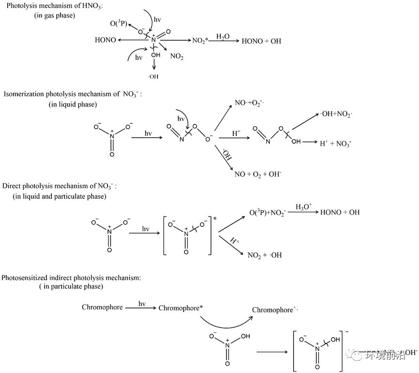
硝酸盐的光解机制可分为直接光解机制和间接光解机制(图3)。直接光解机制涉及光激发的N-O键的断裂,在气态硝酸、溶液中的硝酸根离子以及颗粒态硝酸盐的光解中均存在。直接光解机制还包含溶液中硝酸根离子光异构化后的光解。间接光解机制主要存在于颗粒相中,是由大气中的光敏物质参与并引发的光敏反应。
图3 硝酸盐光解机制
影响硝酸盐光解的主要因素包括光照条件、硝酸盐浓度、相对湿度、pH及共存物质等。这些因素会通过改变硝酸盐分子所处的化学环境以及硝酸盐分子对光的吸收等方式影响硝酸盐的光解。其中,以颗粒相存在的HNO3/硝酸盐,光解速率常数相较于气相和液相中可提高1-4个数量级(图4),这可能是由颗粒相所特有的“基质效应”所导致的,即颗粒相中基底的理化性质及其与硝酸盐的相互作用会增强硝酸盐的光解。
图4 不同相中硝酸盐的光解速率常数和寿命
(图片来源:Ye et al., ES&T, 2017, 51(12): 6849–6856)
研究硝酸盐光解具有重要的环境意义。对硝酸盐光解的深入认识促进了对大气化学和区域空气污染的理解,将硝酸盐光解纳入大气模式后可以解释包括未知来源亚硝酸(HONO)在内的多种外场观测和模式模拟之间的偏差。此外,由于硝酸盐的大气寿命要高于NOx,硝酸盐的光解可以使高浓度地区的NOx以硝酸盐的形式传输到低浓度地区,从而改变区域NOx等活性N物种的分布和全球氮循环过程。因此,在更接近真实大气环境的条件下,研究硝酸盐光解的微观机制及其对活性氮物种形成的贡献,是准确评估NOx对区域和全球大气环境影响的重要科学基础。
展望未来,对硝酸盐光解的进一步研究,提出以下建议:
改进实验条件,模拟更真实的对流层环境。已发表的研究主要集中在硝酸盐模型物质(例如KNO3、NH4NO3) 或 HNO3而不是真正的颗粒物。尽管有几项研究对真正的PM2.5进行了光解实验,但硝酸盐通常处于吸附状态,而不是大气中的悬浮状态。由于颗粒分散引起的光解速率常数的差异及其原因尚不明确,需要针对硝酸盐在更现实的对流层环境条件下的光解开展相关实验。
硝酸盐光解的特定机制的研究。已有研究证明可增强硝酸盐光解的多种因素,但增强机制大多仍处于猜想和理论水平,缺乏实验证据。在分子水平上对光解机理进行更深入的研究和理论计算,可以深入理解硝酸盐光解背后的理论基础。有必要使用先进的技术(如中间检测和表面科学技术)进行进一步研究。
硝酸盐光解作为HONO和NOx的贡献源的研究。硝酸盐光解可能是未知HONO和NOx的日间来源。然而,硝酸盐光解对HONO和NOx的贡献受到环境条件的影响而具有很大不确定性,且硝酸盐光解对日间HONO和NOx的来源贡献率也存在认识缺失,需要通过实验和模型模拟开展进一步研究。
硝酸盐光解对区域大气化学的影响研究。硝酸盐光解过程中可能参与其他反应而改变大气中的氧化能力。硝酸盐的长距离传播和夜间积累可能会改变区域大气化学和HONO-NOx的昼夜分布。此外,臭氧污染已成为中国的一个重要问题,而硝酸盐光解产生的NOx是臭氧的关键前体物。因此,硝酸盐光解对臭氧形成的影响可能是未来的一个重要研究课题。
贺 泓 院士
编辑 | 张 姣
审核 | 马庆鑫,中国科学院生态环境研究中心
本文内容来自FESE期刊2023年第17卷第4期发表的Review文章 “Homogeneous and heterogeneous photolysis of nitrate in the atmosphere: state of the science, current research needs, and future prospects”。通讯作者为中科院生态中心马庆鑫研究员和贺泓院士。
引用格式:Yiqun Cao, Qingxin Ma, Biwu Chu, Hong He. Homogeneous and heterogeneous photolysis of nitrate in the atmosphere: state of the science, current research needs, and future prospects. Front. Environ. Sci. Eng., 2023, 17(4): 48
摘要:
Nitrate is an important component of atmospheric particulate matter and affects air quality, climate, human health, and the ecosystem. Nitrate was previously considered a permanent sink for nitrogen oxides (NOx). However, this viewpoint has been challenged in recent years because growing research evidence has shown the transformation of nitrate into NOx (i.e., renoxification). The photolysis of nitrate/HNO3, especially in the particulate phase or adsorbed on particles, can be a significant renoxification process in the atmosphere. The formation and photolysis of nitrate in aerosol not only change the diurnal variation of NOx, but also provide long-distance transport of NOx in the form of nitrate, which affects local and regional atmospheric chemistry and air quality. This review summarizes recent advances in the fundamental understanding of the photolysis of nitrate/HNO3 under various atmospheric conditions, with a focus on mechanisms and key factors affecting the process. The atmospheric implications are discussed and future research is recommended.
推荐阅读
睿见 | 呼吁关注污水处理厂出水的受纳水体营养盐化学计量失衡及其水生态风险
期刊简介
Frontiers of Environmental Science & Engineering 是由高等教育出版社、中国工程院和清华大学共同主办的环境领域综合学术期刊,聚焦环境领域前沿问题与研究成果,重点关注开创性、跨学科的研究,致力于打造具有国际影响力的高水平学术交流平台,是中国工程院院刊系列期刊、中国科技期刊卓越行动计划重点期刊。
共同主编:曲久辉院士,John Crittenden院士
期刊官网1(国内免费获取)
http://journal.hep.com.cn/fese
期刊官网2
www.springer.com/journal/11783
欢迎关注
《前沿》系列英文学术期刊
备注:本文来自公众号“环境前沿”,凡本公众号转载、引用的文章、图片、音频、视频文件等资料的版权归版权所有人所有,如因此产生相关后果,将由版权所有人、原始发布者和内容提供者承担,如有侵权请尽快联系删除。