浙江大学潘鹏举教授研究组在超分子聚合物结晶方面取得新进展

2017-12-12 高分子科技 高分子科技 高分子科技
点击上方蓝字 一键订阅

超分子聚合物中分子链由方向性、可逆的非共价键连接而成,可基于多种分子间相互作用以及它们的协同或多重作用形成,如氢键、主客体、配位作用、π-π相互作用等。多重氢键具有较高的键合强度、取向性、选择性和动态可逆性,是超分子组装中极为重要的非共价键作用。作为一类新型高分子材料,超分子聚合物的性能同时取决于其链结构和凝聚态结构,阐明其凝聚态结构形成和调控的规律与机理可指导材料制备、加工中的性能优化和新功能的开发。由于超分子基团受限效应和链间相互作用的影响,与传统高分子相比,超分子聚合物的结晶和凝聚行为不同,具有“受限”和“动态”的特点。


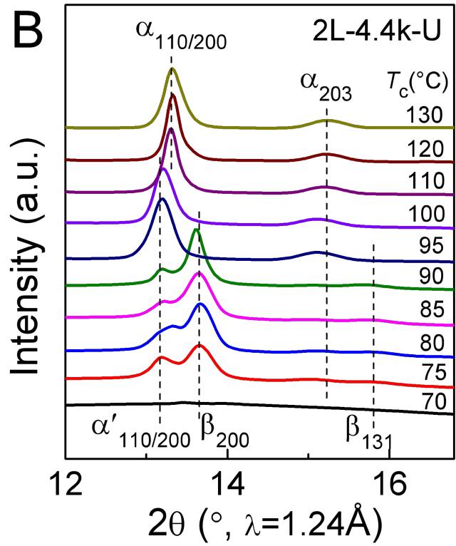
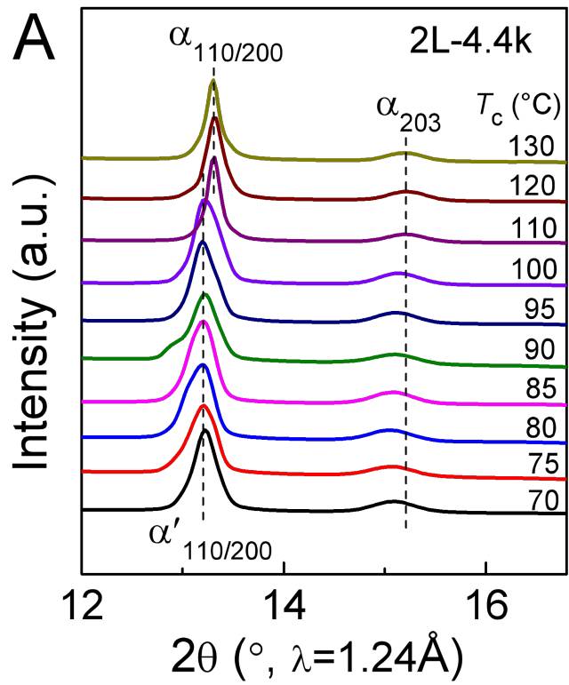
为了揭示超分子聚合物独特的结晶结构形成与演变规律,潘鹏举教授团队以2-脲基-4-嘧啶酮(UPy)修饰的聚乳酸(PLA)为模型超分子聚合物,将UPy引入至PLA的链端,通过链端UPy基团之间的四重氢键相互作用形成超分子聚合物。利用同步辐射广角X射线衍射(WAXD)、原位FTIR光谱等研究了超分子聚合物的受限结晶动力学、多晶态结构与多晶结构之间的相转变行为,发现超分子基团的引入限制了聚左旋乳酸(PLLA)链段的结晶。由于超分子基团对链段结晶受限效应的影响,超分子PLLA在强受限条件下(较低结晶温度下)主要形成b晶,而在弱受限条件下(较高结晶温度下)形成通常的热力学稳定态的a晶,这是首次在无拉伸或剪切形变的条件下得到PLLA的b晶。b晶为亚稳态结构,其在加热过程中可转变为热力学稳定的a晶(Macromolecules 2017, 50, 8619-8630)。


图1. 普通PLLA(A)和超分子PLLA(B)在不同温度下结晶后的WAXD图


图2. 超分子聚合物多晶态结构形成与演变的示意图


另外,针对互为立体异构聚合物的立构复合结晶体系,进一步通过构筑超分子聚合物提高了立体异构链之间的相互作用,促进了其立构复合结晶。在PLLA和聚右旋乳酸(PDLA)链段末端引入UPy超分子基团后,超分子PLLA和PDLA的共混物更容易形成高熔点的立构复合结晶,这提供了一种促进高分子量PLLA和PDLA之间立构复合结晶能力的方法。该体系中立构复合结晶能力的提高主要归因于互为立体异构链之间相互作用的增强(Polym. Chem. 2016, 7, 4891-4900、Cryst. Growth Des. 2016, 16, 1502-1511)。另外,基于立构复合结晶调控了材料的性能,提高了PLLA、PDLA超分子嵌段共聚物的结晶能力、力学性能和耐热性,同时调控了超分子共聚物材料的形状记忆固定温度和回复温度(Macromolecules 2015, 48, 7872–7881、Polym. Chem. 2015, 6, 5899-5910)。


图3. 链段超分子相互作用提高高分子立构复合结晶的机理示意图


以上相关论文的第一作者为浙江大学化工学院、化学工程联合国家重点实验室的博士生包建娜和硕士生畅若星,通讯作者为潘鹏举教授。该研究受到国家自然科学基金委优秀青年科学基金项目(21422406)和面上项目(21674095)的资助。


论文链接:

http://pubs.acs.org/doi/abs/10.1021/acs.macromol.7b01705

http://pubs.rsc.org/en/content/articlelanding/2016/py/c6py00976j

http://pubs.acs.org/doi/abs/10.1021/acs.macromol.5b01986

http://pubs.rsc.org/en/Content/ArticleLanding/2015/PY/C5PY00742A


高分子科技原创文章。欢迎个人转发和分享,刊物或媒体如需转载,请联系邮箱:info@polymer.cn

相关进展

中科院新疆理化所张亚刚研究员:将纤维增强和成核剂调控聚丙烯结晶行为相结合,研发了合成新型聚丙烯复合材料的新方法

东华大学朱美芳教授课题组:异相成核与拉伸取向协同诱导熔纺生物基PHBV纤维的晶体结构转变

中科院化学所王健君研究员在离子调控冰晶重结晶取得新进展

复旦朱亮亮课题组利用结晶自组装构建聚集诱导荧光-室温磷光双发射体系

高分子结晶结构调控及结晶动力学研究取得重要进展

关注高分子科学技术 👉


长按二维码关注

诚邀投稿

欢迎专家学者提供稿件(论文、项目介绍、新技术、学术交流、单位新闻、参会信息、招聘招生等)至info@polymer.cn,并请注明详细联系信息。高分子科技®会及时推送,并同时发布在中国聚合物网上。

欢迎加入微信群 为满足高分子产学研各界同仁的要求,陆续开通了包括高分子专家学者群在内的几十个专项交流群,也包括高分子产业技术、企业家、博士、研究生、媒体期刊会展协会等群,全覆盖高分子产业或领域。目前汇聚了国内外高校科研院所及企业研发中心的上万名顶尖的专家学者、技术人员及企业家。

申请入群,请先加审核微信号PolymerChina
(或长按下方二维码),并请一定注明:高分子+姓名+单位+职称(或学位)+领域(或行业),否则不予受理,资格经过审核后入相关专业群。

点击下方“阅读原文”查看更多