开发可用于合成结构新颖、性能优异的新型功能聚合物的聚合反应是高分子科学领域的重要研究方向。在众多高分子材料中,聚苯并咪唑(PBIs)等芳杂环聚合物因其优异的机械性能和光电性质等耐高温材料、有机光电、电化学和生物医学等多领域的广泛关注。与稠杂环聚合物在有机半导体材料和电化学转换技术中的广泛应用相比,其光致发光(PL)相关应用的探索仍相对较少。尽管传统的具有刚性骨架的稠杂环聚合物在溶解良好的溶液状态下可以具有良好的PL性能,但它们往往会因分子间强π-π堆积作用的存在而表现出聚集态荧光性能差的问题。目前最广泛采用的PBI合成方法之一是邻位芳香二胺与二元芳香羧酸或其衍生物的环化缩聚反应。这种缩聚方法虽然简单,但不利于聚合物中芳杂环结构单元的灵活设计和调控。另一方面,采用稠杂环活性单体的交叉偶联聚合往往受限于种类有限且较为昂贵的稠杂环底物、复杂的单体预官能化过程、原子经济性较低等不足。因此,开发和合成具有优异聚集态荧光性能的新型PBI功能材料,并探索其潜在的先进应用具有重要的研究意义。
图1. C-H活化/环化小分子反应及其衍生出的级联C-H活化/环化聚合在稠杂环聚合物构筑中的应用
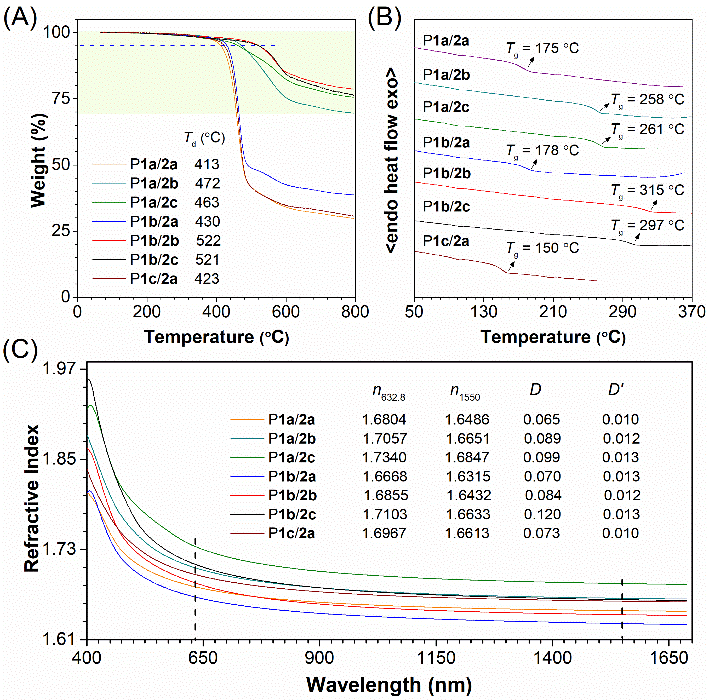
图2 聚合物的热稳定性质和折光性能
图3 模型化合物和聚合物的后修饰化过程和其后修饰化前后的荧光性质
得益于上述结果的启发,研究人员进一步探究了这些含咪唑聚合物的潜在质子化诱导的光物理性质变化。结果表明,这些聚合物在酸化后显示出与碘甲基化反应相似的荧光变化。研究人员以酸化后荧光变化最明显的聚合物P1a/2c为例,证明此类聚合物可以作为一种有效的比率型荧光传感探针来定量检测细胞内pH值的变化额分布(图4)。
图4 聚合物在细胞内比率型pH荧光传感器中的应用
图5 聚电解质对癌细胞的杀伤作用
可以预见,在这项工作中所报道的简单的级联C-H活化/环化聚合反应策略和所获得的氮杂稠环聚合物的优异性能将为高分子合成化学和新型稠杂环功能高分子材料的开发带来新的启示,并促进多功能稠杂环聚合物在设计、改性和应用方面的进一步研究。
这一成果近期发表在Journal of the American Chemical Society上,文章第一作者为深圳大学王康博士和燕赛赛博士,香港中文大学(深圳)唐本忠院士、深圳大学AIE研究中心韩婷助理教授和王东教授为本文共同通讯作者。
文章链接:
https://doi.org/10.1021/jacs.2c04032
相关进展
高分子科技原创文章。欢迎个人转发和分享,刊物或媒体如需转载,请联系邮箱:info@polymer.cn
诚邀投稿
欢迎专家学者提供稿件(论文、项目介绍、新技术、学术交流、单位新闻、参会信息、招聘招生等)至info@polymer.cn,并请注明详细联系信息。高分子科技®会及时推送,并同时发布在中国聚合物网上。
欢迎加入微信群 为满足高分子产学研各界同仁的要求,陆续开通了包括高分子专家学者群在内的几十个专项交流群,也包括高分子产业技术、企业家、博士、研究生、媒体期刊会展协会等群,全覆盖高分子产业或领域。目前汇聚了国内外高校科研院所及企业研发中心的上万名顶尖的专家学者、技术人员及企业家。
申请入群,请先加审核微信号PolymerChina (或长按下方二维码),并请一定注明:高分子+姓名+单位+职称(或学位)+领域(或行业),否则不予受理,资格经过审核后入相关专业群。
点
这里“阅读原文”,查看更多