由于对安全储能系统的需求不断增加,钒氧化还原液流电池受到了广泛关注。通常,V2O5 用于制备 V 电解液,但从 V 浸出液合成 V2O5 会导致显着的环境影响,并且需要复杂的顺序还原过程来制备 V 电解液。为了可持续生产 V 电解液,我们通过使用肼 (N2H4) 作为还原剂的还原沉淀工艺直接从 V 浸出液中回收 VO(OH)2,并使用 VO(OH)2 制备 V 电解液。当 V 浓度为 1 M 时,V 回收效率的最佳条件是 N2H4/V 比为 1、pH 为 4、反应时间为 3 h。还研究了 NaVO3 溶液中共存离子(Na、Mg、K、Fe 和 Al)的影响。 K 对 V 回收效率的不利影响最大,并且 Fe 和 Al 杂质没有通过洗涤过程从回收的 V 化合物中去除。使用回收的 VO(OH)2 制备 V 电解质,并对其充放电性能进行评估,结果显示在恒定电流密度下具有高电压效率(平均约为 90.15%)和能量效率(平均约为 86.79%) 50 毫安/平方厘米。这些结果表明,直接使用 VO(OH)2 制备 V 电解质是一种简单且具有成本效益的工艺。
图 1工艺流程图。
图 2. 平衡 (a) V(V) 和 (b) V(IV) 物种根据溶液 pH (HSC 7.0) 建模和 (c) 从 NaVO3 溶液中制造含有 V(IV) 的硫酸盐溶液的图片。
图 3.pH (a)、肼/V 比 (b)、初始 V 浓度 (c) 和反应温度 (d) 对 V 回收效率的影响。
图 4.在不同 pH 值下回收的颗粒的紫外可见光谱 (a) 和 SEM 图像 (b)。
图 5.在 pH 4 下回收的 V 化合物的 XRD 光谱 (a)、XPS 光谱 (b)、FTIR 光谱 (c) 和 TGA-DTA 数据 (d)。(b) 的插图显示了 O 1s 的解卷积 XPS 光谱 核心层面。
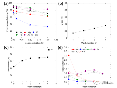
图 6 Na、K、Ca、Mg、Al 和 Fe 离子对 V 回收效率的影响([V] = 1,N2H4/V = 1,pH 4,25 °C,12 小时)(a),累积 V 损失 连续洗涤过程中的V沉淀物(b),根据洗涤次数,V沉淀物中的V(c)和杂质(d)含量。
图 6. 样品和参比电解质在不同电流密度下的 VRFB 电池性能:(a) CE、(b) VE 和 (c) EE。
图 7. 样品电解质和参比电解质在恒定电流密度 (50 mA/cm2) 下的 VRFB 电池性能:(a) 容量,(b) CE,(c) VE,和 (d) EE,100 次循环。
相关研究成果由韩国地球科学与矿产资源研究所In-Su Park和忠北国立大学Hye-Jin Hong等人2022年发表在ACS Sustainable Chemistry & Engineering (https://doi.org/10.1021/acssuschemeng.2c01817)上。原文:Precipitation Recovery of VO(OH)2 from Sodium Metavanadate Solution and Its Application in a Vanadium Redox Flow Battery。