由于成本低、理论容量高,g-C3N4被称为钠离子电池的潜在负极。然而,其较差的电子导电性和结构稳定性阻碍了其实际性能。在这里,使用简单的凝胶涂层-煅烧方法得到 g-C3N4@carbon 复合材料(CCN)。得益于增加的吡啶氮含量和电子电导率以及蓬松多孔结构,CCN 在 0.1/3 A g-1 时表现出 250/183 mAh g-1 的高放电容量和 180 mAh g-1 的长期循环性能 1 在 0.5 A g-1下1600次循环。 此外,CCN//Na3V2(PO4)3全电池表现出良好的循环稳定性。
图 1. (a) CCN 制备过程示意图。 (b) C、CN 和 CCN 的 XRD 图谱。 (c) FTIR 光谱,(d) 拉曼光谱,(e) N 1s XPS 光谱,(f) 不同 N 物种的百分比,和 (g) CN 和 CCN 的 C 1s XPS 光谱。
图 2. (a) CN 和 (b, c) CCN 的 SEM 图像。 (d) 低分辨率和 (e, f) 高分辨率 TEM 图像和 (g) CCN 的元素映射。
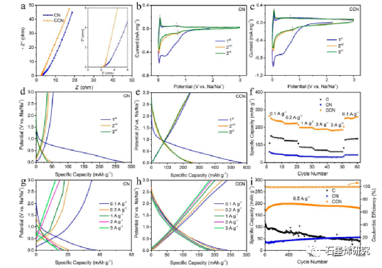
图 3. (a) CN 和 CCN 的全部和部分放大(插图)奈奎斯特图。 (b) CN 和 (c) CCN 在 0.2 mV s-1 时的 CV 曲线。 (d) CN 和 (e) CCN 在 100 mA mg-1 下的第一到第三个充放电曲线。 (f) CN 和 CCN 从 0.1 到 3 A g-1 的速率性能。 (g) CN和(h) CCN在不同电流密度下的充放电曲线。 (i) CN 和 CCN 的循环寿命。
图 4. (a) CN 和 (b) CCN 不同扫描速率下的 CV 曲线。 (c) log(v) 与 log(i) 图。 (d) CN 和 CCN 的赝电容贡献。(e) CN和(f) CCN的GITT曲线和Na+扩散系数。(g) CCN//Na3V2(PO4)3全电池结构示意图。 (h) Na3V2(PO4)3 和 (i) CCN//Na3V2(PO4)3 的循环寿命。
相关研究成果由宁夏大学Jinhui Yang、湖南大学Xiongwei Wu和湘潭大学Bei Long等人2022年发表在ACS Applied Energy Materials (https://doi.org/10.1021/acsaem.2c01700)上。原文:Tuning N-Species of Graphitic Carbon Nitride for High-Performance Anode in Sodium Ion Battery。