图1. 氧化石墨烯薄膜吸附水蒸气示意图。水分子在氧化石墨烯膜上的吸附可分为两个过程。第一层水分子通过两个氢键附着在GO膜上。从第二层开始,水分子只通过一个氢键被吸附。
图2. 不同形貌的三维石墨烯SEM图像。(a)褶皱石墨烯。(b)石墨烯泡沫。(c)石墨烯气凝胶。(d)石墨烯海绵。
图3. 氧化石墨烯在水悬浮液还原过程中形成的石墨烯水凝胶自组装示意图及机理。
图4. 模板辅助合成石墨烯泡沫(GF)和集成聚二甲基硅氧烷(PDMS)示意图。使用镍泡沫 (Ni泡沫,a)作为三维支架模板,采用CVD法合成石墨烯薄膜(Ni-G, b)。在涂上一层薄薄的PMMA作为支撑层(Ni-G-PMMA, c)后,石墨烯薄膜逐渐生长。用热盐酸溶液刻蚀镍泡沫后,在GF表面涂上PMMA (GF-PMMA, d)。用丙酮溶解PMMA层(GF, e)。将PDMS渗透到GF中得到GF/PDMS复合材料(f)。
图5. NH3吸附浓度为1000×10-6时的脱附过程,a在室温下脱气,b在高温下脱气,GF的电阻随时间变化,其中b图上方的颜色条反映温度随时间的变化;c不同NH3浓度的动态传感性能,吸附温度为室温,解吸温度为400 K;d不同NO2浓度的动态传感性能。
图6. aMPCVD法制备的GF原理示意图;b基于微波炉的自制MPCVD装置,在微波炉内等离子体清晰可见; c-e 在镍泡沫上生长的石墨烯的SEM图像,一个连续的三维相互连接的花朵形态网络,其中镍泡沫衬底的壁上覆盖着石墨烯;f脱落石墨烯片的TEM图像,褶皱层状结构。
图7. NO2传感性能:a不同曝光时间300-1800 s时对10×10-6 NO2的响应;b10×10-6 NO2检测中传感器响应与曝光时间关系的曲线;c连续三个100×10-9 NO2检测周期中相对电导与时间的关系;d在图c中连续三个NO2检测周期的定量响应;e对200×10-9 NO2的响应;f在100×10-9 NO2检测中的恢复时间t90。
图8. a 选择性NO2传感的3D超疏水RGO制造步骤。第一步,通过SPS用氧化石墨烯制备3D超疏水RGO,然后沉积在数字间电极上进行NO2传感。RGO的超疏水性排斥水分子,吸收NO2分子。RGO传感器由位于Si/SiO2衬底上的集成微加热器加热,以提高响应。b-d RGO的三维多孔结构SEM图像,放大倍数从图b增加到图d。图d的高分辨率SEM图像显示,RGO薄片上存在许多纳米级裂纹。e少层RGO片的TEM图像。f三维超疏水RGO的氮吸附和脱附等温线。
图9. aGO-基传感器对1×10-6 NO2和70%RH的动态响应,bRGO-基传感器对1×10-6 NO2和70%RH的动态响应,cRGO-基传感器对1×10-6 NO2在0%RH和 70%RH时的动态响应;d RGO测定50×10-9 NO2;e 检测600×10-9 NO2的响应时间t90、恢复时间t90和饱和响应;f RGO-基传感器对1×10-6 NO2的动态响应。
图10. 使用微型加热器增强NO2传感:a基片温度与微型加热器DC电压的关系;b 在标准相对湿度为70%,不同温度时,RGO-基传感器对1×10-6 NO2的动态响应; cRGO-基传感器暴露于1×10-6 NO2时的响应与衬底温度的关系; dRGO-基传感器的电阻与衬底温度的关系。
图11. a三维RGO/Ir HSs合成示意图; 三维RGO/Ir HSs的b XRD谱图,c SEM谱图,d TEM谱图,e能谱图(EDS)和f EDS线扫描谱图。
图12. a0.7 V时,将三维RGO/Ir HSs和商业Ir/C连续加入 20 μl 0.15 mol·L-1NH4OH 到20 ml 0.4 mol·L-1 NaCIO4溶液中;b电化学反应随NH4OH浓度变化;c三维RGO/Ir HSs气敏机理示意图,揭示了电流型氨传感器的反应路径。
图13. a具有强大嗅觉系统的生物犬,b犬鼻甲CT扫描图像和c示意图;d仿生鼻甲激光诱导石墨烯(LIG)结构表面微观形貌的SEM图像及其e横断面图像。
图14. H2传感图:a多层LIG, b LIG/Pd, c H2分子吸附在LIG/Pd上;d干空气中LIG/Pd的截面示意图;eH2在LIG/Pd上的催化反应;f较高浓度时H2的反应;g LIG的能带分析,其中Ef为费米能,Ec为导能,Ev为价能; h氢气作用于LIG的能带分析。
图15. 二氧化碳传感:aFRGOH传感器和RGOH传感器暴露在浓度为1000×10-6到100×10-6的CO2中,比较归一化电阻变化(R/R0);b响应(ΔR/R0)和c FRGOH和RGOH传感器的恢复与CO2浓度的关系;d随着CO2浓度的单调增加,从20×10-6到600×10-6,FRGOH传感器的归一化电阻(R/R0);e 电阻分别为37,000和10,000 的FRGOH传感器暴露于不同CO2浓度时的时间相关归一化电阻(R/R0)曲线;f 具有不同电阻的两个FRGOH传感器的响应(ΔR/R0)与CO2浓度的关系。
图16. a静电纺聚丙烯腈(PAN)纳米纤维骨架(插图:高分辨率SEM图像),b磺苯基功能化还原氧化石墨烯(SFRGO)缠绕在PAN纳米纤维骨架上(插图:高分辨率SEM图像);在c尼龙支架和d柔性SFRGO网络膜上静电纺PAN纳米纤维的照片。
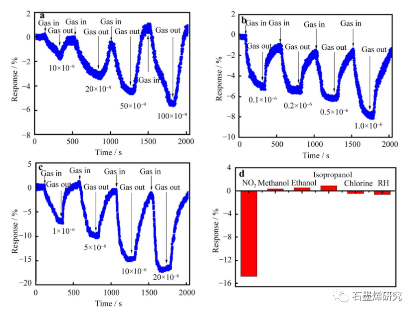
图17. SFRGO网络膜器件对不同浓度NO2 (10×10-9到20×10-6)的传感性能:a10×10-9-100×10-9,b 0.1×10-6—1.0×10-6,和c 1×10-6—20×10-6;dSFRGO网络对10×10-6 NO2、25×10-6甲醇、25×10-6乙醇、25×10-6异丙醇、25×10-6氯和50%相对湿度的气敏选择性。
图18. a室温(RT)下3D RGO/In2O3纳米复合传感器对100×10-6 TMA三重循环的响应与恢复曲线;b In2O3、3D RGO和3D RGO/In2O3纳米复合材料对200×10-6-1500×10-6TMA的响应;c三维RGO/In2O3纳米复合气敏机理示意图。
图19. a GA、b GA/PANI和GA/PPy IPC的制备示意图。
图20. 25℃时,GA/PANI IPC暴露于流速为200 ml·min-1的CO2气体中的a 电导率变化和b 响应时间;c相对湿度对GA/PANI IPC材料导电性的影响和d GA/PANI IPC材料在50℃60 min时 CO2暴露至120 min后的回收率。
相关研究成果由重庆大学材料科学与工程学院Wen Zeng等人于2022年发表在RARE METALS (https://doi.org/10.1007/s12598-020-01633-9)上。原文:Three-dimensional graphene and its composite for gas sensors。