[摘要]麦克斯韦电磁学方程组是19世纪物理学最伟大的科学成果,包含4个微积分方程,在理论上预言了“电磁波”的存在。本文通过理论和实验直接证明:麦克斯韦“位移电流”假设不成立,即在真空中变化的电场不能激发产生磁场,麦克斯韦方程组第4方程不成立。同样,在真空中变化的磁场不能激发产生电场,麦克斯韦方程组第3方程,即法拉第电磁感应定律在真空中不成立;法拉第电磁感应定律作为一个近似经验公式,广泛应用于金属线圈的“磁生电”,但在理论上不完备;本文提出了磁场电流和具有“零电阻”特性的等电势金属电流环,在理论上完善了法拉第电磁感应定律。麦克斯韦电磁学方程组,4个方程中有2个不完备、不成立,本文根据电荷、电流、电场和磁场之间的物理本原联系,对电磁学归纳为三大基本定律:库仑定律,洛仑兹磁场激发定律,洛仑兹磁场力定律。电场、磁场和光场分别是电荷的位置特征、速度特征和加速度特征;电场、磁场和光场在真空中的传播速度都为C。电场、磁场和光场三者之间不能直接激发转化,但电场、磁场和光场可以通过对电荷的作用间接实现相互激发转化。真空中不存在“电磁波”,电场波适合于远距离无线通信,磁场波适合于近距离功率变换。本文否定了“电磁波”的存在,完善了法拉第电磁感应定律,将对科学发现和技术进步产生深远的影响。
[关键词] 麦克斯韦方程组,法拉第电磁感应定律,位移电流,电磁波,电场波,磁场波,光场波,等电势金属电流环,磁场电流,电磁学三大基本定律,库仑定律,洛仑兹磁场激发定律,洛仑兹磁场力定律。
1.引言
2004年,英国科学期刊《物理世界》举办了一个活动:让读者选出科学史上最伟大的公式。结果,麦克斯韦方程组力压质能方程、牛顿第二定律、薛定谔方程等”方程界“的巨擘,高居榜首。麦克斯韦方程组以4个微积分方程,揭示了电荷、电流、电场和磁场之间的普遍联系,以一种近乎完美的方式统一了电和磁,并预言光就是一种电磁波。
麦克斯韦电磁学是19世纪物理学最伟大的科学成果。始于1901年的诺贝尔奖,在已获评的近120项物理学奖中,有超过半数的获奖项目和电磁学有直接或间接的联系。麦克斯韦电磁学也是19世纪以电气化为特征的第二次工业革命和以微电子信息化为特征的现代社会的技术基础。麦克斯韦统一了光电磁,完成了科学史上第二次伟大的综合,在麦克斯韦百年诞辰的纪念会上,爱因斯坦盛赞麦克斯韦对物理学做出了“自牛顿以来的一次最深刻、最富有成效的变革”。下面是积分型式的麦克斯韦方程组。
式(1-1)是电场的高斯定律。它表示穿过某一闭合曲面的电通量与闭合曲面所包围的电荷量Q成正比,系数是1/ε0;电场是有源场。
式(1-2)是磁场的高斯定律。它表示磁场B在闭合曲面上的磁通量必等于0。由于自然界中没有磁单极子存在,N极和S极是不能分离的,即磁场是无源场。
式(1-3)是法拉第电磁感应定律。这个定律通俗来说就是“磁生电”,即闭合线圈中的感应电动势与通过该线圈内部的磁通量变化率成正比,系数是-1。
式(1-4)是麦克斯韦—安培定律。根据安培环路定理:磁感应强度B沿闭合曲线L的线积分,等于穿过该闭合曲线传导电流的μ0倍。
图1.1麦克斯韦—安培定律
图1.1所示是包含电容器的简单电路,闭合曲线L1的截面有传导电流Ienc穿过,则
闭合曲线L2的截面在电容器的二极板之间,没有传导电流Ienc穿过,但二极板间存在电场和电通量,为此麦克斯韦于1865年引入“位移电流”假设,并定义位移电流Id为闭合曲线L2的截面有位移电流Id穿过,则麦克斯韦引入“位移电流”假设,将安培环路定理推广为全电流定律,即麦克斯韦—安培定律。
麦克斯韦—安培定律,揭示出磁场可以由传导电流激发,也可以由变化的电场激发。根据式(1-4)麦克斯韦-安培定律,变化的电场激发产生磁场;根据式(1-3)的法拉第感应定律,变化的磁场激发产生电场;电场和磁场密切地联系在一起,相互激发,组成一个统一的电磁波。如图1.2所示。
图1.2电磁波
麦克斯韦于1865年引入“位移电流”假设,在理论上预言了电磁波的存在,并从方程组中推测出光是一种电磁波。这些想法惊世骇俗,当时的实验条件并不能证明变化的电场激发产生磁场,变化的磁场激发产生电场,电磁波理论并不为大多数人接受。世界上只有少数科学家愿意接受这个理论并给予支持,德国物理学家赫兹就是其中一位。
1887年,在麦克斯韦去世后8年,赫兹通过实验证明了电磁波的存在。其实验装置如图1.3所示。
图1.3赫兹证明电磁波的实验装置
赫兹的实验装置极为简单,主要由电磁波发射器和接收器组成,电磁波发射器采用偶极振子,如图1.3,发射器为二金属棒,分别装有铜球A1和A2,二铜球间留有间隙,A1和A2为振荡偶极子的二极,铜球A1和A2之间产生一个振荡的高压电场,闪出耀眼的火花,激发一个向外传播的电磁波。探测器采用环状谐振器,铜环的二端同样是二个留有间隙的铜球B1和B2。赫兹实验发现,当发射振子二铜球A1和A2间隙有火花跳动时,接收器谐振器二铜球B1和B2间隙也有火花跳动。这样,赫兹通过实验,实现了电磁波的发射和接收,首次证明了电磁波的存在。
麦克斯韦统一了光电磁,完成了科学史上第二次伟大的综合,在麦克斯韦百年诞辰的纪念会上,爱因斯坦盛赞麦克斯韦对物理学做出了“自牛顿以来的一次最深刻、最富有成效的变革”。并一生以麦克斯韦方程组为科学美的典范,试图以同样的方式统一引力场。这一信念深刻影响了整个物理界,在“大一统理论”这条路上,物理学家们前赴后继地探究着科学的终极。
2.“位移电流”假设理论分析和实验测量
变化的电场真的能激发产生磁场吗?“位移电流”假设真的成立吗?
我们重新回顾一下1887年,德国物理学家赫兹证明电磁波存在的实验。
参照图1.3所示,在振荡偶极子的交变高电压驱动下,发射振子两个铜球A1和A2上的电荷量QA1(t)和QA2(t)将随时间周期性地变化,QA1(t)和QA2(t)使两铜球A1和A2之间形成周期性交变高电压,产生放电火花;铜球A1到接收器二铜球B1和B2的位矢分别为r11和r12;铜球A2到铜球B1和B2的位矢分别为r21和r22。
根据电场库仑定律,铜球B1上的电场强度
EB1(t) = k (QA1(t1)/r11 + QA2(t1)/r21) (2-1)
铜球B2上的电场强度
EB2(t) = k (QA1(t1)/r12 + QA2(t1)/r22) (2-2)
其中比例系数k = 1/4πε0,t1 = t - r11/c,c是电场的速度,等于光速。
电场强度EB1(t)和EB2(t)将在接收器铜球B1和B2上分别激发产生电荷量QB1(t)和QB2(t),电荷量QB1(t)和QB2(t)也随时间周期性地变化,其频率和电荷量QA1(t)和QA2(t)相同;通过调整结构参数,使发射振子和接收器形成谐振,从而可以在接收器二铜球B1和B2上集聚足够大电荷量QB1(t)和QB2(t),两铜球B1和B2间同样形成周期性的交变高电压,产生放电火花。
赫兹1887年的实验,当时人们对无线通信的了解几乎是零。一个半世纪后的今天,我们重新审视上述的实验,式(2-1)和(2-2)中只有电荷量和电场,并没有磁场出现,所以赫兹的实验并没有证明电磁波的存在,恰恰说明:电场波在发射端可以由电荷量的变化激发产生,电场波在真空(空气)中可以自身独立传播,电场波在接收端可以自身独立接收;电场波的产生,传播和接收,完全可以由电场独立完成,并不需要磁场的参与。即无线通信可以由电场波独立实现。
实际上,在赫兹的上述实验中,如果有磁场波的参与,反而在接收器铜球B1和B2难以激发产生足够大的周期性变化电场EB1(t)和EB2(t)。根据电磁波理论,变化的电场激发产生涡旋磁场,变化的磁场激发产生涡旋电场,如图1.2所示。这样的电磁波在空中将发散传播,接收器铜球B1和B2接收到的电场能量很小,二铜球B1和B2之间难以激发产生放电火花。
下面我们对“位移电流”假设进行理论计算分析。
假定“位移电流”假设成立,不失一般性,设有一点电荷,电荷量q(t1)按正弦函数变化,即
q(t1)=q0sinωt1
在空间有一点A,和该点电荷的距离为l,则A点的电场强度:
(2-3)
因电场的传播速度和光速C相等,则t1 = t – l /c, n为单位矢量,其方向由电荷q(t1)指向A点。为计算A点处由变化的电场EA(t) 激发产生的磁感应强度BA(t),在A点处选取一半径为Δr的圆截面,该圆截面垂直于电场强度EA(t),见图2.1。
图2.1 周期变化的电荷量激发的电场波和磁场波
当Δr相对于l 足够小,可以近似认为该圆截面内的电场强度相等,磁感应强度相等,则该圆截面有变化的电通量ΦEA(t),其对应的位移电流
根据“位移电流”假设,该“位移电流”激发产生的磁感应強度BA(t),有
其中LΔr是半径为Δr的圆闭合曲线。根据上式有
(2-4)
根据式(2-3),A点的最大电场强度为
(2-5)
A点的最大电场能量密度为
根据式(2-4),A点的最大磁感应强度为
(2-7)
A点的最大磁场能量密度为
(2-8)
为直观理解“位移电流”在A点激发产生的磁感应強度,令q0=10-6库仑,l=10m,Δr=0.001m,Δr << l ,此时根据式(2-4),A点的最大电场强度为
EAmax = q0 / (4 π ε0 l 2)
= 10-6 / (4 x 3.14 x 8.854 x 10-12x 102) v/m
EAMax= 89.9 v/m (2-9)
A点的最大电场能量密度为
PEAMax =ε0 EAmax2/2
= 8.854 x 10-12x 89.92 /2 J/m3
PEAMax =3.578 x 10-8 J/m3 (2-10)
根据式(2-7),A点的最大磁感应强度为
= (4 x 3.14x10-7 x 10-6x 0.001) / (8 x 3.14x102) T
BAMax= 5.0 x 10-19 T (2-11)
A点的最大磁场能量密度为
PBAMax = BAmax 2 / 2μ0
= (5.0x10-19)2 / (2x4x3.14x10-7)
PBAMax =9.95 x 10-32 J/m3 (2-12)
比较式(2-10)和式(2-12),在A点处由变化的电场激发生成的磁场,其磁场能量密度相对于电场能量密度微乎其微,所以即使“位移电流”假设成立,基于能量转换,在真空中,变化的电场能量并不能有效转换为磁场能量。
实际上,基于电磁波的能量转换和空间发散传播,在空间任一点交变部分的电场能量密度和磁场能量密度必定相等;在现代应用技术领域,无法实现大功率(数百瓦)远距离(数米)无线充电,也无法实现微波定向通讯。
进一步,取圆截面半径Δr=0.002m,由式(2-7)得,A点的最大磁感应强度为
= (4 x 3.14x10-7 x 10-6 x 0.002) / (8x 3.14x102) T
BAMax= 10.0 x 10-19T (2-13)
比较式(2-11)和式(2-13)的结果,A点的最大磁感应强度和选取圆截面半径Δr的大小相关,选取圆截面的半径Δr不同,得到的最大磁感应强度BAMax也不同;而且由式(2-7)可以直接得出:当选取的圆截面半径Δr趋近于零时,A点的最大磁感应强度BAMax为零。所以麦克斯韦“位移电流”假设在理论上不自洽。
麦克斯韦于1861年引入“位移电流”假设,经历了一个半世纪,至今没有一个实验直接证明其真伪。
图2-2a为本文作者用于证明“位移电流”假设的实验装置照片,图2-2b为该实验装置的电路原理图。图中由二块圆铝板组成电容C的二极板,极板的半径rc=100mm,二极板的间距dc=60mm,在二极板间隙的侧面设置有磁场感应线圈LBE,其半径rbe=25mm,高度10mm,圈数n=1000圈。感应线圈圆中心至电容C二极板中心的距离l=130mm,以l为半径围绕电容C选取感应磁场圆闭合曲线Lc,线圈的二引出线之间跨接感应电阻RBE=50Ω.。
2-2a用于证明“位移电流”假设实验装置照片
2-2b用于证明“位移电流”假设实验装置原理图
设电容C二极板之间的电压为V(t),电场强度为E(t),电通量为ΦE(t)。高压静电发生器M产生V0=20000V高压静电,充电开刀K1接通对电容C充电;放电开刀K2接通,电容通过电阻R放电,R=220kΩ。电容C放电时,电容C二极板间产生变化的电场,根据麦克斯韦“位移电流”假设,沿着闭合曲线Lc产生变化的磁场B(t),该变化的磁场使感应线圈LBE产生感应电动势VBE(t),该电动势可以在电阻RBE上检测到。
电容C的电容量
C = ε0 π rc2/ dc
= 8.85x10-12 x3.14x0.12/0.06
= 4.63x10-12 F
时间常数
RC=220x1000x4.63x10-12= 1.0x10-6 s =1.0us
电容C二极板间的电通量
ΦE(t) = E(t) π rc2
= π rc2 V(t) / dc
= 0.523 V(t)
则 dΦE(t) /dt = 0.523 V(t) /dt (2-14)
开刀K1断开,K2接通,电容C通过电阻R放电,电容二极板上电压V(t)呈指数下降,有
V(t) = V0 e –t/ RC
则 V(t) /dt = - (V0 / RC) e –t / RC (2-15)
由式(2-14)和式(2-15)得电容C二极板间电通量的变化率
dΦE(t) /dt = - (0.523V0 / RC) e –t / RC dΦE(t) /dt = -1.046 x 1010 e –t / RC (2-16)
如果“位移电流”假设成立,根据麦克斯韦方程组(1-4)有
(2-17)
把穿过感应线圈LBE的磁感应强度B(t) 看作均匀磁强,近似计算处理,由上式得
(2-18)
上式的交变磁通量在感应线圈LBE产生感生电压,根据麦克斯韦方程组(1-3)有
上式左边为感应线圈LBE单圈的感应电压,有
磁场感应线圈LBE的圈数n=1000,LBE总的感应电压
(2-20)
式(2-20)感应电阻RBE上的电压呈指数下降,其电压波形如图2.3
图 2.3 根据“位移电流”假设计算得到的感应电压波形
图中,t = 0时,VBE = 0.279V;t = 1us时,VBE = 0.102V;t = 2us时,VBE = 0.037V;t = 3us时,VBE = 0.014V。
图2-4为示波器在感应输出电阻RBE上实际检测得到的电压波形图,并没有出现我们计算预计看到的如图2-3所示的感应电压波形,这说明电容C放电时,电容C二极板间电通量的变化,并没有如“位移电流”假设所预计激发产生的磁场。所以上述实验直接证明“位移电流”假设不成立。
2.4 示波器检测电压波形(中空磁场感应线圈)
在图2-4波形图上,RBE上的电压波形出现最大峰值为0.4V,上下对称的振荡波形,该振荡波形经过1us,几乎已经衰减到零。当我们在中空磁场感应线圈LBE中插入铁氧体材料时,该对称振荡波形仍然存在,而且波形几乎没有变化,见图2-5。所以该振荡波形可以确定不是由于“位移电流”假设产生的交变磁场激发感应产生的,应该为电容C二极板快速放电时电场产生的干扰信号。
图 2.5示波器检测电压波形(铁氧体磁场感应线圈)
综上分析,我们得到如下结论:
(1) 电场波的产生、真空中的传播和接收,电场波自身可以独立完成,不需要磁场波的参与。
(2) 基于能量转换,“电磁波”在真空中变化的电场能量并不能有效转换为磁场能量。
(3) 基于传播方式,“电磁波”在真空中涡旋向外发散传播,无法实现定向通讯。
(4) 麦克斯韦“位移电流”假设在理论上不自洽,对于空间上同一个点,当选取的圆闭合曲线半径不同时,得到的磁感应强度也不同。
(5) 实验直接证明:麦克斯韦“位移电流”假设不成立:即在真空中,变化的电场不能激发产生磁场。所以,真空中也不存在“电磁波”;光必定不是“电磁波”,光是光场波自己。
3.磁场感生电场理论分析和实验证明
在真空中,变化的电场不能激发产生磁场。那么变化的磁场能否激发产生电场?这是麦克斯韦方程组第三个方程(1-3),即法拉第电磁感应定律表述的内容,其积分型式为
(3-1)
为此,我们采用对称圆柱形电磁线圈LB,由交变电流,产生交变磁场,求证真空(空气)中A点由交变磁场激发产生的电场。如图3.1所示。
图3.1交变磁场和选取真空圆环对称结构
假定式(3-1)成立,我们经过A点在真空中选取一封闭圆环LE1,半径为r1,其圆心位于电磁线圈LB的中心轴线上,该封闭圆环LE1垂直于电磁线圈LB的中心轴线。由于圆柱形电磁线圈LB产生的交变磁场相对于封闭圆环LE1全方位立体对称,所以真空中,封闭圆环LE1上每一点的电场强度E0必定相等。
在封闭圆环LE1上,相对于A点另取一点B,AB为该封闭圆环LE1的直径,则B点相对于A点的电压
UBA= π r1 E0 (3-2)
同样根据对称性原理,A点和B点的电势必定相等,则
UBA= 0 (3-3)
根据式(3-2)和(3-3),得到
E0= 0
即真空封闭圆环LE1上,由LB交变磁场激发产生的电场强度处处相等并等于零,封闭圆环LE1为等电势圆环。所以在真空中交变磁场不能激发产生电场。
我们把图3.1中,在真空中选取的半径为r1的封闭圆环LE1,改为半径r1的封闭金属圆环LE2,参见图3.2。
图3.2交变磁场和金属圆环对称结构
同样在该封闭金属圆环LE2中,电场强度处处相等并等于零,封闭金属圆环LE2为等电势圆环。但根据楞次金属环实验,我们确认封闭金属圆环LE2中存在交变电流,并且该交变电流产生的交变磁场和LB的交变磁场相斥。封闭金属环LE2中电场强度处处为零,而环中有电流流动,该金属环LE2表现出“零电阻”的特性,我们称这样的电流封闭金属环为等电势金属电流环。
分析上述现象,线圈LB的交变磁场使金属环内的磁通量发生变化,其物理本质是线圏LB激发产生的交变磁力线切割金属环LE2,等价于金属环LE2中的电荷相对于磁场运动。
根据洛伦兹磁场力定律,磁场力驱动金属环LE2中的电荷定向移动,形成电流,我们定义由磁场驱动电荷生成的电流为磁场电流IB。为区别,我们定义由电场驱动生成的电流为电场电流IE,或简称为电流。在图3-2中,由于对称性,金属环LE2中磁场电流IB在金属环LE2中均匀流动,电荷也均匀分布,所以金属环LE2中电场强度处处为零。
上述封闭金属环LE2中的磁场电流IB,由洛伦兹磁场力定律决定,其矢量表达式为
F = qvx B (3-4)
磁场力F、电荷速度v和磁感应強度B三者方向遵守右手螺旋定则。
对于上述等电势金属电流环LE2,设该金属环电阻为R,其磁场电流IB的热功率损耗是否满足欧姆定律,即W =IB2 R是否成立。等电势金属电流环的特性还需要进一步深入研究。
对于图3.2的实验,平移封闭金属环LE2,使金属环LE2的圆心偏离LB的中心轴线,如图3.3所示。
图3.3交变磁场和金属圆环非对称结构
平移后的封闭金属环为LE3。A点的磁感应强度BA小于B点的磁感应强度BB,电荷在A、B二点处受到的洛仑兹磁场力不等,由于在封闭金属环LE3中的电荷在不同的位置受到的洛仑兹磁场力不同,金属环LE3中的电荷分布不均匀,金属环各点之间存在电场和电势差。所以,此时金属环LE3中的电荷在磁场力和电场力双重作用下移动,金属圆环LE3既存在磁场电流IB,又存在电场电流IE,磁场电流IB和电场电流IE相互抵消。
等电势金属电流环只有磁场电流IB,其磁场能和电场能之间的转换效率最高,所以变压器和电机等电器设备在工艺允许的条件下,磁路和电路结构应尽量采用对称结构,全部或部分实现等电势金属电流环结构。
调整上述封闭金属环LE2和LE3所在磁场的磁感应强度,使二金属环的磁通量变化率相等,即式(3-1)的右边相等。但封闭金属环LE2只有磁场电流IB,而封闭金属环LE3既存在磁场电流IB,又存在电场电流IE,即式(3-1)法拉第电磁感应定律不仅和封闭金属环的磁通量变化率有关,而且和封闭金属环的结构有关,所以法拉第电磁感应定律对于金属环只是一个近似经验公式,在理论上不完备。
对于式(3-1)的法拉第电磁感应定律,闭合环路电场的线积分,根据电场和电势的定义,是同一点的电势差,必定为零。可以设想在金属环LE2和LE3有一切口,电荷在磁场力驱动下,在切口二端堆积,从而在金属环内产生电场和电势。但根据上述分析,该电势除了和金属环磁通量变化率有关,而且和金属环的结构有关。
综上分析,我们得到如下结论:
(1) 在真空中,变化的磁场不能激发产生电场;即在真空中,法拉第电磁感应定律不适用。
(2) 等电势金属电流环只有磁场电流IB,具有“零电阻”特性,磁场能和电场能之间的转换效率最高;变压器和电机等电器设备在工艺允许的条件下,磁路和电路应尽量采用对称结构。
(3) 法拉第电磁感应定律作为一个近似经验公式,适用于金属线圈的“磁生电”,但在理论上不完备。
(4) 法拉第电磁感应定律的物理本质是洛伦兹磁场力定律,即在磁场中运动的电荷受洛伦兹磁场力作用。
4. 电磁学三大基本定律
通过上面理论计算及实验验证得出:麦克斯韦方程组,4个方程中有2个是不完备、错误的。本文根据电荷、电流、电场和磁场之间的物理本原联系,对电磁学归纳总结为三大基本定律。
4.1 库仑定律
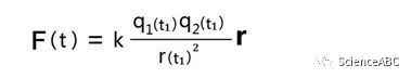
库仑定律是电磁场理论的基本定律之一,真空中两个点电荷之间相互作用的电场力F(t),与两个点电荷的电荷量q1(t1)、q2(t1)的乘积成正比,与两个点电荷的距离r(t1)的平方成反比,作用力的方向在它们的连线上,同种电荷相斥,异种电荷相吸,即
(4-1)
其中k为静电力常量,在真空中 k=9.0×10 9 Nm2/c2,r为r(t1)的单位矢量。
电场的传播速度和光速c相等,所以t1 = t – r(t)/ c。电荷量q1(t1)、q2(t1)和距离r(t1)是时变的,电场力F(t)也随着时间变化。
电场、电场强度、电通量、电势、电势能以及电场的高斯定理都是库仑定律的数学拓展和应用推广。
4.2 洛仑兹磁场激发定律 -- 运动电荷激发产生磁场
运动电荷激发产生了磁场,运动电荷是产生磁场的唯一直接原因。
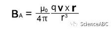
真空中,运动电荷q(t1)的速度为v(t1),设空间一点A和电荷q(t1)的距离r(t1),该运动电荷q(t1)在A点激发产生磁感应强度
(4-2)
B(t)的方向垂直于v(t1) 和r所决定的平面,若q(t1)>0,则B(t)和v(t1) x r同向,若q(t1)<0,则B(t)和v(t1) x r反向。
毕奥-萨伐尔定律、安培环路定律等是洛仑兹磁场激发定律的数学拓展和应用推广。
4.3 洛仑兹磁场力定律 -- 磁场中的运动电荷受磁场力作用
真空中,速度为v(t)的电荷q(t)在磁场B(t)中运动,电荷q(t)受到的洛仑兹磁场力F(t),磁场力公式
(4-3)
安培定律、法拉第电磁感应定律、质谱仪和回旋加速器等在物理本质上都是洛仑兹磁场力定律的数学拓展和应用推广。
法拉第电磁感应定律是麦克斯韦方程组的第三式(1-3),广泛应用于涉及电磁变换的各种电器装置,如变压器及电机等的设计。但法拉第电磁感应定律本质上是一个近似的经验公式,在理论上并不完备,线圈回路的形状和材料特性都会影响其结果。
5.电荷和电场、磁场及光场
在真空中,变化的电场不能产生磁场,变化的磁场不能产生电场,所以真空中不存在电磁波,光必定不是电磁波,光是光场自己。
5.1电荷和电场
对于电荷q,空间任意一点A的电场强度
(5-1)
其中k为静电力常量,r是电荷q到点A的距离,r为r的单位矢量。
对于特定的电荷q,A点的电场强度EA,仅仅和A点相对于电荷的位置r有关,所以电场是电荷的位置特性。
电荷是产生电场的唯一直接因素。电场、电场波在真空中以电场独立传播,其传播速度为C,和光速相等。
5.2电荷和磁场
运动电荷产生了磁场,空间任意一点A的磁感应强度
(5-2)
v是电荷q的速度,r是电荷q到A点的距离,r为r的单位矢量。对于静止的电荷q在A点并不产生磁场,只有运动的电荷q才能产生磁场,而且磁感应强度和电荷q的运动速度成正比。所以磁场是电荷的速度特性。
运动电荷是产生磁场的唯一直接因素。磁场、磁场波在真空中以磁场独立传播,其传播速度为C,和光速相等。
5.3电荷和光场
电子从高能级跃迁至低能级,电子释放出光子;电子吸收光子,电子从低能级跃迁至高能级。所以光场是电荷的加速/减速特性。
X射线和γ射线,其产生机理也是由于电荷的跃迁及加速/减速,所以他们也属于光场。
光场/光波在真空中以光场/光波独立传播,其传播速度为C。
5.4电场、磁场和光场通过电荷实现相互激发转化
电场、磁场和光场分别是电荷的位置特征、速度特征和加速度特征。所以电场、磁场和光场在真空中的传播速度相等,都为C是自洽的,合理的。电场、磁场和光场三者之间不能直接激发转化。
电场不能直接激发产生磁场。电场可以通过电荷间接激发产生磁场;电场驱动电荷运动,电荷运动激发产生磁场。
电场不能直接激发产生光场。电场可以通过电荷间接激发产生光场;电场驱动电荷跃迁、加速/减速,激发产生光场。
磁场不能直接激发产生电场。磁场可以通过电荷间接激发产生电场;磁场驱动电荷移动,电荷位置的变化激发产生电场。
磁场不能直接激发产生光场。磁场可以通过电荷间接激发产生光场;磁场驱动电荷跃迁、加速/减速,激发产生光场。
光场不能直接激发产生电场。光场可以通过电荷间接激发产生电场;光场驱动电荷移动,电荷位置的变化激发产生电场。
光场不能直接激发产生磁场。光场可以通过电荷间接激发产生磁场;光场驱动电荷运动,电荷运动激发产生磁场。
物理世界不存在“电磁波”,电场波、磁场波和光场波自身独立传播。电场波适合于远距离无线通信,磁场波适合于近距离功率变换,电机转子的输出驱动力本质上是洛仑兹磁场力。对“电磁波”的否定,将使我们对于微观量子和宏观宇宙的认识更加真实和深刻。
6.结束语
麦克斯韦电磁学方程组是19世纪物理学最伟大的科学成果,包含4个微积分方程,在理论上预言了“电磁波”的存在。
本文通过理论和实验直接证明:麦克斯韦“位移电流”假设不成立,即在真空中变化的电场不能激发产生磁场,麦克斯韦方程组第4方程不成立。
同样,在真空中变化的磁场不能激发产生电场,麦克斯韦方程组第3方程,即法拉第电磁感应定律在真空中不成立;法拉第电磁感应定律作为一个近似经验公式,广泛应用于金属线圈的“磁生电”,但在理论上不完备;本文提出了磁场电流和具有“零电阻”特性的等电势金属电流环,在理论上完善了法拉第电磁感应定律。
本文根据电荷、电流、电场和磁场之间的物理本原联系,对电磁学归纳为三大基本定律:库仑定律,洛仑兹磁场激发定律,洛仑兹磁场力定律。
电场、磁场和光场分别是电荷的位置特征、速度特征和加速度特征;电场、磁场和光场在真空中的传播速度都为C。电场、磁场和光场三者之间不能直接激发转化,但电场、磁场和光场可以通过对电荷的作用间接实现相互激发转化。真空中不存在“电磁波”,无线通信可以由电场波、磁场波和光场波自身独立传播。电场波适合于远距离无线通信,磁场波适合于近距离功率变换。
本文否定了“电磁波”的存在,完善了法拉第电磁感应定律,将对科学发现和技术进步产生深远的影响。
7.进一步的工作及展望
7.1科学展望
电磁学是自牛顿以来,物理学中最深刻、最有成效的变革。为狭义相对论和量子力学打下了理论基础,是现代物理学的先声。
本文基于理论和实验否定了真空中“电磁波”的存在,将对现代微观量子科学和宏观宇宙探索产生深刻的影响。把“电磁波”细分为相互独立的电场波、磁场波和光场波,将拓展和加深人类对于微观粒子、激光、黑体辐射、宇宙背景辐射、宇宙星系、黑洞、中子星和脉冲星等基础科学的理解。
7.2技术及应用展望
电磁学是19世纪以电气化为特征的第二次工业革命和以微电子信息化为特征的现代社会的技术基础。
本文提出了磁场电流和具有“零电阻”特性的等电势金属电流环,在理论上完善了法拉第电磁感应定律,基于基本原理,将大大提高变压器、电动机等关键电器部件的性能和能耗。磁场电流用于微电子技术,将大大减低集成电路的功耗,提高芯片的集成度。
本文基于理论和实验否定了真空中“电磁波”的存在,将对现代无线微电子技术产生深远的影响。完善射电望远镜等大科学装置的设计理论;为无线通信技术、雷达技术、隐形技术和微电子数字技术提供新的理论基础,包括我们天天在使用的4G/5G手机
作者:叶洪源 ye001@hotmail.com