近日,韩国科学技术先进研究院Bumjoon J. Kim教授和乔治亚理工学院Seung Woo Lee教授通过系统地调节相的体积比,制备了不同相分离结构的塑晶嵌入弹性体电解质(PCEEs),以阐明PCEEs在LMBs中的结构-性能-电化学性能的关系。在弹性体相与塑晶体相的最佳体积比(即1:1)下,双连续结构PCEEs由高效的离子传导塑晶通道组成,在交联弹性体基体中能够长距离相互连接。在25°C下,表现出极高的离子电导率(~10-3 S cm-1)和优异的机械弹性(断裂伸长率≈300%)。采用这种优化的PCEEs、35 μm厚的Li负极和高载量LiNi0.83Mn0.06Co0.11O2(NMC83)正极的全电池提供了437 Wh kg负极+正极+电解质-1的高能量密度。
研究亮点
(1)本工作通过精确控制弹性体与塑晶相的体积比,可得到各种不同连通性和弯曲度的相分离结构。PCEEs的机械和电化学性能高度依赖于其相分离结构。(2)在20℃下,PCEEs中塑晶相的低弯曲度有助于获得超过1 mS cm-1的高离子导电率。双连续结构PCEEs的塑晶相具有局部高浓度的锂离子,导致高的转移数(tLi+),超过0.7。(3)双连续结构的PCEEs含有大量的弹性体相,在不影响其锂离子传输性能的情况下,产生了优越的机械弹性(断裂伸长率≈300%)。
图文导读
以丙烯酸丁酯(BA)和琥珀腈(SN)为原料合成了PCEEs。当使用纯BA基溶液时,可以合成具有优良机械弹性的交联聚弹性体,但其离子电导率很低。当使用纯SN基溶液时,SN-LiTFSI表现出4.17 mS cm-1的高离子电导率。然而,小分子基塑晶电解质具有非常脆的性质,没有弹性。因此,为了获得既具有优良力学性能又具有离子导电性的PCEEs,在50℃下,以不同体积比混合BA-和SN基溶液,合成了不同结构的PCEEs。各相的连通性和畴大小决定了PCEEs的整体性能,如离子导电性和机械稳定性。因此,为了阐明PCEEs的结构、性能和电化学性能之间的重要关系,研究了具有不同相分离结构的PCEEs。根据各相的优势,可以确定三个典型的情况:弹性体主导结构,双连续结构和塑晶主导结构。图1总结了每种结构的重要性质。为方便起见,不同的PCEEs用BAX表示,其中X为BA的体积分数(以百分数表示)。
图 1、a)根据相的体积比,PCEEs的结构-性能关系示意图。b)描述了弹性体主导结构、双连续结构和塑性晶体主导结构三种典型情况。图2a显示,离子电导率与SN体积分数(fSN)的对数图可划分为四个特征区域。在极低fSN时(区域1;fSN≤0.02),PCEEs表现出非常低的离子电导率(<10-7 S cm-1),表明过低的SN体积分数无法在弹性体基质中形成连接的离子传导路径。当fSN从0.02增加到0.05(区域2)时,PCEEs的离子电导率急剧增加到~10-5 S cm-1。这种增加可以归因于塑晶相之间连接增加。电导率急剧增加的点(fSN=0.035)可以被认为是渗透阈值(fp)。PCEEs的离子电导率在fSN=0.05~0.50(区域3)之间逐渐增大,区域4(fSN≥0.50)中PCEEs离子电导率再次急剧增加,接近~1 mS cm-1。PCEEs中双连续结构的形成可以通过其弯曲度的变化来研究(图2b)。由于PCEEs的离子电导率强烈依赖于PCEEs内离子导电SN相的连通性,可以表示为σSN(BA0的离子电导率)、fSN(SN相的体积分数)和τ(PCEEs的弯曲度)的函数,即:
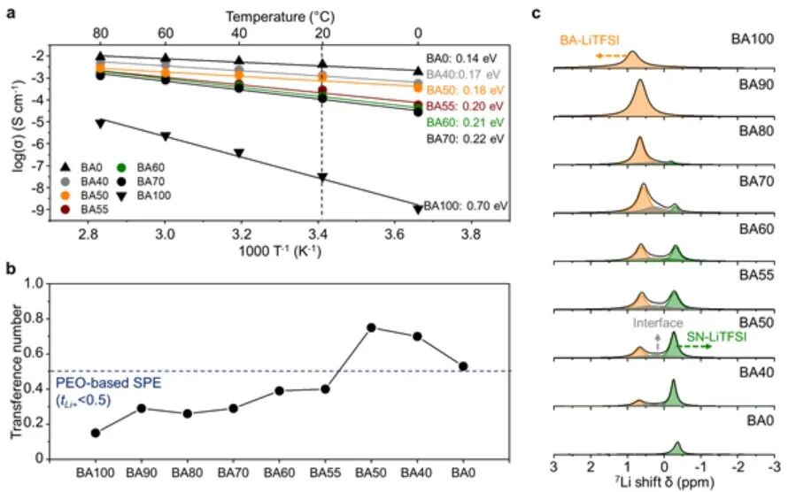
图 3、a)PCEEs、BA100和BA0的离子电导率随温度的Arrhenius图。b)PCEEs、BA100和BA0的锂离子转移数。c)PCEEs、BA100和BA0的7Li固态核磁共振谱。利用拉伸机获得了不同BA:SN体积比的PCEEs的应力-应变曲线,比较了它们的力学弹性。fSN≤0.50的PCEEs具有同样高的伸长率(断裂伸长率>300%),这归因于BA基弹性体优异的弹性(图4a)。而BA40的弹性体体积分数降低,其伸长率显著降低(断裂伸长率≈160%)。通过对PCEEs的应力-应变曲线进行积分,比较了PCEEs的韧性(图4b)。随着fSN从0.5增加到0.6,PCEEs的韧性值显著降低。因此,0.50的fSN是PCEEs具有优异力学性能的临界体积分数。BA50的高机械回弹性如图4c所示。截面积为20 mm2的BA50试样能够反复举起200g的重物并恢复原状。此外,图4d显示了PCEEs在角频率为1 rad s-1时的存储(G’)和损耗(G”)模量和损耗角正切值(由动态剪切流变测量确定)。以BA70为例,fSN为0.3时,存储模量显著超过损耗模量,反映了该PCEEs的弹性。当PCEEs的fSN从0.3(BA70)增加到0.5(BA50)时,G’和G”略有下降,但损耗正切仍小于1。当fSN进一步增加到0.6(BA40)时,模量显著减少,损耗正切增加,以致其接近1,表明失去弹性。这些结果表明,fSN=0.6是PCEEs弹性受到塑晶相体积显著影响的临界点。
图 4、a)拉伸速率为100 mm min-1时,PCEEs的应力-应变曲线。b)通过积分(a)中PCEEs的应力-应变曲线确定PCEEs的韧性值。c)BA50试样提升200 G重物的照片。d) 在1 rad s-1角频率下,PCEEs的动态存储(G’)和损失(G”)模量和损耗正切。图5a显示,在5 mA cm-2下,BA70组装的锂对称电池在第一个循环发生短路。添加BA60的电池在1000 h时锂可逆性显著提高,但在100 h时,电压曲线呈“拱形”形状,在420和620 h后,极化有两次显著增加(图5a),这可能与枝晶或死锂的积累有关。BA50电池表现出良好的循环性能,在1000 h内极化低于10 mV。但BA40电池的力学稳定性较差,仅能维持375 h,即它不能阻止Li枝晶的穿透。通过将PCEEs与锂金属负极和NMC-83正极配对组装成全电池。100次循环后,BA70全电池容量保持率为54%(76 mAh g-1),平均库伦效率为98.9%,BA60全电池表现出更高的容量162 mAh g-1(容量保持率87%),平均库伦效率为99.3%(图5b)。BA50全电池具有188 mAh g-1的高容量,容量保持率92.4%,库伦效率高达99.5%(图5c)。然而,在100次循环后,BA40电池的容量逐渐下降到37 mAh g-1(容量保持率20%)。为了建立PCEEs的结构-性能-电化学性能关系,计算了以下参数的相对值:离子电导率、tLi+、机械弹性(断裂伸长率)、对称锂电池的电压极化,以及100次循环后全电池的容量保持率(图5d)。BA50具有优异的循环性能,锂离子输运和力学性能更为平衡,表明BA50具有最佳的PCEES结构。
图 5、a)具有PCEEs的对称锂电池循环性能。b)在0.2C下,全电池的循环性能。c)在第100个循环时,不同PCEEs全电池对应的恒流充放电(GCD)曲线。d)比较不同PCEES结构的参数相对大小:20℃时的离子电导率、tLi+、机械弹性、对称锂电池的电压极化,以及100次循环后全电池的容量保持率。图6a 显示,在0.1 mA cm-2下,正极NMC-83载量为13和16.5 mg cm-2的全电池分别提供了2.7和3.3 mAh cm-2的高容量。含BA50的全电池在室温下,表现出437 Wh kg负极+正极+电解质-1(742 Wh kgNMC-83-1)的高比能量。这是之前报道的使用聚合物、无机和复合电解质的电池中最高的(图6b)。PCEEs基全电池的高比能可以归因于薄锂金属负极和弹性电解质的重量较轻(图6c)。
图 6、a)不同NMC-83正极载量下,在0.1 mA cm-2时,BA50全电池的GCD曲线。b)在环境温度下,该全电池比能量和以前报道的聚合物、无机和复合电解质电池的比较。c)传统固态电解质和弹性电解质体系示意图。
总结与展望
本工作通过控制BA和SN相的体积比,制备了一种双连续结构的PCEEs,该结构包括在交联弹性体基体中具有远程连通性的高效离子传导塑晶通道。将不同BA:SN体积比的PCEEs锂离子输运行为划分为四个不同的区域,这些区域与塑晶相的连通性有关。塑性晶相的渗流阈值在区域2,fSN在0.03~0.05之间,而在区域4(fSN≥0.5)形成了最佳的双连续结构PCEEs。双连续PCEEs(BA50)具有优良的锂离子输运性能(~1 mS cm-1;tLi+在20℃时超过0.7),而不牺牲弹性体的机械弹性。与其他BA:SN比的PCEEs相比,基于BA50的对称Li电池和全电池具有优异的Li电镀/剥离性能。优化后的PCEEs(BA50)在35 μm厚的Li负极和高载量NMC-83正极的条件下,获得了437 Wh kg负极+正极+电解质-1的高能量密度。
文献链接
Role of Bicontinuous Structure in Elastomeric Electrolytes for High-Energy Solid-State Lithium-Metal Batteries. (Advanced Materials, 2022, DOI:10.1002/adma.202205194)原文链接:https://doi.org/10.1002/adma.202205194