锂离子电池充放电过程中,锂离子的传输要穿过多种表面和界面,表界面的性质对电池的功率密度、能量密度、充放电效率、使用寿命、循环稳定性等具有重要的影响。表界面一般具有与体相不同的结构,在原子尺度上直接观察不同电化学状态下电极表界面的结构,有助于从更深层次认识电化学反应机理和性能演化规律,对于改善锂离子电池性能具有重要的指导意义。


锂离子电池的表界面问题是影响锂离子电池性能最关键的问题之一,也是锂离子电池领域最活跃的研究热点之一。对表界面问题的深入理解需要依赖多尺度、高精度的分析手段。球差校正透射电子显微镜以及原位透射电镜的发展,使得对电极材料的表面界面结构进行原子尺度的原位表征变为可能,极大地促进了人们对电化学反应过程中表界面反应机制的深入理解,对电极材料的设计和开发具有指导意义。


球差校正透射电子显微成像技术在研究电极材料表界面结构原子尺度研究中有哪些应用?


特殊的相界面、SEI、表面相变、表面掺杂等,如何探究原子尺度结构与性能的内在关系?


锂离子电池材料表界面的重要性


锂离子电池通过锂离子在正负极之间的迁移实现电能的储存和转化,在电子及离子的迁移过程中会涉及到 多个尺度的表界面效应对电池性能产生影响。


从宏观尺度到微观尺度,这些界面可以分为电极与电解液之间的固液界面、电极组成颗粒之间的固固界面、晶粒与晶粒之间的晶界、相与相之间的相界等。由于表界面处的原子排布、元素组成都与体相结构有较大差异,会导致材料在表界面处形成缺陷、化学反应活性位点或存在应力的积累,这些都会使材料表界面具有与体相结构完全不同的物理化学特性。


同时,伴随着锂离子反复脱嵌的过程。锂离子脱嵌和电子转移,使得电极表面有可能形成新相,产生一些具有特殊结构的相界面。表界面结构影响电子和锂离子的传输,从而影响电池的功率密度、能量密度、充放电效率和循环性能等。


电化学循环中电极表界面的结构信息能够促进更加深入的理解其化学反应机理和性能演化规律,从而优化和开发新电极材料。


常用的材料结构表征手段有X射线衍射(XRD) 、中子衍射 (ND) 、X射线吸收谱(XAS) 、电子显微术等。通过XRD、ND、XAS能够得到原子的占位、组成元素的价态和周围的化学环境等信息,但是由于空间分辨率不足,只能反映材料结构的整体特征。


电子显微术包括透射电子显微术(TEM) 、扫描电子 显微术(SEM) 和扫描透射电子显微术(STEM) 等,随着 球差校正技术的出现,透射电子显微镜的分辨率已经能达到亚埃量级。


高角度环形暗场扫描透射电子显微技术(HAADF-STEM) 可得到原子分辨像,但成像衬度强烈依赖于原子序数Z,不能直接观测轻原子,比如电池电极材料中和重要的锂和氧。


球差校正环形明场扫描透射电子显微成像技术( ABF-STEM) 不仅可以得到能够直接解释的高分辨电子显微像,而且图像衬度与原子序数Z的1/3次方成正比,实现了轻重原子同时成像。目 前,采用该方法已经实现了对锂、硼、碳、氮、氧甚至 氢的直接成像,并在锂离子电池电极材料显微结构的表征中得到了广泛应用。


本文会着重介绍少球差校正扫描透射电子显微镜在研究几种典型电极的表界面结构中的应用,并探讨了结构对电池性能的具体影响。其中,常见的正极材料包括橄榄石型LiFePO4、层状LiCoO2和Li2MnO3、尖晶石型LiMn2O4和硫等,负极材料包括层状石墨类材料和尖晶石型Li4Ti5O12等。


正极材料的表界面结构


1. 橄榄石型LixFePO4中的相界面———“二阶”结构


在1997年Goodenough等首次提出LiFePO4可以作为锂离子电池的正极材料,虽然LixFePO4的发现时间早, 已经进行了很多研究,在实际运用中取得了一些成果, 但是仍然存在许多问题没有解决,其中,关于电极脱嵌锂过程中LiFePO4FePO4的相转变的微观反应机制一直尚未明确。


研究发现LiFePO4的充放电过程中存在明显的电位平台,认为LiFePO4在脱嵌锂过程中发生两相分离反应。为了弄清相转变的微观反应机制,提出了很多模型,包括核-模型( coreshell model) 、马赛克模型( mosaic model) 、新核-壳模型( new core-shell model)、多米诺模型( dominocascade),但是都没能对两相结构界面的细节进行描述。



中科院物理所谷林等在JACS发表的一篇文章中,采用球差校正环形明场成像技术,直接观察到了部分脱锂的LiFePO4单晶纳米线(d = 65 nm) 中锂离子隔行脱出的现象。(上图,DOI:10.1021/ja109412x)


图1 不同充电状态下LiFePO4沿[010]方向的ABF 像: ( a) 初始状态,( b) 完全充电状态,( c) 半充电状态。图中黄色圈和橘色圈分别表示锂占据和脱出的位置


如图1所示,其中黄色圈和橘色圈分别表示锂原子存在位置和脱出位置。与石墨插层化合物中出现的单相“二阶”结构类似,与之前所提出的两相反应的模型均不相同。



此后,Ceder团队Nature Materials发表的一项工作中,通过Monte Carlo模拟计算也发现脱嵌锂过程中存在单相反应,形成类似阶结构的亚稳中间相,从另一角度解释了低电子和离子电导的LiFePO4可以快速充放电的原因。(上、下图,DOI:10.1038/nmat3065)



进一步研究发现,“阶”结构主要存在于LiFePO4FePO4两相之间,形成LiFePO4/“阶”界面相/FePO4的三相共存结构,而且 “阶”结构界面存在明显的尺寸效应,即当颗粒尺寸由100 nm减小到70 nm 时,界面区的“阶”结构由2 nm 增加到15 nm。



中科院物理所索鎏敏等研究了部分脱锂的Nb掺杂的LiFePO4(d = 200 nm) 纳米颗粒的原子结构,观察到了LiFePO4和FePO4两相界面处的高度有序的“阶”结构,表明Nb的掺杂并不会影响“阶”结构的形成,说明 了形成的单相“阶”结构是本征的亚稳相或者中间相。(上图,DOI:10.1039/C2CP40610A)




黄学杰团队通过密度泛函理论研究“阶”结构的形成机制,发 现两相反应在热力学上是有利的,热力学和动力学影响因素相互竞争导致LiFePO4在脱锂过程中出现LiFePO4 / “阶”界面相/FePO4的三相共存结构。(上图,DOI:10.1021/cm3028324)


另外,当电解质中存在水汽和羟基时,在LiFePO4表面会生成惰性的LiFePO4 (OH) ,这使电池循环性能差出现容量衰减,因此提高电极材料表面结构的稳定性对改善电池性能起着很关键的作用。(DOI:10.1016/j.elecom.2009.12.003)


LiFePO4作为锂离子电池的正极时,其电导率低是影响其性能的重要因素。为改善其电化学性能,提出了碳包覆纳米LiFePO4颗粒,碳包覆层不仅可以改善纳米颗粒电极材料表面间的电子转移,而且为电子在纳米颗粒电极材料之间和纳米颗粒电极材料和集流体之间的电子传导提供了额外的途径,明显改善了电池的倍率性能。


2. 层状LiCoO2的表面结构相变


LiCoO2是第一代商业化锂离子电池的正极材料,并且现在仍然主导着便携式电子设备的市场,LiCoO2具有多种结构,包括O1型、O2型和热力学稳定的O3型,其 中O1型中的氧是ABAB 型排列,O2型中的氧是ABAC排列,O3 型中氧是ABCABC排列。


图2 LiCoO2纳米颗粒充放电前后沿[010]方向的HAADF像和ABF像: (a) 和(b) 初始状态; (c) 和(d) 放电至3.0 V


卢侠等采用球差校正的扫描透射电子显微镜成像技术首次O3型LiCoO2电化学过程中直接观察到了O2型结构,LiCoO2经过第一个脱嵌锂过程后,表面位置的Co原子从过渡金属层转移到Li 层,产生Li-Co 反位缺陷,使得表面Li 层的衬度相比于体相明显增加.


如图2所示,材料的表面结构从层状结构变成了盐岩结构。表面Co原子占据Li层的八面体位置会导致表面层间距与体相不同,阻碍锂离子在Li 层的迁移,从而影响电池的倍率性能。(DOI:10.1021/nl303036e)


著名球差电镜专家、世界陶瓷科学院院士、日本东京大学教授幾原雄一(Yuichi Ikuhara)团队对LiNi0.8Co0.15Al0.05O2三元正极材料的研究表明,第一次电化学循环后,电极表面过渡金属离子迁移至Li层,导致表面结构相变,并认为阳离子互占位使表面结构相变是电化学循环可逆容量损失的主要原因。(DOI:10.1149/1.3544843)


为了提高其可逆容量,可以考虑采用表面包覆的方法,来抑制电化学循环过程中结构相变。此外,可以采用掺杂的方法, 使更多的锂离子从晶格中脱出,提高电池的能量密度。降低LiCoO2的成本和提高较高温度下的循环性能也是重要的研究方向。


3. 层状Li2MnO3中的表面掺杂改性


2001年,Thackeray和Johnson提出了一种具有复合结构的材料,其结构是一层Li2MnO3和一层LiMO2或一 层LiM2O4( M=Fe,Mn,Ni,Co,etc. ) 复合而成,并且证明了其比容量达到250~300 mAh /g,使用该材料作为正极的锂离子电池的能量密度达到了300 Wh/Kg,比 LiCoO2作为正极材料时最大能量密度220 Wh/Kg大很多。 (DOI:10.1039/B417616M)


富锂层状氧化物作为锂离子电池的正极材料,具有比容量高、成本较低、安全性好的优点,近年来受到广泛关注。但是,富锂层状材料作为锂离子电池正极时,存在循环过程中容量损失和电压衰减的问题,这些问题与锂离子的扩散系数低有很大关系。


有研究表明采用Al2O3、AlPO4、AlF3进行表面包覆可以在一定程度上缓解这些问题,因为表面包覆可以抑制SEI和表面相的形成,SEI和表面相均是导致锂离子扩散系数低的原因。但是这种方法只能提高电极表面区锂离子的扩散系数,而不能提高电极内部。 此外,纳米结构使电子和锂离子的扩散路径显著缩短以改善电池的倍率性能,但是同时也会导致体积膨胀和副反应等问题。


图3 表面Na+浓度梯度掺杂电极结构示意图


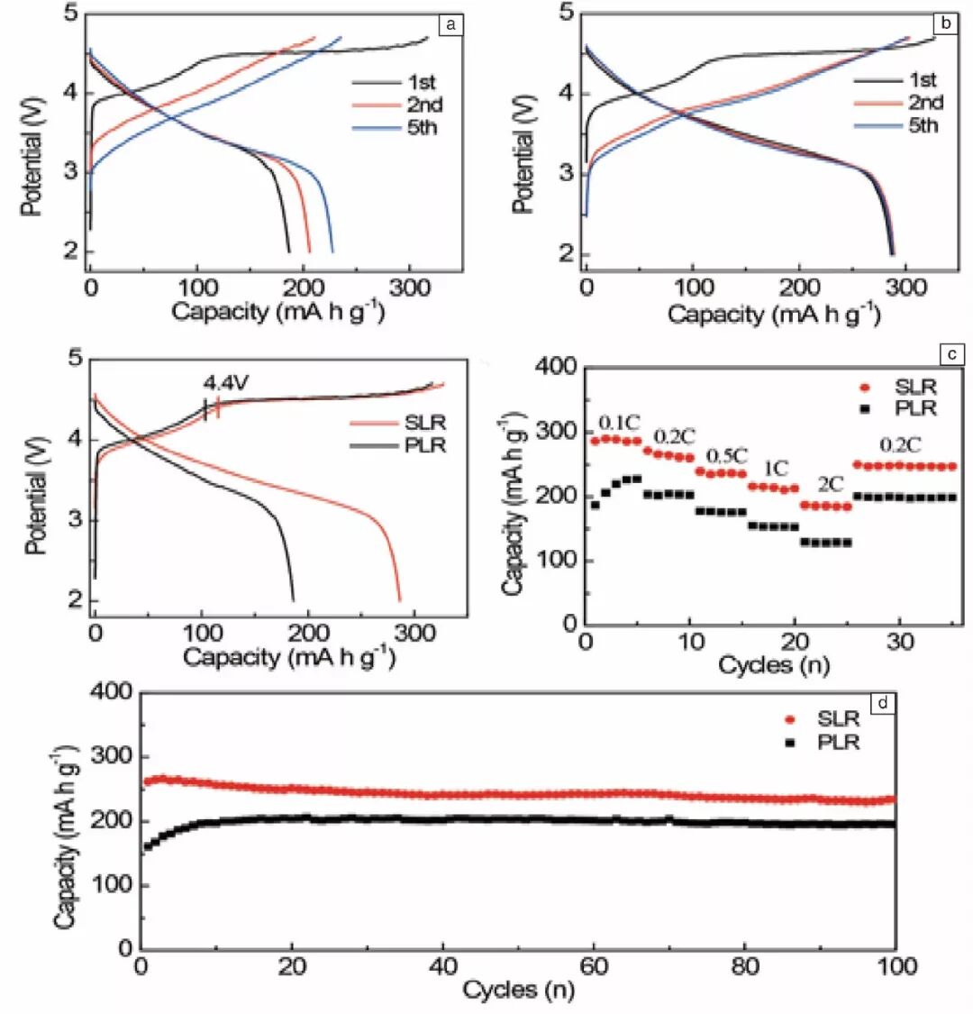
郭玉国等提出电极表面Na+浓度梯度掺杂的方法,能够提高富锂层状颗粒电极材料的扩散动力学,从而改善电池的性能。利用Na+浓度驱动扩散,通过煅烧在熔融的NaCl中的富锂层状材料实现表面Na+浓度梯度掺杂,电极材料结构示意图如图3。(DOI:10.1002/aenm.201501914)


图4 表面Na+浓度梯度掺杂的富锂材料表面的沿[010]方向的STEM 照片: ( a) HAADF 图,( b) ABF 图和( c) ABF 的衬度曲线


采用球差校正扫描透射电子显微镜观察电极表面,如图4,表明电极表面Na+浓度梯度掺杂后Na+进入到Li 层。由于填塞效应使得存在很多缺陷的富锂层状结构更加稳定,而且使(003) 和 (104) 晶面间距增大促进了Li+的扩散,如图5。


图5 (a) ~ (d) 纯净的富锂材料和表面Na+浓度梯度掺杂富锂材料的XRD谱图

纯净的富锂材料和表面Na+浓度梯度掺杂富锂材料的充放电曲 线如图6,可以看出表面Na+浓度梯度掺杂富锂材料具有更大的可逆容量和更好的循环性能。


图6 纯净的富锂材料和表面Na+浓度梯度掺杂富锂材料在0.1 C 时的充放电曲线(a) 和(b) ; 纯净的富锂材料和表面Na+浓度梯度 掺杂富锂材料在0.2 C 时的倍率性能和循环稳定性(c) 和(d) ; 所有曲线均是在25 ℃时电压在2.0 ~ 4.7 V 范围下得到的


通过对电极材料表 面近平衡结构的观察,深入了解电化学循环中的脱嵌锂 机制,进而针对性地指导电极材料的改性。掺杂改变锂离子扩散的动力学,为改善电极材料中的锂离子扩散和表面结构稳定性提供了思路。


4. 尖晶石型LiMn2O4的表面结构相变


尖晶石型LiMn2O4是一种重要锂离子电池的正极材料,具有功率密度高、成本低、安全性能好等优点,并 且已经成功地应用于电动汽车。


但是,LiMn2O4在电化学循环和长时间存储过程中会出现严重的容量衰减的问题,尤其是在温度升高的情况下。


对于出现该问题的原因提出了很多理论,包括在高电位下电极材料与电解液发生反应、尖晶石结构到岩盐结构的转变导致非平衡锂化和LiMn2O4表面锰溶解等。其中,LiMn2O4表面锰溶解被认为是电池容量衰退的主要原因,但是其具体机理还待进一步研究,而且锰溶解的速率会随着LiMn2O4中锂含量的减小而增大,其原因也尚不明确。


黄学杰和古林等采用球差校正扫描透射电子显微镜高角度环形暗场成像技术观察了不同状态下LiMn2O4的表面结构.(DOI:10.1021/cm501125e)


如图7,脱锂的LiMn2O4的表面Mn原子从16d位置迁移至Li原来所占据的8a位置,生成了Mn3O4相,充电电压升高,表面相变区域越大。放电过程中,表面中的Mn3O4相逐渐减少,当放电到3.0 V 时,Mn3O4相基本消失,表面相与体相结构完全相同,充放电过程中电极 表面的相变示意图如图8。


图7 不同充放电状态下LiMn2O4沿(110) 带轴的HAADF 像: (a) 充电至4.1 V; ( b) 充电至4.3 V; (c) 放电至4.0 V; (d) 放电 至3.0 V。在所选择区域的放大图像中,位于16d和8a位置的Mn原子列衬度分别用蓝色和橙色球表示,表面相变区域与体相的边界由绿色虚线标示


电极表面Mn3O4相在充放电状态下的出现和消失被认为是锰溶解的主要原因,并且提出了锰溶解的两种可能的机制:


① Mn3O4中四面体位置Mn2+的溶于电解液后形成与电极内部相似的结构; 

② Mn3O4完全溶解于电解液中。


由此可见,表面结构相变导致锰溶解,损耗电极活性物质造成容量衰减,循环性能差,要改善电池循环性能就要稳定电极表面结构,可以考虑采用表面包覆或者形成SEI膜的方法。


5. 锂硫二次电池中硫电极的SEI 膜和相界面


锂硫二次电池具有很高的理论比容量(1673 mAhg-1) 和能量密度(2600 WKg-1) ,并且硫的成本低,储量非常丰富。


锂硫电池已经成为电池领域的研究热门,但是仍然存在一些问题有待解决,硫是绝缘体,电极在充放电过程中发生膨胀,锂硫之间化学反应复杂以及多硫化物的溶解造成的穿梭效应等都造成了锂硫电池性能不理想。


为了提高硫的导电性,常采用良好导电性的材料与其复合,其中碳材料是使用最多也最有效的载体,比如乙炔黑、多孔碳、石墨烯、碳纳米管等。


在液体电解质的锂硫电池中,由于穿梭效应造成容量衰减和过充现象,为了解决该问题尝试了电极添加剂、电解质添加剂、设计阻挡层、采用固体电解质等方法。常见的电解质添加剂有LiNO3,LiBOB和P2S5 等。


LiNO3作为电解液添加剂对提高锂硫电池库仑效率效果尤为明显,目前被广泛使用。Aurbach等通过红外光谱(FTIR) 及光电子能谱( XPS) 等谱学手段对加入LiNO3的锂硫电池进行了研究,认为LiNO3的加入有助于在金属锂负极表面原位形成一层致密且稳定的SEI膜,从而有效阻挡溶解于电解液中多硫离子进一步与金属锂反应。(DOI:10.1149/1.3148721)


要改善锂硫电池的性能,先要清楚其电池电化学反应的微观机制。采用原位X射线衍射方法研究其反应机 制,但是空间分辨率不高,不能表征反应的细节。


杨振中等采用原位透射电子显微镜并结合电子能量损失谱 (EELS) 研究了碳包覆的硫纳米颗粒的锂化过程,得到了锂硫电池的电化学反应机理。(DOI:10.1002/aenm.201600806)


图9 固态锂硫电池的电化学反应机制示意图: (a) 碳包覆的纯 净的硫样品; (b) 锂化初始阶段S和Li2S相分离; (c) S相减少,Li2S相增多; (d) 完全锂化后纯的Li2S相


进行固态锂硫电池电极反应过程的示意图如图9,锂化过程中,硫部分转化为多晶硫,部分转化为Li2S,发生了相分离,这与之前报道的存在电压平台一致。相分离不仅减小了扩散距离, 而且S/Li2S相界面的网状结构有助于电子和离子的传导。随着锂化进行,多晶硫全部转化为Li2S


虽然实验中碳包覆硫电极很稳定,但是仍与实际情况有一定差别, 高能电子束和真空都有可能改变相变动力学,尽管如此,实验中对硫电极的反应机制的探索对固态锂硫电池性能的改善提供了新的思路。


要改善锂硫二次电池的性能,一方面可以考虑设计比表面积大的硫载体,充分利用硫,提高能量密度,另 一方面,抑制穿梭效应,形成SEI或者采用固体电解质等。虽然采用固体电解质避免了穿梭效应,但是固态电解质的电导率低,因此,要开发新的固体电解质或电极活性物质,减小界面接触电阻。


负极材料尖晶石型Li4Ti5O12的相界面结构


尖晶石型Li4Ti5O12作为一种重要的锂离子电池的负极材料,尽管其成本较高,导电性差,但是由于其循环寿命长,较高的嵌锂电位,“零应变”等优点,仍然在锂离子动力电池领域展现出巨大的应用前景。但是一个较严重的问题是Li4Ti5O12在充放电以及储存过程中,电极会发生胀气,影响电池性能。


从晶体学结构看,尖晶石型Li4Ti5O12属于立方晶系,它可以看做Li[Li1/3Ti5/3]O4,其中Li,[Li1/3Ti5/3]和O分别占据8a,16d 和32e位置。


在电化学循环过程中,8a位置处的Li和嵌入的Li进入到空的16c位置,直到所有的16c位置被填满,这将导致尖晶石型Li4Ti5O12转变成岩盐结构的Li7Ti5O12。Li4Ti5O12的充放电过程中表现出一非常平坦的电压平台,表明锂离子在Li4Ti5O12晶格中的脱嵌是一个两相反应


采用球差校正的环形明场成像技术,卢侠等首次在原子尺度上直接观察到了部分锂化的纳米颗粒中 Li4Ti5O12和Li7Ti5O12的两相共存结构,如图10 所示,进而证实了两相反应机制。(DOI:10.1002/adma.201200450)


图10 Li4Ti5O12 Li7Ti5O12两相共存区沿[110]方向的ABF 像: (a) 黄色线表示两相界面,绿色平行线标示不同于体相的表层结构; (b)Li4Ti5O12与(c) Li7Ti5O12的衬度曲线; (d) 放大的两相边界结构ABF 像; (e) 第一性原理模拟的Li4Ti5O12 /Li7Ti5O12两相界面结构示意图


Li4Ti5O12 ( 区域1) 和Li7Ti5O12( 区域2) 两相形成完全共格界面,如图10a 和10b 中的黄线所示,使其具有零应变的特性。如图10d 中的黑点所示,Li7Ti5O12由表面向内部延伸,在两相界面处Li7Ti5O12中的锂离子偏离16c的位置,靠近邻近的O原子,与第 一性原理计算的结果一致,如图10e。


为了解决Li4Ti5O12的导电性差,锂离子扩散系数低的问题,将其纳米化并在表面进行包覆被认为是有效方 法。


图11 金红石TiO2包覆的Li4Ti5O12纳米片STEM照片: (a) 和(b) 纳米片沿[110]晶向的HAADF像; (c) 对应的ABF像; (d) 模拟的Li4Ti5O12和(e) 金红石TiO2的HAADF像


万立骏院士和郭玉国等在JACS发表的一篇文章中,通过控制水热反应中的Li/Ti 投料比和前驱体的煅烧温度,首次合成了侧面包覆金红石TiO2的Li4Ti5O12纳米片,如图11 所示。电化学测试发现金红石TiO2包覆的Li4Ti5O12表现出更加优异的动力学特性,表明控制电极表面结构可以有效地改善电池的电化学性能,表面修饰为改善电极材料的性能提供了新的思路。(DOI:10.1021/ja301266w)


之后,卢侠等用球差校正扫描透射电子显微成像技术,研究不同化学状态下球形Li4Ti5O12纳米颗粒的表面结构。(DOI:10.1021/ja5115562)


图12 Li4Ti5O12 原子尺度表面结构的HAADF 像: (a)沿[110] 方向没有杂项相的表面结构; (b)表面[110]方向8a位置处存在明显的Li-Ti 无序; (c)和(d)沿[111]方向和[121]方向的表面像


如图12 所示,发现表面(110) 面上dAB和dCD的长度是体相的1.15 倍,表面(111) 面上dAB和dCD的长度是体相的1.5 倍,表明电极表面发生了结构弛豫,甚至表面重构。


表面弛豫导致16d位置处的Ti原子迁移至Li离子晶格中的16c位置,在电极表面产生了一些与内部不同的Ti-O配位体。除了表面弛豫和重构,表面悬键也是重要的电化学活性中心,从图12中可以看出电极表面有很多Ti原子,可能是不饱和的Ti-O键,当电极暴露在空气中时,将会吸附水汽和CO2。因此,这种类型的 Ti 原子( 或者Ti-O) 很容易形成Ti-O: R( R: Li+、H+、CH+或其他有机原子团) ,这会破坏TiO6八面体的对称性,造成Ti-O键不可逆地伸长/缩短并且形成了电子/空穴捕获中心。


表面结构弛豫和重构,表面悬键这些微小的表面结构变化都可能在脱嵌锂过程中发生,但是具体的分子 反应机制和释放气体的原因,还待进一步阐明。


Li4Ti5O12的“零应变”特性有利于电池和电极材料的稳定,可以实现长的循环寿命,考虑到其胀气问题可能是由于电极表面活性高造成的,因此,可以采用表面修饰的方法来降低其表面反应活性。


锂电池领域最活跃的研究热点之一


球差电子显微镜的发展,让研究人员能够从原子尺度理解材料在电化学反应过程中经历的种种变化,曾经困扰着人们的许多难以解决的科学技术难题,如:材料表面相变规律对材料电化学循环稳定性的影响、材料内部相的分布与迁移规律对材料动力学性质的改变、相变过程对材料产气及 电压衰减的影响等,都在逐渐为人们所理解。以这些理解为基础建立的材料设计方案已经初见成效,正推动着液态锂离子电池能量密度向着理论极限不断迈进。


未来,固态化必将是锂离子电池以及所有液态电池发展的终极目标。固态电池以其优异的能量密度以及安全特性正逐渐为人们所关注,而固态化带来的新的挑战也等待着人们去探索。电极与电解质的固固界面、全固态条件下材料新的表界面相变机理以及固相间互扩散形成的过渡相等等,这些问题都制约着固态电池的发展。球差校正透射电子显微镜以及原位透射电镜技术在解决这些关键问题上具有极大的优势,能够帮助人们快速精 确地找到问题背后最本征的物理化学起因,从而对症下药快速解决问题。

作者丨仝毓昕,张庆华,谷林    《锂离子电池电极材料表界面结构的原子尺度表征》


微算云平台关注量已超过10W,诚邀材料和化学领域科学家投稿,介绍和宣传国内外原创的科研成果。

注:国内为原创研究成果或评论、综述,国际为在线发表一个月内的最新成果或综述,字数500字以上,并请提供至少一张图片。投稿者,请将文章发送至kefu@v-suan.com


深圳华算科技有限公司采用第一性原理计算与分子动力学、蒙特卡罗等方法相结合,对电池、催化、纳米材料等进行多尺度设计与模拟,专注为海内外催化、纳米及能源领域科研人员提供材料计算模拟整体技术解决方案。方向涉及材料结构、扩散、电导率、表面吸附能/吸附位、吸附分子构型优化、催化活性能、反应路径计算、OER、HER、ORR、自由能计算等。 

客户群体:清华、北大、天大、北理、北航、西交、华工、同济、复旦以及中科院各大院所等数十个高校院所二百多个课题组。

客户成果Angew. Chem. Int. Ed.、Nat. Commun.、AM、AEM、AFM、JMCA、ACS Nano、NanoEnergy、ChemSusChem等国际优质期刊。

扫描识别下方二维码,专业团队解决您的计算模拟需求。


点击阅读原文,提交计算需求!