简介:欢迎关注我们。本公众号主要关注一些关于各级各类的数学竞赛和各大高校自主招生、三位一体的试题和解答的信息,以及其他的相关信息。
作者:这是由几位重点高中的一线竞赛教练打造的原创教育交流平台,分享有料、有Fun的教育心得与干货。
投稿请看:真诚的欢迎各位读者给我们发送稿件,我们的投稿邮箱是goldfish520520@sina.com,来信请写明作者姓名(或者推送时用的昵称)以及所在省份。收到后,经审查,确认没有科学性的错误后,我们会及时推送。投稿的稿件请用word或者pdf格式,谢谢!
高考信息:若需要关于高考数学的相关信息,请移步微信公众号:躺着学数学
自从发了征解之后,我们收到了很多网友寄来的答案,而且方法多种多样,今天我们把收到的所有不同的方法都展示出来,供大家欣赏。先回顾一下试题:
先看天津的于士良对an通项公式的求解过程:
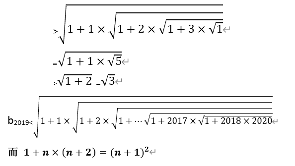
对于求解an=2020-n,不是本问题的重点,故我们重点展示在已知an的通项公式之后,不等式的证明过程。先看看解法最多的一种吧,该解法的是来自于江西师范大学附属中学的周越明(也是我们收到的第一份解答)。
解法一:
用上述方法证明的还有湖南常德的如梦令,天津的于士良,林培存网友。此外林培存网友还指出了该不等式的背景,即拉马努金恒等式。
解法二:该解答来自于网友smd
解法三:该解答来自于陕西师范大学的肖盛鹏
解法四来自于江苏的沈之洋
解法五来自于Random(k)
往期文章精彩回顾
*.2020年自主招生取消,竞赛如何继续(另附强基计划要点)
数学小分享--菲尔兹奖获得者
阿克萨伊·文卡特什
阿克萨伊·文卡特什,澳大利亚的数学家,1981年11月21日,出生于印度的首都新德里,在美国普林斯顿大学获得博士学位。目前是斯坦福大学的数学教授,研究领域主要是计数、自守形式的等分布问题以及数论,特别是表示论、局部对称空间以及遍历理论。2018年8月1日,由于其在解析数论、拓扑学、表示论等方面的综合成就,获颁菲尔兹奖。阿克萨伊·文卡特什是唯一一位在国际奥林匹克物理竞赛、国际奥林匹克数学竞赛上均获得奖牌的澳大利亚人,获奖时他只有十二岁。1993年,11岁的文卡特什参加国际奥林匹克物理竞赛并获得一枚铜牌。1994年,参加国际奥林匹克数学竞赛获得铜牌。