简介:欢迎关注我们。本公众号主要关注一些关于各级各类的数学竞赛、各大高校自主招生、三位一体(2020年开始称为校测)的试题和解答、高校录取政策等其他的相关信息。
作者:这是由几位重点高中的一线竞赛教练打造的原创教育交流平台,分享有料、有Fun的教育心得等各类干货。
投稿请看:真诚的欢迎各位读者给我们发送稿件,我们的投稿邮箱是goldfish520520@sina.com,来信请写明作者姓名(或者推送时用的昵称)以及所在省份。收到后,经审查,确认没有科学性的错误后,我们会及时推送。投稿的稿件请用word或者pdf格式,谢谢!
高考信息:若需要关于高考数学的相关信息,请移步微信公众号:躺着学数学
2020罗马尼亚大师杯的比赛已经结束,该赛事被称为世界上最难的数学竞赛。我国代表队获得了3金1银的好成绩。今天给大家推送一份大师杯的赛题(来源于网络),以及由本次比赛的金牌得主梁敬勋,给出的前四题的详细解答。
梁敬勋介绍:现就读于杭州学军中学,在2018年全国联赛中获得浙江赛区一等奖,在第34届CMO中获得一等奖,并进入国家集训队。在第60届国家集训队中,成绩优异,并顺利进入国家集训队第二轮。在2019年的第35届CMO中获得一等奖,并再次进入国家集训队。如今已保送清华大学姚班。
修正:(1)第2题中,两个数列an和bn都不是常数列。
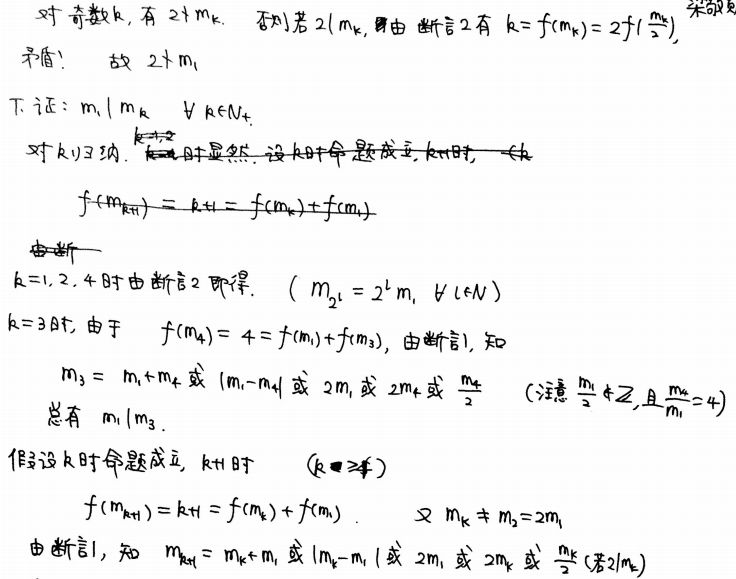
第二题证明:
第三题证明:
第四题证明:
往期文章精彩回顾
*.2020年自主招生取消,竞赛如何继续(另附强基计划要点)
数学小分享--菲尔兹奖获得者
阿克萨伊·文卡特什
阿克萨伊·文卡特什,澳大利亚的数学家,1981年11月21日,出生于印度的首都新德里,在美国普林斯顿大学获得博士学位。目前是斯坦福大学的数学教授,研究领域主要是计数、自守形式的等分布问题以及数论,特别是表示论、局部对称空间以及遍历理论。2018年8月1日,由于其在解析数论、拓扑学、表示论等方面的综合成就,获颁菲尔兹奖。阿克萨伊·文卡特什是唯一一位在国际奥林匹克物理竞赛、国际奥林匹克数学竞赛上均获得奖牌的澳大利亚人,获奖时他只有十二岁。1993年,11岁的文卡特什参加国际奥林匹克物理竞赛并获得一枚铜牌。1994年,参加国际奥林匹克数学竞赛获得铜牌。
Send to Author