简介:欢迎关注我们。本公众号主要关注一些关于各级各类的数学竞赛、各大高校自主招生、三位一体(2020年开始称为校测)的试题和解答、高校录取政策等其他的相关信息。
作者:这是由几位重点高中的一线竞赛教练打造的原创教育交流平台,分享有料、有Fun的教育心得等各类干货。
投稿请看:真诚的欢迎各位读者给我们发送稿件,我们的投稿邮箱是goldfish520520@sina.com,来信请写明作者姓名(或者推送时用的昵称)以及所在省份。收到后,经审查,确认没有科学性的错误后,我们会及时推送。投稿的稿件请用word或者pdf格式,谢谢!
高考信息:若需要关于高考数学的相关信息,请移步微信公众号:躺着学数学
今天给大家推送一道我们校内练习上的一道函数绝对值的问题。题目是这样的:
该题涉及到了3个变量,x,a,b,其中实数b是任意的,x是存在的,求的是a的范围。从函数的角度来看,应该是F(x)的最大值的最小值不小于0.5,也就是说,这是个双重最值问题。对于这类问题,已经有很多的研究,我们对此不予讨论。今天我们从另外一个角度来看看此题的解法,也许你会有意想不到的收获哦!
修正一下,倒数第二行最后应该是|g(x)+b|<0.5
评:上述解法利用了绝对值的几何意义,将绝对值看做了两个数的距离,经过分析,减少了变量,将问题简化为单参数的一元函数求值域的问题。
我们再给出两个同类题:
此题的解法也可以考虑将x^2-2x看成一个整体,当x在[0,3]上时,值域为[-1,3]。因这个区间上一点到t的距离最大值为2,故t=1。
2017年浙江省全国高考填空的压轴题如下:
根据上述想法,函数y=x+4/x在[1,4]上的值域为[4,5],故问题转化为:
f(t)=|t-a|+a,4<=t<=5,的最大值为5,求a的范围。
因f(t)=max{t,2a-t},故由图像知,a<=4.5
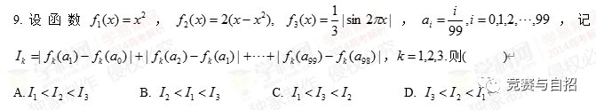
此外,2014年浙江省的选择压轴题如下:
此题将x轴的横向距离变为了y轴的纵向距离,即Ik为纵向距离的叠加,故答案选B。
往期文章精彩回顾
*.3道简单的小题
*.2020-2021年越南数学奥林匹克(第一天)的试题与解答
数学小分享--Wolf奖获得者
费弗曼
费弗曼主要从事古典分析的研究。1970年起,他就开始把卡尔松等人的结果推广到多变量情形,找到一些反例。1973年,他给出了卡尔松结果的一个简单的证明。在这个过程中,他发现三角级数收敛问题与奇异积分算子这两个互不相关的领域有密切的内在联系,由此推动了整个领域的大发展。费弗曼的另外一个突出成就,是发现了哈代空间Н′与有界平均振动函数空间BMO的对偶关系。1961年,有人从另外角度发现了BMO。而这两个空间之间没有料到的这种简单关系,则是1971年由费弗曼发现的。费弗曼在偏微分方程方面也有巨大贡献。1973年他给出非退化线性偏微分方程局部可解性的一个既充分又必要的条件,使这个问题得到完满解决。他还在多复变函数论方面有重要贡献,在1974年证明了:一个具有光滑边界的严格伪凸区域到另外一个的双全纯映射可以光滑地延拓到边界上。许多数学家尝试证明都没有成功,因为多复变的区域和单复变情况不同,两个单连通区域不一定双全纯等价,这样单复变的方法不能够应用,而费弗曼用独创的新方法解决了这个问题。
Send to Author