点击蓝字 · 关注我们
金属-有机骨架(MOF)具有扩展晶体结构,由连接多功能的有机分子或离子的金属阳离子组成。由于金属离子、有机连接体和结构基元的多样性和连接网络,MOF在内表面积、稳定性、结构多样性以及化学和物理性质范围优势表现突出。已在气体存储与分离、质子导电、药物控释和传感等方面具有广泛应用。其中,MOF的传感应用具有挑战性,涉及基于MOF转导信号变化检测需求的多学科技术。虽然应用面临着挑战,但是相对于其他气敏材料,MOF在大表面积、大孔隙度、高结晶度等特性上仍具有明显优势。随着MOF领域研究深入,信号转导技术取得了突破,包括光学性能方面(光激发光、局域表面等离子体共振、色度等)和机械性应用方面(石英晶体微天平和微康蒂勒方案等)。然而,由于检测要求的多样性,信号转导仍然是MOF传感应用实施面临的主要挑战,特别是超灵敏信号转导对MOFs和气体检测在医学诊断、食品质量控制、职业安全和环境监测领域中应用提出了更高要求。
MOF/Polymer Integrated Multi Hotspot Mid Infrared Nanoantennas for Sensitive Detection of CO₂ Gas
Hong Zhou, Zhihao Ren, Cheng Xu, Liangge Xu, Chengkuo Lee*
Nano-Micro Letters (2022)14: 207
https://doi.org/10.1007/s40820-022-00950-1
本文亮点
1. 提出了一种损耗工程多热点策略:通过优化集成各主要条件,提高了中红外(MIR)吸收分子传感用等离子体纳米天线的灵敏度和信号强度。
2. 阐明了杂化金属-有机框架材料(MOF)-聚合物物理化学吸附机制,突破了MIR气敏检测的极限。
3. 通过将MOF和纳米天线集成实现了高性能气体检测,包括低检测限、高灵敏度(0.18%ppm)、优异的可逆性(变化在2%以内)、高选择性和纳米级光学相互作用长度限。
内容简介
图文导读
I 实验与方法
1.1 数据模拟
光谱和近场模拟利用基于时域有限差分(FDTD)的商业软件包(FDTD Solutions, Lumerical Inc)来实现,参数设置时,入射辐射源使用平面波光源,其偏振沿亮模式纳米天线的长度设置。选择周期边界条件来模拟纳米天线在x和y方向上的周期性,并将z方向上的边界条件设置为完全匹配的层。CaF₂折射率设置为1.38,Au折射系数取自Palik等人的结果。PMMA的复折射率通过它测定的红外吸收光谱利用如下公式来计算:
其中ε∞是高频常数项,Si是振荡器强度,ω₀是振荡器谐振频率,γ是阻尼频率。模拟过程中薄钛(Ti)粘附层的影响忽略不计,我们使用3D频域功率监视器模拟近场穿透深度。
1.2 器件构筑与MOF改性
对于MOF改性而言,首先需在甲醇中制备沸石咪唑骨架(ZIF-8)溶液,然后,在超声波清洁器中以50%能量超声处理10分钟以获得结晶体。随后使用移液管将低分子量支化聚乙烯亚胺(PEI)加入到MOF溶液中,并用磁力搅拌器搅拌4小时以使氨基和MOF充分相互作用。然后,将改性的MOF杂化物旋涂到器件表面上以完成MOF-PEI功能化多热点平台的制备。
1.3 光学测试
红外光谱测试是在与配置有红外显微镜的傅里叶变换红外光谱仪上进行的,显微镜配有液氮冷却的碲化汞镉探测器。测试的分辨率设置为4cm⁻¹,每次测量的扫描次数为20。天线阵列的测量面积通过控制刀口孔径来设置为100 × 100μm²。反射模式下的背景测试在金镜上完成,而透射模式的背景测试则在空白CaF₂衬底上实现。氮气通过设计的附件不断引入显微镜,以确保仪器中的光路受到氮气的保护。
1.4 气体检测设置和数据处理
首先,目标CO₂气体或N₂气体通过气体质量流量控制器(MFC)进入混合室,并实时调节以获得所需的气体流速。然后,从MFC流出的气体通过混合室中的风扇快速均匀混合。采用了昂贵的商用CO₂气体传感器和湿度传感器获得混合室中的气体浓度和湿度信息。混合之后,气体流入我们测试平台所在的气室,它是由上下红外氟化钡窗口、样品架和加热台组成的,其中样品架和热台集成在一起以有效加热我们的探测平台。在反射模式下,探测器收集从上部IR窗口进出的IR光,而在透射模式下,检测器收集从下部IR窗口出射的IR光。为了促进传感平台热恢复,需要将气室加热至90°C并在连续N₂气流下保持1.5分钟。然后关闭加热阶段但保持N₂气流并等待电池自然冷却至室温。在数据处理方面,参考光谱被设置为没有CO₂吸附的光谱。通过减去参考光谱,从反射光谱中提取差分反射,参考光谱可以写为D = ǀR-Rreference ǀ。平台的总分子信号通过RT = ∫λ₁λ₂D∙dλ计算,其中λ₁和λ₂是MOF变化区域的开始和结束波长。线性由δL = Δe/FS × 100%计算,其中Δe是满量程FS中的最大误差。通过使用最小二乘法拟合平台光谱的基线来提取增强的分子信号。
图1. 杂化平台的设计理念。a 由多孔MOF-PEI杂化膜、CaF₂衬底和多热点纳米天线所组成平台的示意图;b多孔MOF-PEI混合膜捕获CO₂气体分子示意图;c纳米天线的耦合模式模型;d通过损耗工程增强振动信号的优化;e暗模损耗与亮模天线的不同耦合;F 纳米棒和纳米天线在亮-亮或亮-暗模式耦合中的电场分布;g上述各种配置的平均近场强度和增强的分子信号强度。
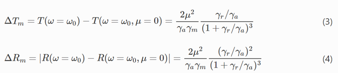
为了使纳米天线对信号进行有效转换,需要同时采用所有主要优化方法来最大限度地加强等离子体-分子相互作用。本工作的主要困难在于协调近场优化和损耗优化之间的矛盾。为此,我们采用时间耦合模式理论(TCMT)对等离子体分子耦合行为进行分析。该模型由表示与两个端口耦合(κ)的纳米天线的亮模式的单个空腔组成,包括入射光(S1+)、透射光和反射光(图1c)。它以速率γr和γa经受阻尼,分子阻尼γm则通过耦合强度μ耦合到纳米天线。因此,可以得到描述等离子体分子耦合行为的一系列方程。通过进一步简化,可获得了系统的光谱透射和反射(S4)。
其中ω₀和ωm分别表示纳米天线和分子振动的共振角频率。透射(ΔT)或反射(ΔR)光谱中的强度变化通常用于反映振动光谱和各种传感应用中的分子量。通过计算具有/不具有耦合分子的纳米天线在共振而不失谐时的差分光谱,ΔTₘ和ΔRₘ强度可以通过如下公式获得。
可以观察到,T(ω)、R(Ω)、ΔT和ΔT都主要由损失率γR/γa和分子与热点之间的耦合强度μ决定。通过绘制等式3和4到图1d中,我们可以观察到,随着损耗率的增加,透射和反射的变化是单调的,而增强的信号强度经历了先增大后减小的演变。增强信号强度变化的趋势由损失率γr/γa决定。同时,根据方程式3和4,增强信号的总振幅与耦合强度μ呈现正相关性。因此,为了获得高度增强的信号,应同时考虑调整γr/γa和增加μ值,这也表明必须整合多种优化方法。
对调整γr/γa而言,常规方法包括改变纳米天线的弯曲度和添加靠近纳米天线的金属反射层。我们提出利用暗模式纳米棒作为损耗并通过精心设计的纳米间隙将其耦合到亮模式纳米天线。通过耦合适当的损耗,纳米天线经历了从E点的低信号增强状态到F点的高信号增强状态的转变(图1d)。同时,通过比较图1d上下两图,我们可以发现具有高反射/透射的器件在光谱传感应用中可能表现出较低的性能,这表明该系统的光谱强度与增强的分子信号强度没有正相关性,即等离子体分子相互作用的指标。由于天线热点的不均匀避雷针状分布,亮模式和暗模式在不同位置的耦合效率迥然不同。因此,优化纳米间隙位置至关重要。图1e显示了几个代表性的纳米间隙位置,包括远离天线端子的位置(标记为A)、天线末端的位置(标注为B)以及与天线水平对称的位置(标识为C)。当纳米间隙通过位置B从位置A移动到位置C时,代表模式耦合效率的天线的平均场强度首先增加然后减小,最后增加到最大值(S5)。既然损耗天线和亮天线之间的耦合是通过纳米间隙中的近场实现的,那么纳米间隙中高平均场强意味着优异的耦合效率。因此,从损耗优化方法的角度来看,位置C是最佳位置,因为其耦合效率高。然而,从近场优化方法的角度来看,位置C处的配置不是最佳的,因为与亮-亮模式耦合相比,近场由于损耗耦合而减弱。这种矛盾的情况是由两种方法的不同优化原则造成的。
更具体地说,近场优化中广泛使用的方案是利用相邻亮模式天线的邻近性(亮-亮模式耦合)来激发强近场相互作用(图1f ii),其中在天线末端添加扩展结构可以进一步提高近场强度。可以图1g的红色曲线中观察到分子信号增强的显著改善。当我们使用基于常用损耗优化的明暗模式耦合来改善天线性能时,可实现与近场优化相比更大的分子信号增强。然而,我们观察到使用这种损耗优化的天线的近场强度大大衰减(图1g)。显然,这是由上述近场和损耗优化之间的矛盾引起的。尽管损耗的引入降低了近场强度,但是基于损耗优化的纳米天线仍然可实现比使用近场优化的纳米阵列更高的分子信号增强。这反映出损耗优化比近场优化具有更显著的效果。如果可以减少甚至消除由损耗耦合引起的近场强度衰减,则可以实现超高分子信号的增强。这里我们设计了亮模式天线热点旁边的纳米间隙以激发新的高强度热点(图1f iv)。我们通过增加热点数以补偿由损耗耦合引起的近场强度减弱,实现损耗优化的同时获得了比亮-亮模式耦合更高的平均场强度。这意味着我们的多热点策略可以很好地协调了近场优化和损耗优化之间的矛盾,因此,MOF-PEI杂化物的信号转导可实现超高分子信号的增强(图1g)。
2.2 基于纳米天线的信号传输优化
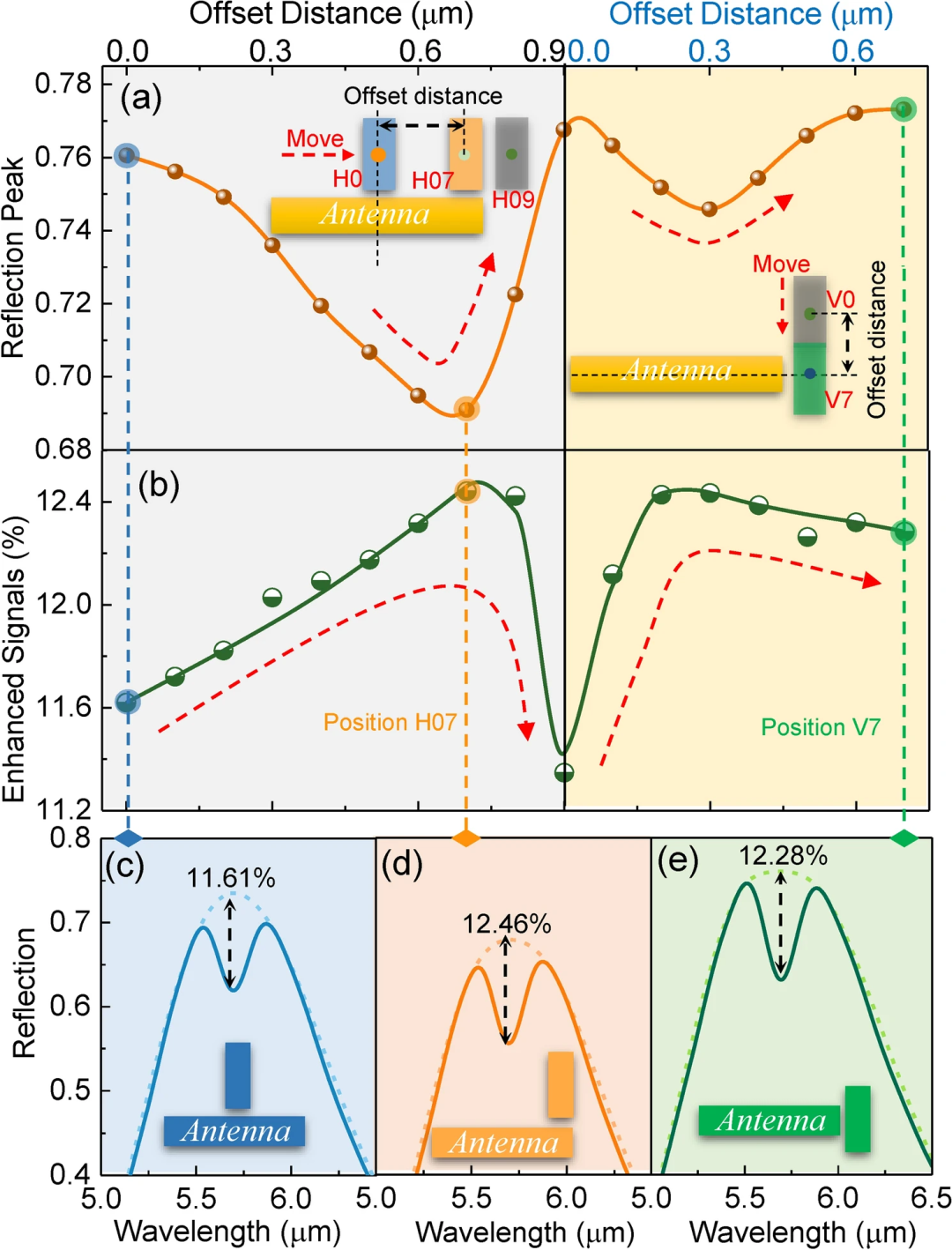
图2. 明暗模式耦合中纳米间隙的位置优化。
信号转导的优化是纳米天线系统分子信号增强的改进,主要包括纳米间隙的位置优化和暗模天线的尺寸优化。其中纳米间隙位置至关重要,因为它影响模式耦合效率。当纳米间隙从亮模式天线的水平中心H0水平移动到末端H09时(图2a),共振反射首先减小然后增大。相应地,增强的分子信号则经历了相反的演变(图2b),其中聚甲基丙烯酸甲酯(PMMA)作为分析物的C = O拉伸振动接近5.8μm(注S6)。根据图1d中的关系,这种相反的趋势表明它们的损耗在点E和F的范围内。类似地,当纳米间隙从V0(H09)垂直移动到垂直中心V07时,共振反射和增强信号重复相同的趋势。从纳米间隙中的近场来看(S5),水平移动期间的最大近场形成在天线末端,垂直移动期间的近场形成于垂直中心V07。这一趋势与天线热点的避雷针状分布一致。这表明位于亮模天线末端对准位置(图中的位置H07)和垂直中心(位置V07)的纳米间隙是高模耦合效率的潜在配置。然而,位于垂直中心V07的纳米间隙只能增强天线两端的两个现有热点的场强度。相比之下,位于H07的纳米间隙可以在天线末端的两个热点旁边建立四个新热点(S7)。新建立的热点可以补偿天线系统中由于损耗优化的增加的损耗而降低的平均近场强度。因此,本工作提出了在H07处具有四个纳米间隙的天线配置,以调和优化方法之间的矛盾。值得注意的是,位置V2显示出与水平端的H07和垂直中心的V7相当的高信号增强。然而,与垂直中心处的V7类似,位置V2只能增强天线两端的两个现有热点的场强。此外,在纳米间隙的移动期间,等离子体天线系统的共振波长和损耗也通过引入不同的损耗而发生变化(S8和S9)。其变化趋势与反射峰的变化趋势相同。因此,为了确保分子振动和天线共振之间的非失谐(图2c-e),在图2研究中对亮模天线的长度进行了微调。
图3. 多热点策略中暗模天线的尺寸优化。
暗模天线的尺寸优化是通过控制变量进行进一步研究的另一项任务,它包括纳米间隙尺寸、天线长度和宽度的优化。与纳米间隙位置类似,纳米间隙尺寸也影响模式耦合效率,从而影响分子信号增强。当保持其他变量不变时,增强的分子信号随着纳米间隙尺寸从400nm减小到30nm而逐渐增加,如图3a-i所示。然而纳米间隙的持续减小使增强的分子信号的增长饱和,这是因为由30nm纳米间隙实现的耦合效率足以将暗模式天线完全耦合到亮模式天线。因此,考虑到制造10nm纳米间隙的纳米制造成本高昂,纳米间隙的尺寸最终被设置为30nm。图3a-ii-v为对应于最小和最大信号增强的光谱和SEM图的细节图。亮模式天线的长度经过微调,以确保PMMA分子振动与天线共振之间的频率匹配。在确定纳米间隙尺寸后,我们进一步研究了暗模天线的尺寸。通常,大型天线具有高损耗。随着暗模天线长度L的增加,增强的分子信号经历了先升后降的演变(图3b-i)。在最大信号(L = 8μm),很明显,根据图1d,天线系统的损耗率也达到最佳,并且进一步的损耗增加(通过L)将降低损耗率和分子信号。因此,长度L最终设置为8μm。图3b-ii-v为对应于最小和最大信号的光谱和SEM图像的细节。在确定长度之后,我们进一步研究了暗模式天线的宽度w。如图3c所示,天线宽度对分子信号增强的影响与天线长度的影响相似,因为它们对暗模天线面积的影响相似。显然,0.25μm宽度实现了最大的分子信号增强。当宽度达到0.55μm时,暗模式纳米天线彼此接近(图3c iv)。尽管邻近,但相邻暗模式纳米天线之间的耦合很弱。值得注意的是,控制变量的方法只能实现局部优化。然而,从理论分析(图1d)可以清楚地看出,在本研究中增强信号和损失率之间的轨迹类似于抛物线。因此,我们通过不断增加损耗找到的类似抛物线的顶点是增强信号的最大值。此外,存在对应于最大信号的多组不同天线尺寸。更具体地说,由于天线的长度和宽度共同决定了暗模式天线的面积,因此通过同时减小天线长度和增加天线宽度来获得与最大信号对应的多组天线尺寸。
2.3 基于纳米天线的转导信号增强特性
图4. 振动信号增强的特征。
我们构筑了一些具有不同配置的代表性天线,然后通过旋涂PMMA膜作为分析物来表征其信号增强性能。图4a-d为纳米棒、亮-亮模耦合天线、亮-暗模耦合天线和多热点亮-暗模式耦合天线的SEM图。它们的纳米间隙大小被设置为相同,且它们的共振也都经过精心设计,通过微调亮模式天线臂长来完美匹配PMMA的振动。这些纳米天线的测量反射和透射光谱如图4e-f所示。天线谐振与C = O PMMA薄膜的拉伸振动,证明了我们构筑工艺精度较高。值得注意的是,测量的和模拟的反射光谱之间存在差异,这是由模拟模型和制造的天线之间的几何差异引起的(S10)。为了比较这些天线实现的信号增强,通过使用最小二乘拟合从这些光谱中提取增强的分子信号,如图4g-h所示。与纳米棒和模式耦合天线等双热点配置相比,多热点纳米天线在反射和传输模式下都具有最高的信号增强。它证明了我们的损失增强多热点策略的有效性。具体而言,在反射模式下多热点纳米天线的增强分子信号比纳米棒的增强分子高2倍。在传输模式下,前者的增强信号比后者高5倍。不同增强水平的原因是,在反射模式和传输模式下天线对损耗率的灵敏度不同,如图1d所示。在传输模式下当损失率γr/γa偏离最佳值(γr/γa > 2). 因此,γr/γa对信号强度的改善是显著的。然而,在反射模式下当损失率偏离最佳值(γr/γa> 2)。因此,γr/γa对信号强度的改善相对较小。大范围内的高信号强度表明反射模式的强鲁棒性。值得注意的是,当损失率γr/γa > 1,反射模式的增强大于透射模式的增强,当γr/γa < 1.对于大多数普通天线,由于与吸收损耗相比,辐射损耗较大,γr/γa大于2(纳米棒的γr/α约为10)。在实现最佳γr/γa的损耗优化中,耦合到纳米天线的损耗在反射模式下比在传输模式下小。与天线系统的耦合越少意味着反射模式下近场强度的衰减越小。因此,采用多热点天线的反射模式作为MOF混合器的信号转导工作模式用于气体检测演示。
2.4 MOFs修饰与表征
图5. MOF材料表征。
增强MOF中的气体诱导变化对于气体检测应用至关重要。在本工作的策略中,通过PEI聚合物对MOFs进行改性以实现物理和化学吸附的双重机制,并最大化MOFs中的气体诱导变化。此外,低分子量支链PEI(平均分子量 ~ 800)是由于短链PEI平滑地渗透到MOF(ZIF-8)的相对窄的孔窗口中。为了研究杂化膜的组成以及PEI和ZIF-8之间的相互作用,进行了FTIR、XRD和EDX测试、SEM和N₂吸附/脱附分析。如图5a所示,1150和3140 cm⁻¹附近的代表性IR峰在ZIF-8-PEI杂化膜中观察到对应于ZIF-8的ν(CN)和ν(CH)拉伸振动的1,表明ZIF-8的成功加载。值得注意的是,在1300 ~ 1700 cm⁻¹由于ZIF-8的C-N振动的相互作用,观察到1(图中红色区域。5a)。这意味着杂化膜不是ZIF-8和PEI的简单杂化物。它们之间有一些化学键的相互作用。从布拉格衍射角的角度来看(图5b),随着ZIF-8加载到PEI中,测量结果中出现了代表ZIF-88晶体结构的尖峰。此外,随着ZIF-8载荷的增加,这些峰值的强度大大增加。这表明ZIF-8不仅成功装载,而且还保留了其晶体结构。表征了ZIF-8加载前后PEI在77 K下的N₂吸附/解吸等温线以研究BET表面积的变化。如图5c所示,原始PEI表现出相当低的N₂吸收,且在加载ZIF-8后N₂吸收、BET表面积和孔体积急剧增加。例如,80%ZIF-8-PEI杂化膜的饱和N₂吸收达到419 cm² g-1,并且利用Brunauer–Emmett–Teller方程计算BET表面积为406m²g−1。杂化膜的高表面积确保了气体和膜之间的接触面积,从而优化了分子与近场的空间重叠。
除了成分变化,MOF杂交对器件形态的影响也比较大。对于通过电子束光刻和蒸发制造的纳米天线,其形貌和轮廓清晰且清晰(图5d)。而当加载气体富集后,从SEM图中不再能观察到纳米天线图案(图5e)。当气体富集材料为纯PEI膜时,器件表面形貌光滑且致密(左图),这不利于气体分子的吸附。当气体富集材料是PEI改性的ZIF-8膜时,可观察到内部有ZIF-88颗粒的粗糙表面(图5e右图),这有利于气体扩散到膜中。值得注意的是,合成的ZIF-8晶体尺寸大(超过200nm),而天线近场的穿透深度通常小于200nm(S11)。因此,为了解决它们的尺寸失配问题,需要对ZIF-8晶体进行超声处理以使其小而均匀(S12)。图5f中的EDS结果证明ZIF在PEI中的分布均匀,其中紫色标记的Zn元素是ZIF-8与PEI的区别。ZIF-8-PEI杂化膜各元素的含量如S13所示。除了ZIF-8的形态分布外,其质量分数对天线系统实现的增强分子信号的影响也比较关键。如图5g所示,杂化膜中15%ZIF-8含量适用于纳米天线。含量高或低都会降低纳米天线的检测性能。这是因为具有低ZIF-8含量的杂化膜不利于气体扩散,而具有高ZIF含量的杂化膜由于缺乏PEI中气体的反应性吸附位点而导致低气体吸附。在确定MOF质量分数后,我们研究了膜厚度对增强的分子信号的影响。考虑到由于膜厚度增加,纳米天线的共振将发生红移,而分子的IR振动位置是固定的,因此需要对亮模式天线的长度进行微调以避免失谐。图5h为当膜厚度和光谱波长变化时增强的分子信号图。可以看出,ZIF-8-PEI中的IR峰在图谱中是比较明显的,并且随着膜厚度增加,5.5-7.5μm之间的增强分子信号首先增加然后略有减少。厚度不合适的气体富集材料不利于气体吸附。根据信号增强曲线,厚度为180nm的传感器表现出的性能最高。因此,选择180nm作为膜厚度的最佳值。通过在旋涂过程中调节旋转速度和时间,可以控制膜厚度。基于图5i中的测量结果,杂化膜的最终厚度约为185nm。
2.5 超灵敏气体检测演示
图6. 基于MOF功能化多热点平台的超灵敏CO₂气体检测。
IV 结论
作者简介
撰稿:《纳微快报(英文)》编辑部
关于我们
Tel: 021-34207624
扫描上方二维码关注我们