Weixin ID the_way_of_data_cola
About Feature 《Excel数据处理与分析——数据思维+分析方法+场景应用》作者,分享数据分析、Excel、SQL、Python、数据思维的文章,以及生活中的数据分析。
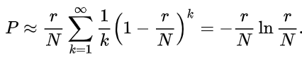
问题的提出
问题的解决
点个在看你最好看
请可乐喝瓶可乐吧~
微信扫一扫赞赏作者 Reward
reward(s)
Long-press QR code to transfer me a reward
As required by Apple's new policy, the Reward feature has been disabled on Weixin for iOS. You can still reward an Official Account by transferring money via QR code.
Scan to Follow
Send to Author