Weixin ID the_way_of_data_cola
About Feature 《Excel数据处理与分析——数据思维+分析方法+场景应用》作者,分享数据分析、Excel、SQL、Python、数据思维的文章,以及生活中的数据分析。
The following article is from 大数据DT Author Benedict Gross
提供大数据、AI等领域干货学习资源的「宝藏号」,跟50万技术人共同成长,一起玩转大数据、Python、数据分析、数据科学、人工智能!还会有各种好玩又奇葩的数据解读,边学习边吃瓜!
正文
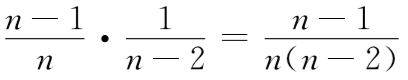
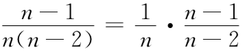
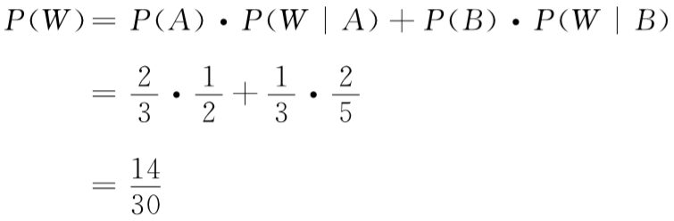
导读:在本文中我们将讨论条件概率:给定结果受到先前事件影响的概率。
往期推荐
万字吐血好文,一线分析师的4大总结。
Pandas中实现聚合统计,有几种方法?
对比Excel,学习pandas数据透视表
Scan to Follow