双酚酸(DPA)由生物质分解产物合成而得,其分子结构与双酚A相似,被公认为是可替代双酚A的绿色平台化合物。但是,由DPA衍生出的热固性树脂因DPA的脱羧反应导致热稳定性差。为此,浙江理工大学刘向东课题组尝试将DPA酰胺化,并获得了系列高性能热固性树脂,不仅解决了DPA由来高分子材料的热稳定性问题,还因酰胺提供的氢键作用显著改善了树脂材料性能。该系列研究先后在ACS Sustainable Chemistry Engineering, Journal of Polymer Science和Chemical Engineering Journal等期刊发表。(ACS Sustainable Chemistry & Engineering. 2021, 9(12): 4668. DOI: 10.1021/acssuschemeng.1c00554; Journal of Polymer Science. 2021, 59: 2057. DOI: 10.1002/pol.20210399; Journal of Polymer Science. 2022. DOI: 10.1002/pol.20220221. Chemical Engineering Journal 2022, 435, 135022. DOI: 10.1016/j.cej.2022.135022;)
该课题组利用双酚酸和二胺反应获得四酚酰胺化合物(Scheme 1),进一步与多聚甲醛和糠胺反应制备出四官能苯并噁嗪DHDA-fa。实验结果表明该苯并噁嗪聚合物可有效抑制脱羧反应具有优异的热稳定性,其Td5%为384。此外,其Tg高达326℃,高于大多数已报道的聚苯并噁嗪树脂。(图1)
Scheme 1 双酚酸衍生苯并噁嗪单体的合成路线
图1 聚苯并噁嗪树脂的玻璃化转变温度(a), poly(DHDA-fa)与其他高性能苯并噁嗪树脂Tg和 Td5%值的综合比较(b)
Scheme2 双酚酰胺及其衍生苯并噁嗪单体的合成路线
利用正己胺、环己胺、糠胺和苯胺合成四种双酚酰胺,分别与糠胺和多聚甲醛合成四种苯并噁嗪(Scheme 2)。经实验比较,使用糠胺酰胺化的poly(DFA-fa)表现出优于所有其它聚苯并噁嗪的热性能, Tg可达310℃,Td5%达382℃(图2)。该课题组进一步论证了导入的酰胺键可增加体系内氢键数量,进一步改善聚苯并噁嗪的性能。
图2 双酚酸衍生聚苯并噁嗪的(a)TGA曲线及(b)Td5%和Td10%的具体数值
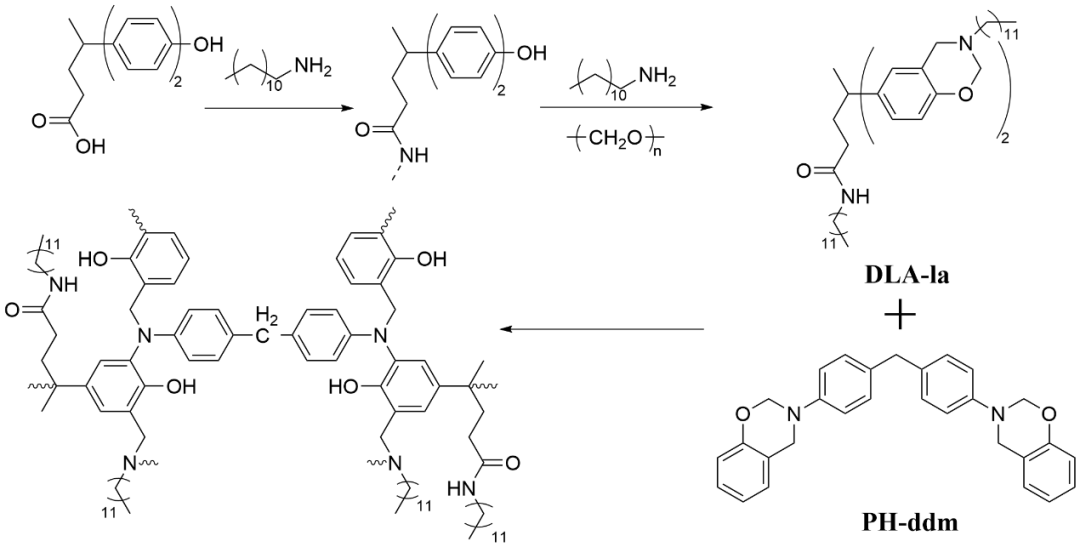
如Scheme 3所示,该课题组利用双酚酸和十二胺反应得到长碳链双酚酰胺,与十二胺和多聚甲醛反应得到具有自增塑作用的苯并噁嗪(DLA-la)。该单体与商用苯并噁嗪(PH-ddm)共混可改善树脂韧性。实验结果表明,DLA-la/PH-ddm共聚树脂在保持高拉伸强度(44.69 MPa)条件下,断裂伸长率提高70.5%(图3)。该增韧方法简便易行,具有良好普适性。
Scheme 3 DLA-la的合成路线及DLA-la/PH-ddm共聚机理图
图3 聚苯并噁嗪及其共聚物的应力-应变曲线
使用双酚酰胺合成环氧树脂(Scheme 4),并用丁二酸酐(SA)固化,其DSC峰值温度为明显要低于传统环氧树脂DGEBA,表明双酚酰胺树脂具有自催化效应。同时,树脂的Tg及机械性能较DGEBA有明显改善。该工作论证了酰胺键增加树脂中氢键数量,对改善树脂性能具有重要作用。
Scheme 4 生物基环氧单体的合成路线
WILEY
论文信息:
Zizhao. Qian, Yanglei. Zheng, Qing. Li, Lujie. Wang, Feiya. Fu, Xiangdong. Liu*. Amidation way of diphenolic acid for preparing bio-polybenzoxazine resin with outstanding thermal performance [J]. ACS Sustainable Chemisrty & Engineering, 2021, 9(12): 4668.
Zizhao. Qian, Qing. Li, Lujie. Wang, Feiya. Fu, Xiangdong. Liu*. The chemical effect of furfuryl amide on the enhanced performance of the diphenolic acid derived bio-polybenzoxazine resin [J]. Journal of Polymer Science, 2021, 59: 2057.
Yanglei. Zheng, Zizhao. Qian, Haoran. Sun, Junyi. Jiang, Feiya. Fu, Haidong. Li*, Xiangdong. Liu*. A novel benzoxazine derived from diphenol amide for toughing commercial benzoxazine via copolymerization. [J]. Journal of Polymer Science, 2022.
Zizhao. Qian, Yuanxiang. Xiao, Xujun. Zhang, Qing. Li, Lujie. Wang, Feiya. Fu, Hongyan. Diao*, Xiangdong. Liu*. Bio-based epoxy resins derived from diphenolic acid via amidation showing enhanced performance and unexpected autocatalytic effect on curing [J]. Chemical Engineering Journal, 2022, 435: 135022.
AdvancedScienceNews
Wiley旗下科研资讯官方微信平台
长按二维码 关注我们
分享前沿资讯|聚焦科研动态
发表科研新闻或申请信息分享,请联系:ASNChina@Wiley.com