🎨文献、电子书快速提供、英文论文撰写查重以及语法校对服务,全部免费!快快联系小编(文末二维码添加)。
论文DOI:10.1016/j.cej.2021.133780从废水中回收氨的传统技术通常需要较高的化学品和能源投入。如果废水硬度大,则存在结垢而增加成本的风险。将流动电极电容去离子(FCDI)与一价阳离子交换膜(MCEM)相结合,可以解决上述问题。该方法是一种通过简单调整充放电工艺,从煤气化灰水中选择生产富氨溶液的有效策略。在充电过程中,由于带电碳颗粒上的双电层(EDL)的电吸附和电位梯度的电渗析,NH4+和Na+都被输送到阴极,而Ca2+则被MCEM保留。法拉第反应诱导了OH-的生成,导致带电的NH4+转化为未带电的NH3。当电极极性反转时,Na+等带电物种大部分会返回中间腔室,而NH3更有可能由于缓慢的pH变化而留在阴极中,从而产生富氨溶液。在最佳操作条件下(即碳含量为5wt%,充放电电压分别为4.5和0.2V,充电80min和放电15min,连续循环6次),在相对较低的电能消耗(11.1kWh/kg N)下,获得了稳定的回收效率(~205 mg/L/次循环)和70.4%的产品纯度。此外,MCEM还有效地防止了钙垢的产生。这些结果表明,FCDI与MCEM联用可以有效去除NH4+,回收富氨溶液,去除工业废水中的TOC,并减缓结垢。煤气化技术在全球能源结构以煤为主的煤化工国家中占有重要地位,与我国一样,通常采用水煤浆加压气化技术来解决能源短缺和排放问题,从而产生煤气化灰水(CGGW)。然而,CGGW(富含氨气)的低C/N特性降低了污水处理系统的可生化性,导致每年有数百万吨氨氮排放到严重富营养化和对水生生物具有急性或慢性毒性的水体。因此,迫切需要开发氨氮回收技术,以提高CGGW的生物降解性,实现未来全球环境的可持续发展。在从工业废水中回收氨氮的技术中,最具代表性的方法有气提法、正渗透法(FO)等。气提法的成本很高,而且需要投入化学物质。氨的汽提还存在与结垢和结垢有关的重大技术挑战。FO具有高效的水回收和氨氮浓缩性能,但FO膜对所有离子具有高效的截留能力,因此氨氮产品的纯度(P%)降低了其经济价值。例如,FO可以回收活性污泥中96%的NH4+-N,但其产物是NH4+-N、PO43+-P和溶解有机物的混合物。此外,FO膜容易受到污染。因此,亟需啊开发一种简单而经济的技术从废水中选择性地分离和回收氨氮。最近,基于电容去离子(CDI)的技术因其具有成本效益、环保、易于管理和高水回收效率等优点而在养分回收方面越来越受欢迎。由于CDI和膜电容去离子(MCDI)采用固定电极,因此其吸附能力有限。可以通过在流动电极腔室内使用悬浮碳颗粒作为电极来解决这一问题,称为流动电极电容去离子(FCDI)。FCDI表现出更高的电容,因为它的容量可以通过电极的体积或碳负载来控制。一些研究已经使用基于FCDI的方法从废水中回收氨氮来生产铵盐,但随后的酸吸附需要投加大量的化学品。此外,关于铵盐的市场价值也一直存在争议。例如,从废水中回收的一种被广泛用作农业肥料的常见产品--硫酸铵的价值很低(约0.13 USD kg−1)。相比之下,富含氨的溶液可以显著提高用于塑料、纺织制造、食品生产和化肥行业的产品的商业价值。以前的学者通过控制铵和氨之间的pH平衡反应,利用FCDI技术生产富氨溶液,不需要额外添加化学物质。然而,在初始浓度低至43
mg/L的情况下,NH4+-N的去除效率仅为~50%(充电和放电电流密度分别固定在I=6.0A/m2和−9.0A/m2),因此该方法显然不能满足后续生化处理的进水要求,因为CGGW中的NH4+-N浓度远远高于43 mg/L。此外,CGGW中高浓度的Ca2+和阴极碱性环境形成的Ca(OH)2会对离子交换膜和在阴极结垢,从而影响系统的稳定性和性能。为了解决上述问题,本研究将致力于研制一种高压单价阳离子交换膜耦合的改进型FCDI电池(设计为M−FCDI),以提高对氨氮的去除和回收效率,同时防止钙结垢。通常,由于碳电极的氧化和水的电解导致海水淡化性能和长期稳定性的下降,基于CDI的技术一直在<1.2V的电压下运行。然而,由于CDI元件的各种电阻,电极电位低于施加的电压。在此基础上,FCDI电池在1.2~4.5V的不同电压下运行。在选择了最优电压后,评估了不同运行条件对性能的影响,以确定特定参数的影响。然后在连续六次充放电循环中使用最优参数进行长期氨回收。本工作的总体目标是:i)证明高电压(>1.2V)的概念,以确保FCDI的长期稳定性;ii)MCEM在从含钙废水中回收氨氮时的重要性;iii)一种从CGGW中生产高纯富氨溶液的无化学添加剂的方法。表1列出了本研究中使用的特定M-FCDI和C-FCDI的术语和首字母缩略词。
与C-FCDI相比,M-FCDI明显防止了在1.2V电压下2000分钟的充电过程中电流密度的下降(图2a),在大约700分钟的充电后,M-FCDI的出水电导率比C-FCDI低近200-1000μS/cm。(图2b)。M-FCDI的稳定性能可能是由于MCEM有效地阻止了Ca2+进入MCEM和阴极,因为在使用过的MCEM的横截面上没有观察到明显的Ca浓度增加(图2e和2f)。相反,Ca2+可以穿过CEM,导致电阻和出水电导率增加,因为在使用过的CEM的横截面上发现了约100%的Ca浓度增加(图2c和2d),并且在从C-FCDI中取出的碳颗粒上发现了大量的Ca(图2g)。FCDI在1.2至4.5 V的各种充电电压(CV)下工作,结果显示4.5 V优于2.5 V和1.2 V,具有出色的去除和回收性能(图2i)。值得注意的是,直到4.5 V都没有出现明显的碳氧化和水电解(因为没有产生气体) (图2j)。因此,选择4.5 V作为最佳电压,以保证去除和回收效果。
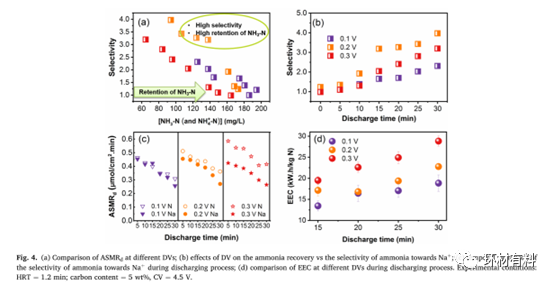
结果表明,碳含量对去除和回收有相反的影响。在充电过程中,碳含量的增加可以提高去除效率(图3a)或去除速率(图3b),这归因于碳含量的增加可以形成更好的导电3D互连网络,与电流密度变化一致(图3b)。然而,较高的碳含量在放电阶段显示出较差的回收效率(图3c)。10 wt%碳含量仅回收了23.6%(放电15分钟)的氨氮,远低于2.5 wt%和5 wt%的回收效率。这是因为碳对氨氮具有吸附能力(图3e和3f)。因此,10 wt%碳含量有助于NH3保留在碳的孔隙中,并且阴极电解质中存在较少的氨。此外,在放电过程中,含量较高的FCDI系统可以将更多的NH4+推回中间腔室。较高的碳含量增强了电容效应,并抑制了法拉第过程,pH波动更小,使得阴极室pH值更低。因此,在10 wt%系统中,带电NH4+ 占据较大含量,并且当施加反向电压时被释放回中间腔室,从图3d中的ASMRd可以看出。因此,在下面的实验中选择5 wt%的碳负载,其显示出比2.5 wt %更好的去除效率和比10 wt%更好的回收效率。较小的NH4+水和半径(3.58äNa+)和NH4+/Na+摩尔比(在本研究中大于5)导致了NH4+的优先电迁移。因此,需要一个最佳的放电电压(DV)来保持碱性条件,以避免氨氮的损失,并尽可能地排除Na+。结果表明,在0.2V放电15分钟后,氨氮的保留率和选择性都很高(图4a和4b)。一方面,过大的DV(即0.3V)会导致更显著的阴极pH下降,促进NH3(AQ)向NH4+转化;与强大的静电斥力相结合,阴极氨氮发生了显著的损失(图4A)。另一方面,虽然0.1V的氨氮保留率相当高(图4a)(图4c中低NH4+ ASMRd,原因是较弱的电斥力和轻微的pH下降),但由于较弱的电斥力,Na+的ASMRd较低,因此表现出不理想的选择性。因此,0.2V是该体系的最佳DV。它不仅可以避免严重的pH下降造成的氨氮损失,而且可以避免0.1V时弱电斥力对Na+的滞留,并且随着放电时间的延长,能耗增加(图4d)。综合考虑回收效率、选择性和能耗,选择0.2V放电15min为最佳工艺条件。通过改变碳含量、HRT、DV和CV值,优化了合成CGGW生产富氨溶液的工艺条件。根据上述结果对真实CGGW进行进一步测试(充电80min,放电15min)。充电过程中积累在阴极中的离子主要是NH4+、Na+和K+,绝大多数Na+和K+被释放回中间腔室,放电过程中未带电的氨则留在阴极中(图5)。此外,阳极对TOC的去除有利于后续的生物处理(图5d)。
图6a显示,氨浓度在每个充电过程中保持(几乎是线性的)增加,在每个放电过程中几乎没有变化,最终浓度达到1231 mg/L(平均每个循环的氨回收率为205 mg/L),而大部分Na+和K+被释放回中间腔室,得到纯度为70.4%的富氨溶液,平均EEC为11.1kWh/kg N,较高水回收率为84.2%。氮经历了一个复杂的迁移和转化过程(图7a),因为富氨溶液是通过M−FCDI产生的。充电过程中NH4+的迁移可归因于电吸附和电渗析。部分NH4+被电吸附在碳颗粒的EDLS中,由于法拉第反应而去质子化,自发解吸到电解液中。PH的升高也促进了电渗析产生的电解液NH4+转化为NH3。然后,一定量的NH3被电极碳吸附,极大地削弱了回收潜力。必须指出的是,图7b中放电前后的“吸附”的差异表明,NH4+在EDLS中被电吸附,而当施加相反的极性时,它在电解液中被排斥。充电时检测到过氧化氢(图7c),可能是充电过程中O2的电化学还原产生的。然后通过H2O2的电化学还原生成⋅OH自由基,在引发极性反转的同时,通过H2O或OH-的电化学氧化生成⋅OH。![]()
表2提供了M−FCDI与氨回收替代方法的详细和全面的比较;替代方法分为电化学方法、物理方法、化学方法和生物方法。
基于FCDI的电化学方法以前主要用于从稀释废水中去除或回收氨,然而,可以得出结论,从低浓度废水中回收氨氮需要更高的能耗。CapAmm可以将合成尿中的EEC大大降低到7.8kWh/kg N,但产品是低值的NH4SO4溶液,出水(超过500 mg/L)对于后续的常规处理仍然是一个很大的负担。除了基于FCDI的方法之外,还有许多竞争性的电化学方法,它们通常包括用于将氨离子输送到阴极的电化学单元(例如,生物电渗析、微生物燃料电池、微生物电解槽和微生物脱盐槽)和用于选择性回收氨的氨分离单元(即,吹脱系统、絮凝、酸吸收腔)。MFC、MECs和MDCs通过有机物的微生物氧化产生电能,因此成为同时处理废水(去除COD)、发电和回收资源的一种很有前途的途径。请注意,氨分离装置将需要额外的化学品或额外的能量。例如,添加了聚丙烯酰胺(PAM)和聚合氯化铝(PAC)以改善出水水质。在MEC与空气吹脱系统相结合的情况下,添加HCl来捕获NH3(AQ),并消耗额外的电能进行曝气。在物理或化学方法方面,高昂的成本阻碍了其应用的推广。膜技术需要很高的投资来建立和维护(膜容易受到污染)。气提需要添加额外的碱,适合回收高浓度氨氮。离子交换受到时间要求和与其他离子的竞争的限制。化学方法的产品一般是鸟粪石,然而,从废水中生产鸟粪石的成本不仅过高,而且其价值太低,无法与相对较低的矿山成本竞争[46]。生物法主要以活性污泥法为主,如同步部分硝化、厌氧氨氧化反硝化(SNAD)、微藻和光合细菌(PSB)等。SNAD回收的氮气不符合循环经济的概念,进一步增加了氮气回收的成本,因为氨氮更容易回收和再利用,以减少氨氮进入自然水生态系统。微藻法适用于中低浓度废水,藻类生物量产物不易收获。PSB的恢复性能受到光强度的限制。我们的M−FCDI系统表现出与其他替代系统竞争的性能,在平均EEC为11.1kWh/kg N的情况下,经过6个循环,最终浓度达到1231 mg/L(P%为70.4%)。
![]()
CGGW的常规氨预处理需要额外的化学物质和较高的能量投入。另一种方法是利用M−FCDI直接回收氨氮(FCDI与MCEM耦合,4.5V充电,0.2V放电),然后对有机物进行软化和生物处理。结果表明,M−FCDI是一种很有前途的从实际垃圾焚烧废液中选择性生产富氨溶液的方法:i)M−FCDI是一种无化学物质且能耗低的预处理技术;ii)MCEM有效地避免了污染并保证了系统的稳定性;iii)与以前的FCDI回收富氨溶液相比,M−FCDI对氨氮的去除通量更高,使出水达到后续生化处理的要求;iv)获得了高纯富氨溶液(70.4%的P%),超过了先前研究中P%的25.5%(根据提供的信息计算);V)实际CGGW中TOC的大量去除对后续的污水处理更加有利。此外,还可以通过监测电极的pH值波动来评价FCDI系统在氨回收过程中的稳定性。M−FCDI方法的一个主要局限性是流动电极的导电性差,这增加了内阻,限制了离子的去除/回收效率,从而导致较高的能耗。此外,AC对NH3的吸附能力大大降低了回收效率。因此,寻找一种导电性好、吸附能力差的电极材料是FCDI回收氨的前景所在。https://doi.org/10.1016/j.cej.2021.133780往期推荐:
向环材有料投稿,即可在文献电子书直达群享受免费文章查重以及校对服务!
环材有料为广大环境材料开发研究领域的专家学者、研发人员提供信息交流分享平台,我们组建了环境材料热点领域的专业交流群,欢迎广大学者和硕博学生加入。
进群方式:添加小编为好友(微信号:19921509369),邀请入群。请备注:名字-单位-研究方向。