![]()
课程已更新至33讲,共939分钟,每周持续更新中
现已有来自150多家企业的学员加入~
可扫码下图进入课程,免费预览!![]()
作 者 | 姚禹
大宗商品价格波动对投资者的投资决策和国家经济稳定具有十分重要的影响。一般来说,大宗商品之间的供需矛盾是造成价格波动的主要原因,而供需双方的博弈与经济的周期性运转保持着密切联系,所以在相关经济周期的波动中,具体研究和分析大宗商品价格波动规律变得越来越重要。本文以库存周期理论为基础,选取郑棉期货作为代表,对郑棉价格波动进行实证分析。
库存周期又称基钦周期,基本周期为3—4年,一个完整的库存周期包括以下四个阶段:一是主动补库阶段。在主动补库阶段,下游企业需求逐步改善,部分生产企业的生产规模和开工率稳步提高。在这个阶段中,企业确认了市场需求的回升,产业内的利润开始走高,进一步推动价格上扬,企业一方面愿意通过原有库存来换取更多利润,另一方面则不断积极寻求机会来补充消耗的库存。在此背景下,企业主动补库意愿增加。二是被动补库阶段。当产业利润攀升至高点时,商品价格也达到阶段性顶峰,过高的价格市场接受程度下降,需求开始萎缩。不过,由于价格传导机制有一定的时间滞后性,企业受生产规模扩张的影响,产能处于高位,这时只能通过补充库存维持生产来平摊固定成本。此时,市场将出现供过于求的局面,商品价格下跌,这就是被动补库存阶段。三是主动去库阶段。当市场需求处于持续性低迷状态、产品价格明显下跌时,企业通常采取主动防御策略,缩减生产规模,降低产能利用率,产成品生产数量减少,库存处于低位运行,此时便来到主动去库存阶段。四是被动去库阶段。当企业处于被动去库存阶段时,前期相对萎缩的市场需求开始复苏,但是受生产计划调整滞后的影响,此时呈现出消费需求改善、产品价格触底反弹、库存继续下降、产能利用率低位运行的特点。具体如下图所示:郑棉期货自2004年6月1日上市以来,交易、风控、交割制度日益完善,但是由于棉花的农产品属性,供给容易受到季节性因素的影响,供需矛盾问题突出,所以价格波动剧烈。由下图郑棉期货收盘价可知,郑棉收盘价低点曾触及10000元/吨,高点则突破35000元/吨,价格波动幅度显著,但是也呈现出一定的规律性。大宗商品的供求双方在力量对比上的变化,通常与经济的周期性运转有着密不可分的关系,所以在相关经济周期的波动中,具体研究和分析大宗商品价格波动规律变得越来越重要。通过找寻这种规律,笔者从库存周期这个重要的周期理论视角出发,将库存周期在不同时期的节点作为棉花价格波动规律的参考物,研究其对棉花价格波动的影响情况,把握棉花价格整体走势,无论是从理论还是从现实角度来说都具有重要意义。
一般情况下,价格类观测指标要先于库存类指标变动,属于非常理想的库存周期观测指标。本文在观测库存周期上选择了PPI作为观测指标,并以价格指标变动的明显节点作为划分库存周期的时间依据,利用Census X12方法对库存周期进行划分。通过Eviews软件,我们可以得到以下四幅图:
从季节调整序列可以看出,时间序列在经过X12季节调整后总体趋势十分明显。从季节因子序列图可以看出,季节因素呈现出非常明显的周期性。而趋势循环序列表示,将不规则序列以及季节因素去除后的整体趋势,曲线图光滑,季节影响因素处理效果满意。在宏观经济学中,序列组成成分中的长期趋势是重要的研究对象,Hodrick-Prescott滤波(下称H-P滤波),是经常使用的经济变量趋势分解方法,利用H-P滤波可以将经济变量序列中的长期增长趋势和短期波动成分分离出来,经过H-P滤波处理得到的数据为平稳序列。假设Mt是包含趋势成分和波动成分的时间序列,MTt表示其中的趋势成分,MCt表示其中的波动成分,则最小化问题我们可以选择利用[c(L)MTt]2来调整趋势的变化。趋势随着λ的变化而变化。一般来说,当λ=0时,满足最小化问题的趋势等于表达式Mt。当λ增加时,估计趋势中的变化总数相对于序列中的变化减少,即λ越大,估计趋势越光滑。λ趋于无穷大的时候,估计趋势将接近于线性函数。由于本文所选数据为季度数据,根据经验可知,λ选择为1600。对上文最终趋势循环因子进行H-P滤波分析后得到下图。
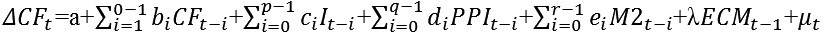
由图的波峰和波谷,我们可以大致将我国的农产品库存周期做以下划分:2006—2009年、2009—2013年、2013—2016年、2016—2020年、2020年至今。结合一个完整的库存周期,时间跨度大致为3—4年的理论来看,本文通过H-P滤波处理后的周期划分是合理的。由于本文的研究对象是棉花产业,所以需结合棉花产业的库存变化,对库存周期进一步进行划分。上图展示出2002年1月至2021年9月纺织业规模以上工业企业产成品存货同比走势,根据上图并结合之前的库存周期划分,可以得到以下具体区间划分:我们对库存周期进行细化之后,得到几个时间段。为了研究库存周期对价格波动的影响,本文通过自回归分布滞后—误差修正模型(ARDL-ECM)以及在此模型理论上提出的边界协整检验法进行实证分析。本文所用到的四个变量ARDL模型的基本形式如下:上式中,a,bi,ci,di都是常数,是一个稳定的白噪声序列,下面将上式进行一定的处理,引入等价变换和一阶差分方法后,可以得到如下公式:上式中,a,bi,ci,di,σ1,σ2,σ3,σ4都是常数,上式也可以称为是无限制的误差修正模型,继续将上式中非差分的一阶滞后项进行合并,就可以得到如下式:上式中的λ表示的是误差修正系数,ECMt-1表示的是滞后的误差修正因子,上式是由自回归分布滞后模型(ARDL)经过上述的一系列步骤变换整合而得到的,同时又具有误差修正项(ECM),所以上式就是本文用于实证分析过程的自回归分布滞后-误差修正模型(ARDL-ECM)。前文中已经就库存周期对大宗商品价格波动规律进行了较为详细的理论分析,为了增加相关结论的说服力,基于前文的分析基础,在实证分析部分,本文选择纺织业产成品存货(I)作为库存周期的代理变量。为了消除郑棉价格的异常变化,将经过周移动平均平滑处理郑棉价格作为大宗商品价格的代理变量,同时增加PPI指数的同比数据和广义货币供给量(M2)同比数据进行实证分析,CF代表郑棉月度收盘价,四个变量的数据都是月度数据。综合考虑棉花期货交易的实际情况和异常经济因素对实证结果的不利影响,本文选择最近的五个库存周期作为研究的时间跨度来进行相关的实证分析,首先对四项时间序列进行单位根检验。上表展示本文实证分析所需的四项数据的ADF检验结果。由表可知,I、PPI两项时间序列通过了ADF检验,P值小于5%,所以时间序列是平稳的。而M2和CF属于非平稳序列一阶单整,但是经一阶差分后通过了ADF检验,M2(-1)、CF(-1)的P值均小于5%,说明M2和CF经过一阶差分后实现了平稳,ARDL边界协整检验适用,本文最终确定的最大可滞后阶数为3。边界协整检验的原假设是变量之间不存在协整关系,即原假设H0:σ1=σ2=σ3=σ4=0,备择假设为相关变量之间存在协整关系,即H1:σ1≠0或σ2≠0或σ3≠0或σ4≠0。ARDL边界协整检验的结果将会给出两组临界值,一组临界值是假设所有的时间序列是平稳的;另一组临界值则是假设所有的时间序列都是一阶单整的,这两组临界值根据相关的可信度构成了用于协整检验的一个区间,若计算得到的统计量大于这个区间的上边界,就可以拒绝原假设。我们对ARDL结果进行Long Run Form and Bounds Test,得到表4的结果,由表中数据可以看出,F值为127,显著高于10%、5%、2.5%、1%临界值的上边界,说明我们可以拒绝变量间不存在协整关系的原假设,即说明本文所选取样本CF价格与I、PPI、M2之间存在长期稳定的协整关系。根据格兰杰检验结果来看,观察CF与I的关系,F统计量的值为6.4489,P值为0.0037,说明I是CF的格兰杰原因,即纺织业产成品存货指标是郑棉价格波动的长期格兰杰原因,从统计意义上来说,二者是存在相关性的,即证明库存理论对于郑棉价格具有适用性。
本文对库存周期理论的四个阶段特征深入剖析,并结合模型进行实证检验,综合研究认为,库存周期在研究郑棉价格趋势上有较大的参考意义。具体来看,本文通过H-P滤波法对我国棉花产业库存周期进行划分,以此分析对郑棉价格的影响。以纺织业产成品存货指标作为库存代表,通过实证分析结果来看,纺织业产成品存货指标对郑棉价格波动具有显著影响。我国作为全球棉花进口大国和消费大国,对棉花的需求量长期处于高位,棉花价格稳定运行对国民经济平稳发展具有战略性意义,同时对我国棉纺行业来说,把握棉花价格整体走势以及预判棉花价格具有较高的研究价值。就棉纺企业而言,建立健全的库存周期运行监控机制,对把握价格趋势、控制生产库存意义重大,企业可以根据自身建立的库存监控机制,并结合期现实时行情研判结果,对行业整体库存规模进行有效的分析和判断。与此同时,通过把握库存周期的整体走势,判断行业所处的库存周期区间,最大程度地降低因企业在产业链传导的滞后性问题上对商品价格波动的影响,能够显著提升企业对自身库存数量的管理水平。通过对产成品库存进行有效规划,降低企业因过度囤货造成的资金不合理占用,显著提升资金利用效率,降低资金使用成本,提高企业的竞争力,有效保障企业乃至整个行业的稳健发展。(作者单位:华安期货)![]()
为什么你值得加入《大宗商品贸易知识体系46讲·学习营》
从2020年下半年开始的大宗商品上涨,到欧洲战事背景下,能源、谷物等各类大宗商品进一步吃紧,市场价格波动剧烈,少数商品甚至出现极端行情。由此,在新经济、数字经济等耀眼潮流中,本来长期潜在公众关注的视线水平面以下的大宗商品及大宗商品贸易,这几个月来不断成为被世人瞩目和焦虑的热点。今年3月伦敦金属交易所镍逼空事件,几乎引发全网开始学习什么是期货逼空这样的大宗商品交易的专业化概念。
大宗商品显然不是因为宏观环境的巨变而意外闯进人们视野,相反是在动荡的环境中,大宗商品作为经济活动的根本基础的价值在沉重背景下被凸显出来。当人们都在仰望星空,追逐新经济的“诗和远方”时,几乎忽视了脚下大宗商品这等旧经济大地的默默存在。今日这大地竟然意外的伴着战云的怒吼,如巨鲸一样抖动起庞大的身躯,将人们从“元宇宙”、“虚拟世界”的畅想中猛然打断,迎面撞见黑黝黝踏浪而来的油轮和散货船,使人们猛然意识到这相貌粗糙的旧经济元素竟然一日不可或缺,且至关重要。以至有人观察到“标准普尔500指数中,今年表现最好的21只股票,竟均属于能源、化肥或其它大宗商品生产企业”;而与此同时,纳斯达克科技股却创下金融危机以来的最大跌幅,让人冷然感到似乎泡沫要破裂的危险。此消彼长间,人类似乎可能发现,自己并没有如所乐观料想的那样,比之先古已经走出了很远。
![]()
本次学习营的主讲老师赵钢是北京金诚同达(上海)律师事务所合伙人 ,拥有大宗商品贸易领域19年工作经验,专注于铁矿石、金属、煤炭、钢材、化工品等大宗商品贸易业务的风险管理及法律事务管理及咨询;曾在央企国企任职多年,负责大宗商品贸易业务法律事务及全面风险管理;担任众多大型贸易企业风控及法律顾问,并持续为行业大型企业、知名专业院校提供国际贸易专题及系列讲座。
反复思量,我们觉得这是一次饱含诚意的邀请。准备良久的课程也希望能让你眼前一亮,并给到你到实实在在的业务帮助。
相较大宗商品贸易行业持续热点的交易投研端知识体系研究,此次课程体系注重大宗商品贸易期现业务本身的综合生态结构、贸易运营管理及交易执行的全流程专业规范,以及贸易生态的底层法律规范,与大宗商品行业投研端知识体系形成有机互补。
课程共陆续更新包括大宗商品贸易知识体系框架、风险管理、法律合规管理、买卖交易、贸易融资结算、贸易物流、衍生品合规、交易纠纷解决、贸易数字化,共9个专业模块,合计46讲的系列视频课程。
本次课程形式采取了【视频课程+社群深度交流+不定期直播】的方式,想让大家利用碎片化时间,每周更高效汲取知识,并且在专属社群内大家可更便捷的进行交流,同时不定期还会有讲师进行直播分享。
如果你对课程内容有任何建议和意见,希望你能通过扑克晓晓(微信id:13311921072)与我们取得联系,课程会因你变得更立体更丰满!
所以,这不是一个看完就结束的线上课程,而是一个大宗商品行业深度的知识经验交流平台和业内人士集聚的大本营,很期待大家的加入,让我们共同携手打开大宗商品贸易深海下的闸门!
![]()
![]()
👇如果觉得内容不错,
| 为保证即时看到我们推送
|
分享给你的朋友们吧
| 请关注扑克投资家并「设为星标」 |
👇👇【来自扑克的邀请】国有平台企业请点击“阅读原文”,立即联系我们!