清华大学水利系遥感水文水资源团队将近期研制的五套数据集,包括:(1)北半球湖冰厚度、(2)藏东南冰川表面高程变化和边界地形、(3)青藏高原多源融合降水、(4)华北平原实际蒸散、(5)美国大陆灌溉用水量,在国家青藏高原科学数据中心(http://data.tpdc.ac.cn)发布,用户可开放获取。
1. 北半球湖冰厚度数据集
清华大学水利系遥感水文水资源团队(李兴东博士生、龙笛研究员等),近期提出了一种基于卫星测高雷达波形分析的湖冰厚度遥感反演方法,获得了北半球16个大型湖泊和水库过去近三十年的冰厚,时间分辨率10天。在此基础上,开发了主要依靠遥感数据驱动的湖冰模型,模拟了北半球大于50 km2的1313个湖泊和水库(湖库总面积约840,000 km2)的日尺度冰厚,发现了2003–2018年北半球多年平均最大冰厚为0.63 m,预估了在RCP 8.5情境下未来冰厚可能减小~0.35 m。湖冰变薄将对区域水文气候和湖泊生态系统,以及冰上交通等社会经济活动造成重大影响。相关论文以“The state and fate of lake ice thickness in the Northern Hemisphere”为题近期发表于Science Bulletin (Article, IF=11.78)。
作为冰冻圈水文学的重要研究对象,湖冰的生消对气候变化极其敏感,可以作为气候变化的指示因子,并起到调节区域气候和湖泊生态系统的作用。湖冰厚度和湖冰覆盖面积是全球气候观测系统(GCOS)选取的反映湖冰变化的关键变量。现有研究主要集中在湖冰覆盖/湖冰物候领域,由于缺乏实测资料和高效的遥感观测平台,湖冰厚度领域还存在诸多空白。该湖冰厚度数据集可以为相关领域的研究提供重要的方法参考和基础信息。
该数据集包含:(1)基于测高卫星TOPEX/Poseidon, Jason-1/2/3观测的16个大型湖泊水库1992–2019冰厚,借助测高雷达电磁波对湖冰的穿透效应,通过确定来自湖冰上、下表面的信号以及它们之间的时间差,再根据湖冰中微波的传播速度求出冰厚。该方法物理意义明确,不依赖经验参数,整体精度良好,数据时间跨度长,便于推广到无实测资料湖泊水库;(2)基于遥感湖冰模型模拟的全球1313个大型湖泊水库冰厚、积雪深度数据,以MODIS遥感地表温度作为边界条件,求解湖冰内部的温度场,获得湖冰积累或融化速率,根据MODIS地表反照率信息,判断湖冰表面是否存在积雪,修正不合理的表面积雪模拟结果;(3)对未来湖冰厚度(2070–2099年)的预估结果,通过对温度场作线性简化并引入率定参数,对没有遥感信息的未来时段进行了冰厚的预估,未来湖冰厚度减小的空间分布图1所示。
图1 未来(2071–2099年)湖冰厚度、湖冰表面积雪、冰上道路可用时间预估结果
(a–c) 冰与雪的总厚度、冰厚及冰上道路可用时间在不同碳排放情景下的变化。横坐标表示各个湖泊按照现阶段冰雪总厚度、冰厚和冰上道路可用时间从小到大的排列顺序。(d–f) RCP 2.6情景下冰与雪的总厚度、冰厚及冰上道路可用时间的空间分布;(g–i)是与(d–f)相同变量但在RCP 6.0情景下的空间分布;(j–l)是RCP 8.5情景下的空间分布
该研究受国家自然科学基金(编号92047301, 91547210, 51722903)等项目资助。
数据信息
✦
李兴东, 龙笛, 黄琦, 赵凡玉. (2022). 北半球湖冰厚度数据集(1992‒2019,2071‒2099). 国家青藏高原科学数据中心, DOI: 10.5281/zenodo.5528542.
下载链接:https://data.tpdc.ac.cn/zh-hans/data/8d201057-abee-4b3d-8570-ca17f8040130/
论文信息
✦
Li, X., Long, D., Huang, Q., & Zhao, F. (2022). The state and fate of lake ice thickness in the Northern Hemisphere. Science Bulletin, 67(5), 537‒546.
专利信息
✦
李兴东, 龙笛. 冰层厚度计算方法、装置、计算机设备和存储介质 (已授权,专利号:202010222282.5).
2. 藏东南冰川表面高程变化数据和边界、地形数据集
清华大学水利系遥感水文水资源团队(赵凡玉博士生、龙笛研究员等)近期提出了一套联合卫星测高、地形数据、卫星重力等多源遥感手段监测冰川变化动态的新方法,并生成了藏东南地区近二十年的冰川表面高程变化数据集,相关论文发表于Remote Sensing of Environment (IF=10.164)。
冰川物质平衡是冰川积累与消融间的关系,可以直接或延迟反映气候变化,是联系冰川与气候环境之间相互作用的关键纽带。冰川物质平衡的监测(计算)方法主要有传统的测杆法、遥感大地测量法、卫星重力法以及水量平衡法等。但是,由于数据时间跨度、空间分辨率、数据可获取性等多重因素的影响,单一方法很难获取连续且高时空分辨率的冰川消融数据。所以,融合多种冰川研究方法是目前一种必要而且有效的手段。
为准确认识藏东南地区冰川物质变化现状、特征及其影响,研究者联合卫星测高、地形数据、卫星重力等多源遥感手段,量化了近二十年来藏东南地区的冰川物质平衡,获取了长时序、高时空分辨率、高精度的冰川动态变化结果。相关数据经与手持GPS观测结果、无人机高精度DSM及以往研究对比验证,表明该研究提出的方法具备监测大范围冰川变化的能力,且能够生成高时空分辨率的冰川动态变化数据。
图2 藏东南冰川表面高程变化速率空间分布(0.5°×0.5°网格)。圆的大小代表每个网格内冰川的面积,圆的颜色代表每个网格内冰川表面高程变化值
图3 该研究依据河网和冰川范围定义的藏东南地区边界及基于NASADEM拼接的地形数据
该研究受“第二次青藏高原综合科学考察”任务一专题五(2019QZKK0105)等项目资助。
数据信息
✦
赵凡玉, 龙笛, 李兴东, 黄琦, 韩鹏飞. (2022). 近二十年藏东南地区冰川表面高程变化数据(2000-2019). 国家青藏高原科学数据中心, DOI: https://doi.org/10.1016/j.rse.2021.112853.
下载链接:https://data.tpdc.ac.cn/zh-hans/data/8d61e737-0c31-4d70-b545-94d2987eaa17/
赵凡玉, 龙笛, 李兴东, 黄琦, 韩鹏飞. (2022). 藏东南地区边界、地形数据(2000). 国家青藏高原科学数据中心, DOI: https://doi.org/10.1016/j.rse.2021.112853.
下载链接:https://data.tpdc.ac.cn/zh-hans/data/02ee6fee-a320-4af0-b199-4790c37101f2/
论文信息
✦
Zhao, F., Long, D., Li, X., Huang, Q., & Han, P. (2022). Rapid glacier mass loss in the Southeastern Tibetan Plateau since the year 2000 from satellite observations. Remote Sensing of Environment, 270, 112853.
专利信息
✦
赵凡玉, 龙笛. 冰川物质平衡量获取方法、装置、计算机设备及存储介质 (已授权,专利号:201911070350.4).
3. 青藏高原多源融合降水数据集
清华大学水利系遥感水文水资源团队(洪仲坤博士生、龙笛研究员等)提出了一种多源降水数据融合新方法,该方法采用人工神经网络,结合环境变量数据确定各降水数据源的权重,对现有基于站点、卫星和再分析数据集的降水数据进行融合,生成了青藏高原1998‒2017日降水数据集MSP (Multi-Source Precipitation)。相关论文发表于水文气象领域的权威期刊Journal of Hydrometeorology (IF=4.349)。
青藏高原的降水在区域水循环和能量循环中发挥着关键作用,对下游国家的水资源供给有重要影响。气象站所获取的降水信息通常作为基准值,但在气候地形复杂、环境多变的青藏高原中,气象站数据十分有限,卫星和再分析降水产品可以为站点观测提供补充信息。该数据集使用人工神经网络,考虑环境变量(包括海拔、地表压力和风速)的影响确定各种数据源的权重,对站点、卫星和再分析数据进行最优融合。MSP时间覆盖1998‒2017年,空间分辨率为0.1°。与其他卫星降水数据产品相比,MSP与站点降水数据的日降水相关系数(CC)最高(0.74),均方根误差第二低。研究者还使用分布式水文模型,进一步评估了降水数据在缺降水实测数据的长江源和黄河源的水文模拟效力,径流模拟表明,MSP实现了每日流量模拟的最佳Nash-Sutcliffe效率系数(超过 0.8)和相关系数(超过 0.9)。此外,基于多重评估(Multiple Collocation)的对比分析,MSP 在实测数据最为稀疏的青藏高原西部表现最好。上述对该融合降水数据的系统性检验表明MSP降水数据融合方法的有效性和较好的数据质量。
图4 青藏高原各降水数据产品多年(1998‒2017)平均降水空间分布图
图5 基于站点数据评估各降水产品精度结果箱线图
评估选择2015‒2017的日降水数据,并展现整体评估以及春夏秋冬四个季节的评估结果
该研究受国家重点研发计划课题(2018YFE0196000)等项目资助。
数据信息
✦
洪仲坤, 龙笛. (2022). 青藏高原地区多源融合降水数据(1998-2017). 国家青藏高原科学数据中心, DOI: 10.11888/Atmos.tpdc.272247. CSTR: 18406.11.Atmos.tpdc.272247.
下载链接:http://data.tpdc.ac.cn/zh-hans/data/490df302-cd60-4ebb-a56a-1263a3c1a9df/
论文信息
✦
Hong, Z., Han, Z., Li, X., Long, D., Tang, G., & Wang, J. (2021). Generation of an improved precipitation data set from multisource information over the Tibetan Plateau. Journal of Hydrometeorology, 22, 1275–1295.
专利信息
✦
洪仲坤, 龙笛, 韩忠颖. 山区降水量的计算方法、装置、计算机设备和存储介质(已授权,专利号:201911104700.4).
4. 华北平原实际蒸散数据集
清华大学水利系遥感水文水资源团队(张才金博士生、龙笛研究员),联合中科院农业资源研究中心和美国农业部水文遥感实验室的合作者,构建了适用于华北平原作物轮作制度的实际蒸散估算方案,生成了华北平原2008–2019年高精度、高时空间分辨率 (1 km,逐日)蒸散数据。相关论文发表于Remote sensing of Environment (IF=10.164)。
蒸散发是陆地和大气系统间水热交换的重要通量。长序列高时空分辨率高精度蒸散数据对作物灌溉用水量估算、干旱监测和预警(包括骤旱)、改善大气模型效果等都有重要意义。过去二十年间卫星热红外遥感的迅速发展(如MODIS,Landsat,ECOSTRESS等传感器和平台),催生了一系列基于地表能量平衡的蒸散估算模型。
然而,现有的诸多热红外遥感蒸散模型和相关数据仍存在一系列亟待解决的问题,包括:作物物候对蒸腾计算的影响考虑不足、输入数据的局限导致蒸散估算结果时空分辨率和时空覆盖度有限、复杂下垫面蒸散数据精度较低等,难以支撑农业水资源精细化管理的客观现实需求。尤其是,热红外遥感反演地表温度受云雨天气影响较大。在种植结构复杂的下垫面,作物物候变化、灌溉/雨养条件的差异导致蒸散过程的复杂性和模拟的较大不确定性。
为解决上述问题,研究者基于前期提出的“时空连续再分析背景场–高质量遥感影像–系统误差校正”全天候地表温度时空融合方法(Long et al. 2020, RSE),和美国农业部多年不断发展的TSEB模型,构建了适用于作物轮作种植制度的植被绿度系数参数化方案,获得了华北平原的蒸散数据集。相关数据经华北地区多个站点、全球和区域蒸散产品的对比验证,表明其具有较好的质量和可靠的精度,能满足华北平原蒸散及相关研究的需求。
图6 该研究估算的日蒸散与经过余项法闭合修正的地面观测日蒸散(ET_RE,橙色点)、经过波文比法闭合修正的地面观测日蒸散(ET_BR,蓝色点)以及原始地面观测日蒸散(ET,橙色点)在怀来(a-b,2013‒2017)、大兴(c-d,2008‒2010)、馆陶(e-f,2008‒2010)、栾城(g,2008‒2010)和禹城站(h,2008‒2010)的时序对比图
图7 该研究估算的华北平原蒸散在2008–2017年冬小麦和夏玉米生长季的空间分布图
该研究受国家自然科学基金(编号52079065, 51722903)等项目资助。
数据信息
✦
张才金, 龙笛. (2022). 基于双源能量平衡模型和数据融合的华北平原时空连续蒸散发数据集(2008‒2019). 国家青藏高原科学数据中心, DOI: https://doi.org/10.1016/j.rse.2021.112519.
下载链接:https://data.tpdc.ac.cn/zh-hans/data/4264fa57-3b66-4977-876c-6e49d777fc81/
论文信息
✦
Zhang, C., Long, D., Zhang, Y., Anderson, M.C., Kustas, W.P., & Yang, Y. (2021). A decadal (2008–2017) daily evapotranspiration data set of 1 km spatial resolution and spatial completeness across the North China Plain using TSEB and data fusion. Remote Sensing of Environment, 262, 112519.
Long, D., Yan, L., Bai, L., Zhang, C., Li, X., Lei, H., Yang, H., Tian, F., Zeng, C., Meng, X., & Shi, C. (2020). Generation of MODIS-like land surface temperatures under all-weather conditions based on a data fusion approach. Remote Sensing of Environment, 246, 111863.
专利信息
✦
龙笛, 白亮亮, 岩腊, 曾超. 地表温度信息获取方法、装置、计算机设备和存储介质 (已授权,专利号:201811002215.1).
5. 美国大陆灌溉用水量数据集
清华大学水利系遥感水文水资源团队(张才金博士生、龙笛研究员)近期提出了一套估算灌溉用水量的新方法,生成了美国大陆2000–2020年高时空分辨率(1 km,逐月)灌溉用水量数据集,相关论文发表于水文水资源领域的旗舰期刊Water Resources Research (IF=5.24)。
全球约70%的取水用于农业,而灌溉用水占总耗水的90%以上,灌溉对于农业生产和发展意义重大。受灌溉水源、灌溉设施、作物种植类型等影响,灌溉用水量空间异质性大。灌溉水可通过蒸散消耗,或形成土壤水储存在根区土壤层中,而超过饱和带的部分将补给地下水。灌溉过程的复杂性导致灌溉用水量估算难度极大。然而,可获取的地面观测灌溉用水量或者灌溉取水统计数据在时间和空间上存在严重不足。此外,受不完善的灌溉用水计量设施影响,一些地区在农业用水计划管理和监控方面存在明显短板。尽管很多研究试图通过遥感手段估算灌溉用水量,然而相关研究获得的灌溉用水量数据的空间分辨率和可靠度均有待提高。因此,目前大范围长时序高时空分辨率且精度可靠的灌溉用水量信息仍然缺失。
为解决上述难题,研究者基于灌溉条件下的土壤水量平衡,考虑灌溉用水量的多重构成,系统推导了灌溉用水量计算公式,提出了利用遥感反演的实际蒸散和模型模拟的实际蒸散及土壤水分,估算灌溉用水量的新方法,并在美国大陆进行了验证。相关数据经美国州、县尺度灌溉取用水统计值及与以往研究对比验证,结果表明,该方法具备刻画灌溉多过程的物理基础,且能够获得高时空分辨率且精度更高的灌溉用水量数据。
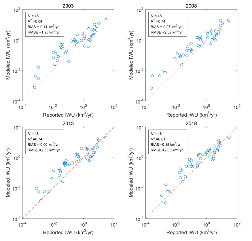
图8 该研究的灌溉用水量估计值(Modeled IWU)与美国农业部发布的FRIS IWU报告(Reported IWU)在美国48个州于2003年、2008年、2013年和2018年的对比散点图以及相应的统计指标
图9 该研究的灌溉用水量估计值于2000–2005年、2006–2010年、2011–2015年和2016–2020年间的多年平均值(灌溉农田的单位面积用水量)的空间格局
该研究受内蒙古自治区科技重大专项(2020ZD0009)等项目资助。
数据信息
✦
张才金, 龙笛. (2022). 美国大陆长序列高时空分辨率(逐月1km)灌溉用水量数据(2000‒2020). 国家青藏高原科学数据中心, DOI: https:// doi.org/10.1029/2021WR031382.
下载链接:https://data.tpdc.ac.cn/zh-hans/data/445aa263-723e-46de-92ca-a4bc8e553d4d/
论文信息
✦
Zhang, C., & Long, D. (2021). Estimating spatially explicit irrigation water use based on remotely sensed evapotranspiration and modeled root zone soil moisture. Water Resources Research, 57, e2021WR031382.
专利信息
✦
洪仲坤, 龙笛, 韩忠颖. 山区降水量的计算方法、装置、计算机设备和存储介质(已授权,专利号:201911104700.4).
清华大学水利系遥感水文水资源团队,围绕国际水文科学协会(IAHS)两个十年计划:“缺资料流域水文预测”(Prediction in Ungauged Basins,PUB,2003‒2012)和“变化的水文和社会”(Panta Rhei,2013‒2022),长期致力于水循环要素的遥感定量反演、多源数据融合与同化、高山冰冻圈水文遥感、模拟和预测研究,相关成果和数据集提高了对变化环境下水文过程的认识,服务国家、流域、灌区不同层面水资源精细化管理,在外交部跨境河流水库监测及相关舆情应对、水利部南水北调工程评价、调度和后续工程建设、华北地下水超采综合治理等工作中发挥了关键作用。
国家青藏高原科学数据中心对该五个数据集做了专门报道,见:
http://data.tpdc.ac.cn/zh-hans/news/841ca568-4e69-4d58-8519-34e19c88e7cd
点击文末“阅读原文”即可进入网页。
荐读
《慧天地》敬告
《慧天地》公众号聚焦国内外时空信息科技前沿、行业发展动态、跨界融合趋势,发现企业核心竞争力,传播测绘地理信息文化,为时空信息类相关专业学子提供日常学习、考研就业一站式服务,打造政产学研金服用精准对接的平台。
《慧天地》借鉴《读者》办刊理念,把时空信息领域的精华内容汇聚到平台上。我们高度重视版权,对于精选的每一篇推文,都会在文章开头显著注明出处,以表达对作者和推文引用平台版权的充分尊重和感谢;对于来源于网络作者不明的优质作品,转载时如出现侵权,请后台留言,我们会及时删除。感谢大家一直以来对《慧天地》的关注和支持!
——《慧天地》运营团队
投稿、转载、商务等合作请联系
微信号:huitiandi321
邮箱:geomaticshtd@163.com