作者:Rebecca J. Brenneis, Eric P. Johnson, Wenbo Shi, Desiree L. Plata
通讯作者:Desiree L. Plata,麻省理工学院工程学院Ralph M. Parsons实验室
摘要图片
内容简介
美国麻省理工学院Desiree L. Plata团队,使用掺铜沸石实现了大气水平低浓度甲烷的低温催化转化,证明了其优异的催化性能源于活性中心的调控。制得的催化剂不仅可以转化任何亚易燃浓度气流中的甲烷,还同时实现了长达300h的稳定运行。
文章解读
尽管大气中甲烷浓度远低于二氧化碳,但造成的温室效应却是等量二氧化碳的28-34倍。人们认为迅速降低大气甲烷水平是短期内有效缓解全球变暖的方案之一。虽然以燃烧的方式去除高浓度甲烷是可行的,但是自然甲烷排放以低浓度分散源为主,采用燃烧的方式不仅难以应对大气水平甚至更低浓度的甲烷,并且存在经济性和工程可行性等问题。因此,Desiree L. Plata团队提出了低浓度甲烷的低温催化氧化策略,与传统的“两步法”(高温、高氧气浓度下催化剂先活化再降低温度参与反应)相比,利用铜掺杂的丝光沸石这一地球丰产材料可在大气氧气水平以及310℃等温条件下实现2 ppmv甲烷向二氧化碳的完全转化,并且长期催化性能可稳定300h以上。这一项工作拓展了低浓度甲烷减排措施的实际应用场景,为缓解全球气候变暖提供了可行方案。
图1.“两步法”处理后的掺铜丝光沸石催化甲烷转化率与(a)活化温度,(b)活化持续时间,(c)再活化次数的关系,(d)活化处理0到240分钟后的掺铜沸石XRD图谱
图2.掺铜沸石在一定温度下的甲烷转化率。(a)传统两步“活化-反应”过程,(b)等温“活化-反应”过程
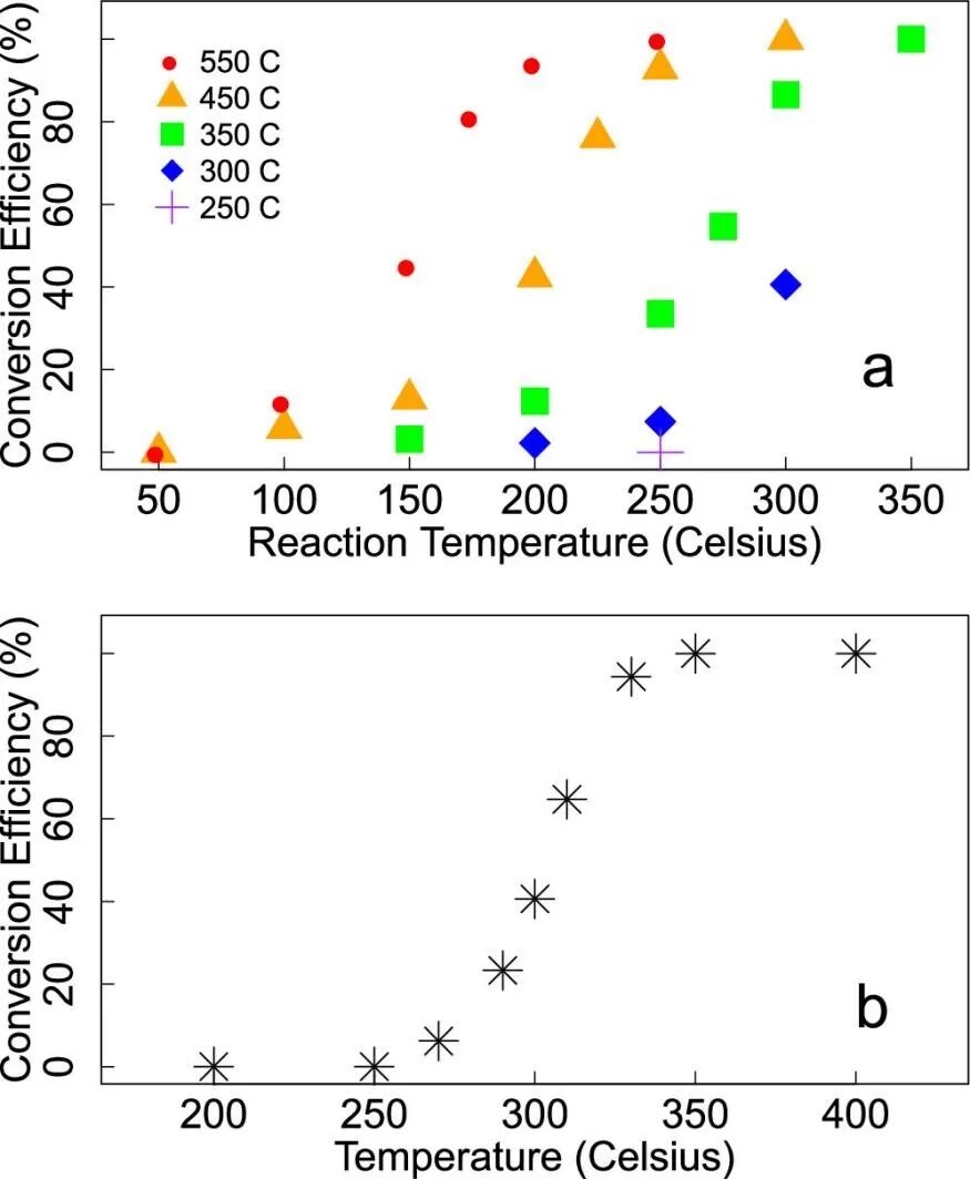
图3.亚易燃浓度甲烷转化率
在亚易燃浓度阈值范围内评估催化剂的甲烷减排效果更具实际意义,作者测试了在2 ppmv到2% v/v甲烷浓度范围内的310℃等温催化转化速率。由图3,作者发现310℃等温条件下,转化速率随着甲烷进气浓度提高而单调增加,即使在较高甲烷浓度下也不存在转化速率上限(图3星形)。若进一步优化催化剂结构、改善传热性以及设计新型反应器可以继续提高转化速率。这些结果也首次表明,该掺铜沸石可以在远低于甲烷可燃极限(低于5%)或点火温度的任何浓度下实现甲烷转化,这有利于迅速降低甚至扭转大气中甲烷累积趋势。
图4. 催化剂稳定性测试
最后,作者评估了催化剂在低浓度(2 ppmv)甲烷环境下的长期运行稳定性(图4)。传统两步法反应过程中(图4中红点),转化反应温度仅为200℃,而该温度无法保持催化剂的活性,导致催化剂性能迅速衰减。而经过310℃等温活化8h的催化剂不仅表现出优异的稳定性,并且在长达300h的测试过程中基本维持了完全的甲烷转化(图4中星形)。证明延长活化时间所致的孔道重构不仅有利于转化率的提高,也赋予了催化剂持续的活性。
该项目得到了Gerstner Philanthropies, Vanguard Charitable Trust, the Gordon and Betty Moore Inventor Fellows Program和麻省理工学院Research Support Committee的支持。研究的相关结果已发表于ACS Environmental Au。
思考与启示
虽然沸石应用于甲烷转化的研究已开展了几十年,但前人工作中存在一些重要局限,这些局限混淆了沸石催化剂在低水平甲烷减排中的应用:一是研究者们的兴趣主要集中在甲烷向甲醇的转化上,但抑制甲醇过度氧化为CO2比较困难,并且大气甲烷生产的甲醇量不足以抵消主要大气源甲烷的排放量;二是低产量甲醇从甲烷气流中分离的经济性不高,且回收技术也存在障碍;三是为了避免甲醇过度氧化,采取在富氧和富甲烷环境中循环沸石的做法。本文的研究工作聚焦于亚易燃区域低浓度甲烷的低温催化转化问题,一方面证明了掺铜沸石的优良性能源于催化剂结构的演变,另一方面认识到甲烷转化为CO2是可行的,不仅解决了产物分离问题,还可以有效缓解甲烷造成的温室效应(因为大气中60%的甲烷转化仅增加1.1ppmv浓度的CO2)。文中指出,这种催化剂可以安装在任何存在低浓度甲烷排放源,在较高浓度下可以产生额外的能量用于发电,最大程度上降低环境影响和运行成本。
为了减少煤矿灾害的发生,美国MSHA标准要求甲烷处理过程需要避免使用易爆、危险试剂,而现有通风系统中的甲烷减排技术无法满足这一点,导致通风系统中的甲烷零转化排放。本文低运行温度的催化剂若部署在全球的煤矿通风系统,可减少4.1亿吨CO2当量的甲烷排放,该技术有望抵消大气甲烷积累的趋势,为缓解全球变暖提供急需的短期气候强迫效益。
除作者所描述的,笔者还认为此催化剂在农业领域也可以实现大规模应用。以畜牧养殖和水稻种植为代表的农业甲烷源贡献了40%的人为甲烷排放量,若能推动农业源甲烷减排,对于促进农业的绿色可持续发展以及如期实现碳中和目标均具有重要意义。目前以禽畜消化物和秸秆产沼气再利用为代表的甲烷处理技术已经在农村得到推广应用,该方法虽然能解决少部分甲烷气体收集处置的问题,但整个农业活动过程中仍有大量无序排放的甲烷进入大气。这种情况下,文中提出的催化剂具有明显优势,其在低温、低浓度甲烷条件下具备优良催化性能的特点与农业领域甲烷处理的需求相契合,在促进甲烷减排的同时还可以减少能源投入,有望实现绿色产业发展与经济效益的双赢。
*感谢南京大学朱文磊教授撰写本文中文解读。
扫描二维码阅读英文原文
ACS Environ. Au 2022
Publication Date: Dec 29, 2021
https://doi.org/10.1021/acsenvironau.1c00034
Copyright © 2022 American Chemical Society
截至2022年底
ACS Environmental Au 期刊 CC-BY
文章的 APC(文章处理费)将优惠至
$2500,使用INSPIREOPEN22BYAU
优惠码即可。
更多信息,请前往 go.acs.org/1KS
关于 ACS Environmental Au
主编:Shelley D. Minteer
执行主编: Xiang-Dong Li
ACS Environmental Au (音"gold") 是美国化学会2021年1月推出的九本 ACS Au 金色开放获取系列期刊之一。
作为出版范围十分广泛的开放获取期刊,ACS Environmental Au 发表研究论文、快报、综述和展望,涵盖环境科学与技术各领域的各类实验和理论优秀的研究结果,同时涵盖基础和应用两个方向。主题范围包括:替代能源;人类活动对大气、土壤或水的影响;生物地球化学循环;用作资源的生物质或废弃物;水生和陆地环境污染物;环境数据科学;生态毒理学和公共卫生;能源和气候;环境模拟、过程和测量方法与技术;环境纳米技术和生物科技;绿色化学;绿色制造和工程;风险评估;以及处理和资源回收和废弃物管理。我们欢迎覆盖广泛地区和全球性环境课题的学术研究者前来投稿。
点击“阅读原文”
你“在看”我吗?