Editorial
The Nano Research Young Innovators (NR45) Awards in two-dimensional materials
Xiangfeng Duan1,* and Qihua Xiong2,3,*
1 University of California, Los Angeles, USA
2 Tsinghua University, China
3 Beijing Academy of Quantum Information Sciences, China
1575–1582
Synthesis
Review Articles
Mass production of two-dimensional materials beyond graphene and their applications
Liusi Yang, Wenjun Chen, Qiangmin Yu, and Bilu Liu*
Tsinghua University, China
We review recent research progress on mass production of two-dimensional (2D) materials beyond graphene, including “top-down” exfoliation and “bottom-up” synthetic approaches. In addition, the applications that require massively-produced 2D materials are discussed.
1583–1597
Monolayer MoS2 epitaxy
Zheng Wei1,2, Qinqin Wang1,2, Lu Li1,2, Rong Yang1,2,3, and Guangyu Zhang1,2,3,*
1 Beijing National Laboratory for Condensed Matter Physics and Institute of Physics, Chinese Academy of Sciences, China
2 University of Chinese Academy of Sciences, China
3 Songshan Lake Materials Laboratory, China
This article reviews the epitaxial growth of monolayer MoS2 with a particular focus on large-scale and high-quality films.
1598–1608
Space-confined growth of metal halide perovskite crystal films
Linyi Li, Jinxin Liu, Mengqi Zeng, and Lei Fu*
Wuhan University, China
The size, thickness, quality and structure of the perovskite crystal film could be optimized through the space-confined method with various modified strategies.
1609–1624
Heterogeneities at multiple length scales in 2D layered materials: From localized defects and dopants to mesoscopic heterostructures
Hui Cai, Yiling Yu, Yu-Chuan Lin, Alexander A. Puretzky, David B. Geohegan, and Kai Xiao*
Oak Ridge National Laboratory, USA
This paper provides a comprehensive review of controlled synthesis and processing of heterogeneities at multiple length scales and their impact on the macroscale properties and functionalities of two-dimensional (2D) materials.
1625–1649
Atomic-scale insights into the formation of 2D crystals from in situ transmission electron microscopy
Yatong Zhu1, Dundong Yuan1, Hao Zhang1, Tao Xu1,*, and Litao Sun1,2,*
1 Southeast University, China
2 Southeast University-Monash University Joint Research Institute, China
Here we review the recent in situ transmission electron microscopy (TEM) works on the formation of two-dimensional (2D) crystals under electron irradiation, thermal excitation as well as voltage bias. The underlying mechanisms are also elucidated in detail, providing key insights into the nucleation and formation of 2D crystals.
1650–1658
Research Articles
Fast growth of large single-crystalline WS2 monolayers via chemical vapor deposition
Shengxue Zhou1,2, Lina Liu1, Shuang Cui3, Xiaofan Ping1, Dake Hu1, and Liying Jiao1,*
1 Tsinghua University, China
2 Ningxia Normal University, China
3 Sinopec Beijing Research Institute of Chemical Industry, China
The fast growth of single crystalline WS2 monolayered flakes with a side length of up to ~ 500 μm was achieved via chemical vapor deposition using K2WS4 as the growth precursor.
1659–1662
Growth of large scale PtTe, PtTe2 and PtSe2 films on a wide range of substrates
Kenan Zhang1, Meng Wang1, Xue Zhou1, Yuan Wang1, Shengchun Shen1, Ke Deng1, Huining Peng1, Jiaheng Li1, Xubo Lai1, Liuwan Zhang1, Yang Wu1, Wenhui Duan1,2, Pu Yu1,2, and Shuyun Zhou1,2,*
1 Tsinghua University, China
2 Collaborative Innovation Center of Quantum Matter, China
A convenient experimental method for growing centimeter-scale PtSe2, PtTe2 films and the hitherto-unreported PtTe film via deposition of Pt film followed by selenization or tellurization is reported. A phase control between the new PtTe phase and PtTe2 phase is also achieved by annealing under Te flux.
1663–1667
Doping/Electronic Property Modulation
Review Articles
Substitutional doping in 2D transition metal dichalcogenides
Leyi Loh, Zhepeng Zhang, Michel Bosman*, and Goki Eda*
National University of Singapore, Singapore
Substitutional doping in two-dimensional (2D) group 6 transition metal dichalcogenides (MX2, M = Mo, W; X = S, Se, Te) is key to enabling novel functionalities of these materials. We review the recent progress in the understanding of the physical effects of doping.
1668–1681
Surface charge transfer doping for two-dimensional semiconductor-based electronic and optoelectronic devices
Yanan Wang1, Yue Zheng1,2, Cheng Han2,*, and Wei Chen1,3,4,*
1 National University of Singapore, Singapore
2 Shenzhen University, China
3 International Campus of Tianjin University, China
4 National University of Singapore (Suzhou) Research Institute, China
Surface charge transfer doping (SCTD) is emerging as an effective and non-destructive doping technique to provide reliable doping capability for two-dimensional (2D) materials as well as to tune their electronic and optical properties, which facilitates the rational design and construction of 2D-based functional devices with the optimized performance.
1682–1697
Research Articles
Strain engineering in single-, bi- and tri-layer MoS2, MoSe2, WS2 and WSe2
Felix Carrascoso, Hao Li, Riccardo Frisenda*, and Andres Castellanos-Gomez*
Consejo Superior de Investigaciones Científicas, Spain
We systematically study how uniaxial strain modifies the optical properties of single-, bi- and tri-layer transition metal dichalcogenides.
1698–1703
Enhancing stability by tuning element ratio in 2D transition metal chalcogenides
Zhenjia Zhou1, Tao Xu2, Chenxi Zhang1, Shisheng Li3, Jie Xu1, Litao Sun2,*, and Libo Gao1,*
1 Nanjing University, China
2 Southeast University, China
3 National Institute for Materials Science (NIMS), Japan
Stable two-dimensional (2D) transition metal chalcogenides rely on their stoichiometric bonded element ratio. Vacancy defects with X atoms, antisite defects with M atoms, and additive X atoms all reduce the environmental stability.
1704–1710
Review Articles
Detection of electron–phonon coupling in two-dimensional materials by light scattering
Jia-Min Lai1,2, Ya-Ru Xie1,2, and Jun Zhang1,2,3,*
1 Institute of Semiconductors, Chinese Academy of Sciences, China
2 University of Chinese Academy of Sciences, China
3 Beijing Academy of Quantum Information Science, China
Inelastic light scattering provides a powerful experimental tool to explore electron–phonon interaction in solid materials. This review gives an overview of basic theory and experiment advances of Raman and Brillouin scattering in two-dimensional (2D) materials.
1711–1733
The coupling effect characterization for van der Waals structures based on transition metal dichalcogenides
Baishan Liu, Junli Du, Huihui Yu, Mengyu Hong, Zhuo Kang, Zheng Zhang*, and Yue Zhang*
University of Science and Technology Beijing, China
Developing the coupling effect characterization techniques to unveil the structure–property–performance relationship of van der Waals (vdW) heterostructures is crucial for fundamental science and practical applications.
1734–1751
Electronics
Review Articles
Electronics based on two-dimensional materials: Status and outlook
Senfeng Zeng, Zhaowu Tang, Chunsen Liu, and Peng Zhou*
Fudan University, China
More Moore and More than Moore are proposed as two paths to maintain the development of the semiconductor industry. Two-dimensional materials are proposing to be applied in future electronic devices by the More Moore and More than Moore paths.
1752–1767
Recent progresses of NMOS and CMOS logic functions based on two-dimensional semiconductors
Lingan Kong, Yang Chen, and Yuan Liu*
Hunan University, China
Here, we reviewed the recent progresses of n-type metal-oxide-semiconductor (NMOS) and complementary-metal-oxide-semiconductor (CMOS) logic functions based on two-dimensional semiconductors, providing insight for the develoment of more complex logic circuits or microprocessors using two-dimensional channel materials.
1768–1783
Research Article
Crypto primitive of MOCVD MoS2 transistors for highly secured physical unclonable functions
Bangjie Shao1, Tsz Hin Choy1, Feichi Zhou1, Jiewei Chen1, Cong Wang1, Yong Ju Park2, Jong-Hyun Ahn2,*, and Yang Chai1,*
1 The Hong Kong Polytechnic University, Hong Kong, China
2 Yonsei University, Republic of Korea
The inherently physical randomness of MoS2 transistors from materials growth and device fabrication process makes it appropriate for the application of physical unclonable function (PUF) device. The generated PUF keys exhibit good randomness and uniqueness, providing a possibility for harvesting highly secured PUF devices with two-dimensional materials.
1784–1788
Magnetic/Magnetoelectronics
Review Articles
Synthesis of magnetic two-dimensional materials by chemical vapor deposition
Huaning Jiang, Peng Zhang, Xingguo Wang, and Yongji Gong*
Beihang University, China
This paper summarizes the growth methods for two-dimensional (2D) magnetic materials via chemical vapor deposition with their characterizations and applications.
1789–1801
Ferromagnetic and ferroelectric two-dimensional materials for memory application
Zhen Liu, Longjiang Deng, and Bo Peng*
University of Electronic Science and Technology of China, China
The van der Waals heterostructures comprising two-dimensional (2D) ferromagnetic and ferroelectric materials provide plenty of opportunities to achieve integrated on-chip spintronic and non-volatile memory devices in future.
1802–1813
Research Article
Gate-tunable linear magnetoresistance in molybdenum disulfide field-effect transistors with graphene insertion layer
Hao Huang1, Hongming Guan2, Meng Su1, Xiaoyue Zhang2, Yuan Liu3, Chuansheng Liu1, Zhihong Zhang2, Kaihui Liu2, Lei Liao1,3,*, and Ning Tang2,*
1 Wuhan University, China
2 Peking University, China
3 Hunan University, China
Molybdenum disulfide field-effect transistors with graphene insertion layer are fabricated using a physical transfer method. Gate-tunable linear magnetoresistances (MRs) are obtained at 2 K, and can be explained by the classical linear MR model caused by spatial fluctuation of carrier mobility.
1814–1818
Optoelectronics
Review Articles
Recent progress about 2D metal dichalcogenides: Synthesis and application in photodetectors
Yongfeng Pei, Rui Chen, Hang Xu, Dong He, Changzhong Jiang, Wenqing Li*, and Xiangheng Xiao*
Wuhan University, China
The vapour phase methods have been widely used in the growth of two-dimensional (2D) metal dichalcogenides and their heterostructures. Recent progress about high-performance photodetectors based on metal dichalcogenides and various heterostructures has been summarized.
1819–1839
Recent progress and challenges on two-dimensional material photodetectors from the perspective of advanced characterization technologies
Fang Zhong1,2,3, Hao Wang1,2, Zhen Wang1,2,*, Yang Wang1, Ting He1,2, Peisong Wu1,2, Meng Peng1,2, Hailu Wang1, Tengfei Xu1, Fang Wang1, Peng Wang1,2, Jinshui Miao1, and Weida Hu1,2,*
1 Shanghai Institute of Technical Physics, Chinese Academy of Sciences, China
2 University of Chinese Academy of Sciences, China
3 ShanghaiTech University, China
In this review, the progress and challenges on two-dimensional (2D) material photodetectors are systematically discussed from the perspective of advanced characterization technologies, including transmission electron microscopy (TEM), Raman, photoluminescence (PL) spectroscopy and Kelvin probe force microscope (KPFM), scanning photocurrent microscope (SPCM), and scattering scanning near-field optical microscope (s-SNOM). These technologies provide access to deep comprehension of intrinsic mechanisms and further facilitate the development of next-generation photodetectors based on 2D materials.
1840–1862
Emerging low-dimensional materials for mid-infrared detection
Jiangbin Wu*, Nan Wang, Xiaodong Yan, and Han Wang*
University of Southern California, USA
Recent progress in study of mid-infrared (IR) detectors based on the low-dimensional materials, including black phosphorus, black arsenic phosphorus, tellurene and BaTiS3, from the perspectives of crystal structure, material synthesis, optical properties, and the detector characteristics was reviewed.
1863–1877
Avalanche photodetectors based on two-dimensional layered materials
Jinshui Miao1,* and Chuan Wang2,*
1 Shanghai Institute of Technical Physics, Chinese Academy of Sciences, China
2 Washington University in St. Louis, USA
Impact ionization, which can achieve carrier multiplication, is a promising strategy to design two-dimensional (2D) material-based photodetectors with high gain. In this review, a host of emerging avalanche photodetectors based on 2D materials and their van der Waals heterostructures, and their potential applications in the field of photon-counting technologies are detailed.
1878–1888
Position-sensitive detectors based on two-dimensional materials
Wenhui Wang, Junpeng Lu*, and Zhenhua Ni*
Southeast University, China
This review summarizes the structures, carrier dynamics, and applications of position-sensitive detector (PSD) based two-dimensional (2D) materials, and highlights the challenges and opportunities in this research area.
1889–1900
Opto-valleytronics in the 2D van der Waals heterostructure
Abdullah Rasmita and Wei-bo Gao*
Nanyang Technological University, Singapore
In this article, we review the current understanding of the optical valley physics in the two-dimensional (2D) heterostructure composed of transition metal dichalcogenide and other materials. The challenge of building opto-valleytronics applications using the 2D heterostructure is also discussed.
1901–1911
Two-dimensional materials for light emitting applications: Achievement, challenge and future perspectives
Yi Zhu, Xueqian Sun, Yilin Tang, Lan Fu, and Yuerui Lu*
Australian National University, Australia
Two-dimensional materials provide tremendous opportunities for future on chip light sources.
1912–1936
Strong exciton–photon interaction and lasing of two-dimensional transition metal dichalcogenide semiconductors
Liyun Zhao, Qiuyu Shang, Meili Li, Yin Liang, Chun Li, and Qing Zhang*
Peking University, China
Recent advances in the strong exciton–photon interaction and lasing of two dimensional transition metal dichalcogenide semiconductors have been developed in the fields of ultra-small and low-energy consumption coherent light sources.
1937–1954
Research Articles
Van der Waals epitaxy of ultrathin crystalline PbTe nanosheets with high near-infrared photoelectric response
Xinxin Zhao1,2, Qing Yin1, Hao Huang3, Qiang Yu2, Bo Liu4, Jie Yang1,2, Zhuo Dong1,2, Zhenjiang Shen5, Benpeng Zhu6, Lei Liao3, and Kai Zhang2,*
1 University of Science and Technology of China, China
2 Suzhou Institute of Nano-Tech and Nano-Bionics (SINANO), Chinese Academy of Sciences, China
3 Wuhan University, China
4 Osaka University, Japan
5 Hainan Normal University, China
6 Huazhong University of Science and Technology, China
Ultrathin crystalline PbTe nanosheets in lateral size of tens of microns with thickness down to ~ 7 nm are synthesized by van der Waals epitaxy. Photodetectors based on the as-grown 2D PbTe nanosheets exhibit an ultrahigh responsivity of 3,847 A/W at the wavelength of 1,550 nm under room temperature.
1955–1960
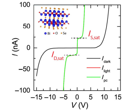
Intrinsic carrier multiplication in layered Bi2O2Se avalanche photodiodes with gain bandwidth product exceeding 1 GHz
Vinod K. Sangwan1, Joohoon Kang1,†, David Lam1, J. Tyler Gish1, Spencer A. Wells1, Jan Luxa2, James P. Male1, G. Jeffrey Snyder1, Zdeněk Sofer2, and Mark C. Hersam1,*
1 Northwestern University, USA
2 University of Chemistry and Technology Prague, Czech Republic
† Present address: Sungkyunkwan University (SKKU), Republic of Korea
Metal-semiconductor-metal avalanche photodiodes are fabricated from layered Bi2O2Se crystals, yielding intrinsic carrier multiplication factors up to 400, gain bandwidth products exceeding 1 GHz, and detectivities up to 4.6 × 1014 Jones.
1961–1966
Efficient photovoltaic effect in graphene/h-BN/silicon heterostructure self-powered photodetector
Ui Yeon Won1, Boo Heung Lee1, Young Rae Kim1,2, Won Tae Kang1,2, Ilmin Lee1, Ji Eun Kim1, Young Hee Lee2, and Woo Jong Yu1,*
1 Sungkyunkwan University, Republic of Korea
2 Institute for Basic Science (IBS), Republic of Korea
We present a vertically stacked graphene/hexagonal boron nitride/ silicon (Gr/h-BN/Si) van der Waals heterostructure to enhance detectivity near-zero external bias of photodetector by inserting thin layer of h-BN to suppress dark current. We propose the mechanisms of carrier flowing in an illuminated environment for reverse and forward current regions.
1967–1972
Highly sensitive solar-blind deep ultraviolet photodetector based on graphene/PtSe2/β-Ga2O3 2D/3D Schottky junction with ultrafast speed
Di Wu1, Zhihui Zhao1, Wei Lu2, Lukas Rogée2, Longhui Zeng2,*, Pei Lin1, Zhifeng Shi1, Yongtao Tian1, Xinjian Li1, and Yuen Hong Tsang2,*
1 Zhengzhou University, China
2 The Hong Kong Polytechnic University, Hong Kong, China
A highly sensitive solar-blind deep ultraviolet photodetector based on graphene/PtSe2/β-Ga2O3 Schottky junction is demonstrated, which shows a large detectivity and an ultrafast response speed.
1973–1979
Giant enhancement of photoluminescence quantum yield in 2D perovskite thin microplates by graphene encapsulation
Wancai Li, Jiaqi Ma, Xue Cheng, and Dehui Li*
Huazhong University of Science and Technology, China
We observed the photoluminescence quantum yield of two-dimensional (2D) perovskite thin microplates has been enhanced 28 times by graphene encapsulation. The enhancement mechanism is the reduced quantum confined Stark effect due to the reduced surface depletion field, which leads to the enhanced radiative recombination efficiency.
1980–1984
Catalysis/Energy
Review Articles
Two-dimensional MoS2 for hydrogen evolution reaction catalysis: The electronic structure regulation
Shuwen Niu, Jinyan Cai, and Gongming Wang*
University of Science and Technology of China, China
In this review, we summarize the recent process of the electronic structural modulation of MoS2 for hydrogen evolution catalysis.
1985–2002
Transition metal dichalcogenide-based mixed-dimensional heterostructures for visible-light-driven photocatalysis: Dimensionality and interface engineering
Xiaorong Gan1, Dangyuan Lei2,*, Ruquan Ye2, Huimin Zhao3, and Kwok-Yin Wong4
1 Hohai University, China
2 City University of Hong Kong, Hong Kong, China
3 Dalian University of Technology, China
4 The Hong Kong Polytechnic University, Hong Kong, China
The photoactivity of two-dimensional transition metal dichalcogenide heterostructures for visible-light-driven photocatalytic water splitting can be regulated through dimensionality and interface engineering.
2003–2022
Two-dimensional polymer nanosheets for efficient energy storage and conversion
Yumei Ren1,2,3, Chengbing Yu1,*, Zhonghui Chen3,4,*, and Yuxi Xu3,*
1 Shanghai University, China
2 Zhengzhou University of Aeronautics, China
3 Westlake University, China
4 Henan University, China
The recent research progress in the preparation methods of two-dimensional (2D) polymer nanosheets, mainly including interfacial polymerization and solution polymerization has been summarized. The structure–property relationships of various 2D polymers are thoroughly discussed. Their applications in the fields of energy storage and conversion, and the future perspectives have also been presented.
2023–2036
部分文章中文简介
周树云研究组在PtTe薄膜新材料及PtTe₂、PtSe₂的生长取得进展
表面电荷转移掺杂技术在二维半导体电子和光电子领域的研究及应用
控制元素计量比——提升过渡金属硫族化合物环境稳定性的关键因素
电子科技大学彭波教授、邓龙江教授团队综述:基于二维铁磁铁电材料在存储器应用方面的最新研究
张青课题组:二维过渡金属硫化物在光子-激子强耦合和激光的研究进展综述
雷党愿课题组:过渡金属硫族化合物异质结的可见光驱动光催化活性调控:维度和界面工程
点击“阅读原文”查看完整目录
Previous Contents:
关注微信号、视频号、官网,获取更多精彩!
微信号
视频号
官网