本词条由集智俱乐部众包生产,难免存在纰漏和问题,欢迎大家留言反馈或者前往对应的百科词条页面进行修改,一经修改,可以获得对应的积分奖励噢!
目录
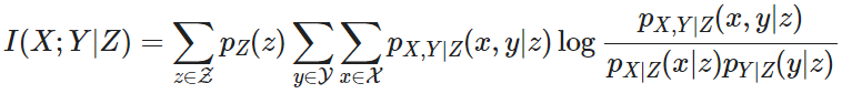
以上是三个变量x,y和z信息理论测度的维恩图,分别由左下,右下和上部的圆圈表示。条件互信息I(x;z|y),I(y;z|x)和I(x;y|z)分别由黄色,青色和品红色区域表示。
定义
的随机变量X,Y和Z,我们将条件互信息定义为:
这可以用期望运算符来表示:
因此,相较于互信息的定义,I(X;Y|Z)可以表达为期望的Kullback–Leibler散度(相对于Z),即从条件联合分布P(X,Y)|Z到条件边际PX|Z和PY|Z
的乘积。
关于离散分布的概率质量函数
其中边缘概率质量函数,联合概率质量函数,和(或)条件概率质量函数可以由p加上适当的下标表示。这可以简化为:
关于连续分布的概率密度函数
其中边缘概率密度函数,联合概率密度函数,和(或)条件概率密度函数 可以由p加上适当的下标表示。这可以简化为:
部分特性
这么表达以显示其与互信息的关系:I(X;Y|Z) = I(X;Y,Z) - I(X;Z)
通常情况下,表达式被重新整理为“互信息的链式法则”:
I(X;Y|Z) = I(X;Z) + I(X;Y|Z)
上述式子的另一种等价形式是:I(X;Y|Z) = H(Z|X) + H(X) + H(Z|Y) + H(Y) -H(Z|X,Y) - H(X,Y) - H(Z) = I(X;Y) + H(Z|X) + H(Z|Y) - H(Z|X,Y)
或作为更简单的KL散度的期望值:
其他通用定义
令
为一个 概率空间 Probability space ,并将随机变量X,Y和Z分别定义为一个从Ω到具有拓扑结构的状态空间的 波莱尔可测函数 Borel-measurable function 。
考虑到在每个随机变量状态空间中的波莱尔测度 Borel measure(关于开放集生成的σ代数)
这被称为 前推测度 Pushforward measure
随机变量的支撑集定义为该测度的拓扑支撑集,即
现在,我们可以在给定其中一个随机变量值(或通过 积拓扑 product topology 获得更多)的情况下正式定义条件概率测度 Conditional probability distribution 。令M为Ω的可测子集(即M∈F),令x∈suppX。然后,使用 分解定理 Disintegration theorem :
在x的开放邻域U处取极限,因为相对于集包含 Set inclusion,它们可以任意变小。
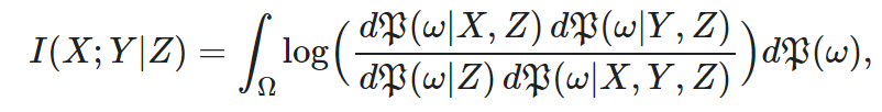
最后,我们可以通过 勒贝格积分 Lebesgue integration来定义条件互信息:
其中被积函数是拉东-尼科迪姆导数 Radon–Nikodym derivative的对数,涉及我们刚刚定义的一些条件概率测度。
注释符号
属性
对于离散,联合分布的随机变量X,Y和Z,如下不等式永远成立:
I(X;Y|Z)>=0。
该结果已被用作证明信息理论中其他不等式的基础,尤其是香农不等式。对于某些正则条件下的连续随机变量,条件互信息也是非负的。
考虑到第三个随机变量条件可能会增加或减少互信息:
例如其差值I(X;Y)-I(X;Y|Z),称为 交互信息 Interaction information (注意区分互信息Mutual information),可以为正,负或零。即使随机变量是成对独立的也是如此。比如以下情况下:
X,Y和Z是成对独立的,特别是I(X;Y)=0,不过这里I(X;Y|Z)=1。
I(X;Y,Z)=I(X;Z)+I(X;Y|Z)
多元互信息
其中
该定义与交互信息的定义相同,只是在随机数为奇数的情况下符号发生了变化。一个复杂的问题是,该多元互信息(以及交互信息)可以是正,负或零,这使得其数量难以直观地解释。实际上,对于n个随机变量,存在2n-1个自由度。那么如何在信息理论上将它们关联,并对应于这些变量的每个非空子集,就是解决问题的关键。特别是这些自由度受到信息论中各种香农和非香农不等式的制约。
编者推荐
https://campus.swarma.org/course/3164
信息论(information theory)涉及信息的量化、存储和通信等。信息论是由克劳德·香农发展来的,用来找出信号处理与通信操作的基本限制,如数据压缩、可靠的存储和数据传输等。自创立以来,它已拓展应用到许多其他领域,包括统计推断、密码学、神经生物学、进化论、量子计算、剽窃检测和其他形式的数据分析。
在本课程中,融合经典和现代信息论的成果,为信息科学方向学生提供一个统一的信息论基础,也可作为专业入门课程。主要讲解了熵,熵率,微分熵,AEP,数据压缩和信道的相关知识。
Python 信息熵 条件信息熵 互信息(信息增益)的理解以及计算代码
https://www.pianshen.com/article/465233008/
R语言互信息和条件互信息
https://blog.csdn.net/tandelin/article/details/104216570
百科项目志愿者招募
在这里从复杂性知识出发与伙伴同行,同时我们希望有更多志愿者加入这个团队,使百科词条内容得到扩充,并为每位志愿者提供相应奖励与资源,建立个人主页与贡献记录,使其能够继续探索复杂世界。
如果你有意参与更加系统精细的分工,扫描二维码填写报名表,我们期待你的加入!
来源:集智百科
编辑:王建萍
点击“阅读原文”,阅读词条条件互信息原文与参考文献