![]()
关键词:审美价值层次构建,计算神经科学,神经网络,非线性特征表征
论文题目:Neural mechanisms underlying the hierarchical construction of perceived aesthetic value论文来源:Nature Communications论文链接:https://www.nature.com/articles/s41467-022-35654-y
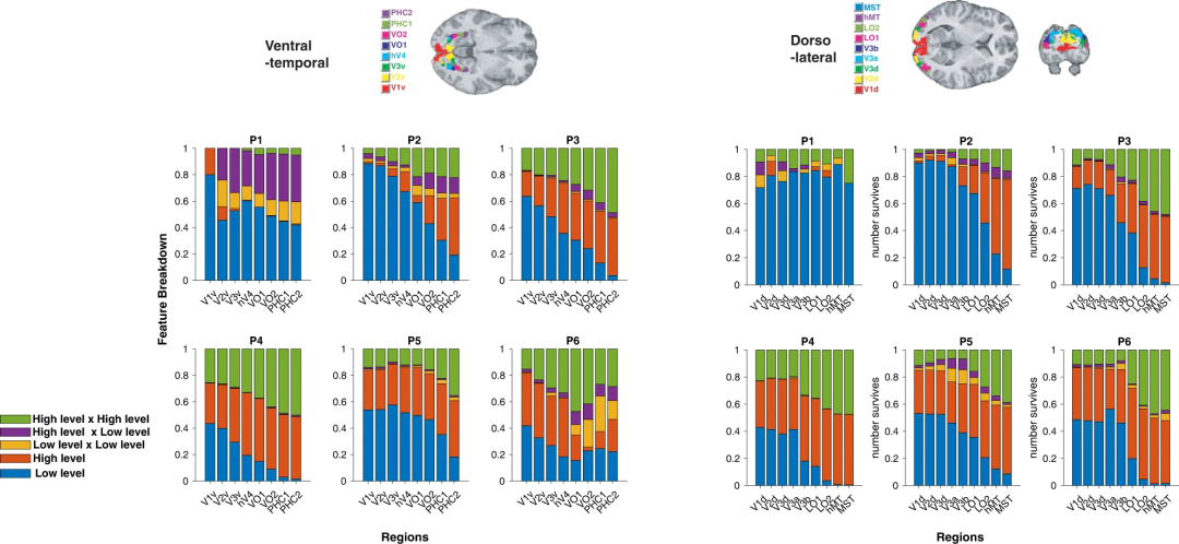
人类是如何能够做出审美判断的,一直是心理学研究的焦点。然而,尽管研究审美有着悠久的传统,我们对人们如何形成审美价值的理解仍然非常有限,更不用说这一神秘过程背后的神经机制了。到目前为止,对审美的神经科学研究在很大程度上仍局限于识别不同审美价值的刺激表现出增加活动的脑区。这就留下了一个悬而未决的问题:大脑最初是如何从视觉刺激中计算审美价值的?为了填补这一空白,近日发表于 Nature Communications 的这项研究从计算神经科学的角度出发,使用的计算方法结合功能性神经成像提供证据,证明了:视觉刺激的美学价值以分级方式,通过对包含在早期和晚期视觉皮层中、延伸到顶叶和外侧前额叶皮层中的低级和高级刺激特征,进行加权积分来计算。顶叶和外侧前额叶皮层中的特征表征可能反过来在内侧前额叶皮层中产生整体审美价值。这种全脑范围的计算不仅与基于特征的审美价值构建机制一致,而且类似于深度卷积神经网络的计算。因此,此发现揭示了一种普遍的神经计算机制的存在,这种机制可以在一系列复杂的新刺激和情境中快速灵活地产生价值判断。图2. 视觉皮层区的fMRI信号与LFS-DCNN模型相似。图4. 在构建视觉艺术主观价值时,从后顶叶皮质、外侧前额叶皮质到内侧前额叶皮质进行特征整合。
研讨会详情与框架:
Chaos & Muses:复杂科学×艺术系列研讨会