Kawa, Nicholas C., José A. Clavijo Michelangeli, Jessica L. Clark, Daniel Ginsberg, and Christopher McCarty. 2019. “The Social Network of US Academic Anthropology and Its Inequalities.” American Anthropologist 121(1):14–29.
For each faculty member, we noted their current institution and PhD‐granting institution, which we treated as a “tie” between those academic programs.
为什么某些高校的人类学毕业生在就业市场上比其他高校院系更吃香?谁雇用了谁,为什么?
虽然许多人类学家宣称致力于对抗社会不平等,但人类学往往不重现其自身的不平等。过去也有研究表明,学术声望并不一定与学术生产力是正相关。
Weakliem,Gauchat和Wright(2012)的研究证明了2007年美国115个博士学位授予社会学系,前二十个院系负责培养该学科70%的教师。在最底层的九个部门,他们的博士毕业生都找不到教职。Clauset,Arbesman和Larremore调查了美国计算机科学,商业和历史系的近19,000名教师职位,结果显示25%的院校负责培养这些领域所有终身教职员工的71%至86%
Nicholas C. Kawa收集了全美国能授予人类学博士学位的院系的终身教职人员共1918人的信息(2015年)。其中,391人是助理教授,633人是副教授,894人担任教授。
究竟是哪四大名校最牛逼?
在这些职位里,博士毕业于芝加哥大学有154个职位,占总职位的8.0%。其次是哈佛大学(126),密歇根大学(122),加州大学伯克利分校(104)。
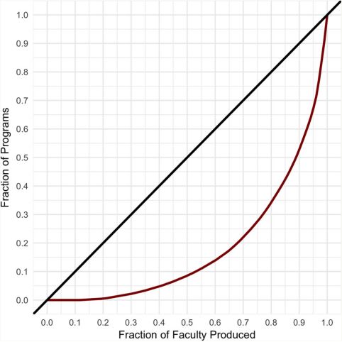
基尼系数
如果用基尼系数表示这种教职分配得不平等,就更明显。排名前十的人类学院系所产生的教师数量是后十个的2.5倍,排名11-20的比排名21-30的多出1.5倍
网络分析
Chord graph of the hiring network of PhD‐granting anthropology programs in the United States
In this network, we found 108 symmetrical ties (i.e., programs that hired each other's graduates as faculty) and 985 asymmetrical ties (i.e., relationships in which one program hired a PhD graduate from the other).
从核心—边缘关系结构更明显,芝加哥(0.559),哈佛(0.396),加州大学伯克利分校(0.331)和密歇根(0.309)
最后,作者想到40年前,人类学界便有如此四大名校的说法:
In the introduction to her analysis more than forty years ago, Hurlbert (1976) remarked, “Virtually all the faculty of Yale, Columbia, Harvard, Chicago, Berkeley, and a few others obtained their degrees from Yale, Columbia, Harvard, Chicago, Berkeley, and a few others” (272). The statement still largely rings true today.
(Sociological理论大缸第287期)
链接:
在中国找教职,要不要靠/怎样的“关系”?Illinois社会学博士论文的研究
在美国社会学的教职市场,哪些分支更有需求?分层/城市/历史……
社会学理论20+英文期刊前沿观点:2019年第1季度新文一扫