浙江小男生逆天暗恋情书,告诉你什么是最好的爱情

2018-03-17 谈心社 槽值 槽值



大人总爱说小孩不懂爱情,可现在的小学生诉起衷肠来,成年人也只能自愧不如。


不信,来看看这篇《第一次奋进》。



我还可以见到她,所以这不算传统意义上的离别”;


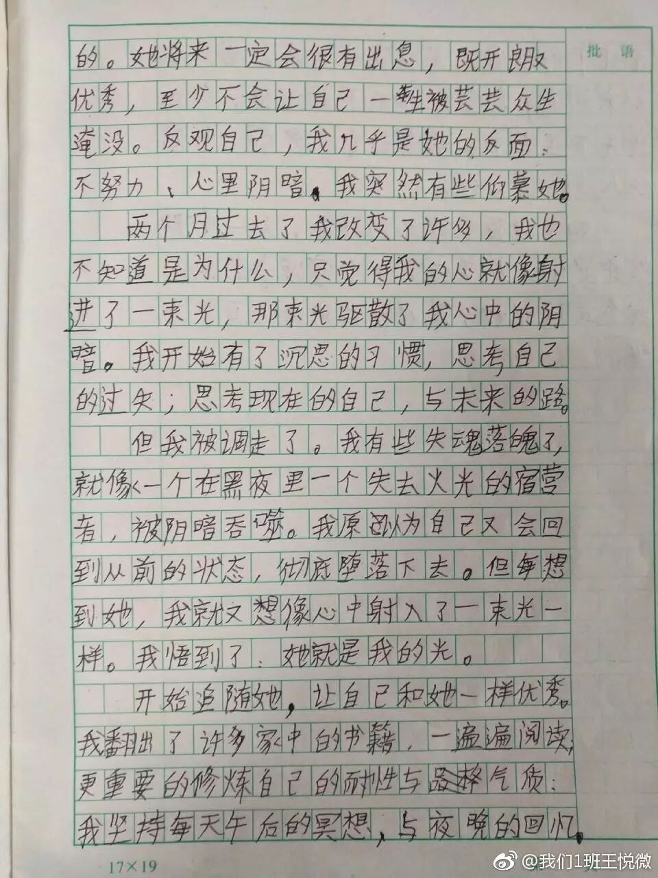
“我有些失魂落魄了,就像一个在黑夜里失去火光的宿营者,被阴暗吞噬”;


“每想到她,我就又像心中射入了一束光一样。我悟到了,她就是我的光。


作者小邵的老师说,这哪里是“奋进”,明明就是《第一次暗恋》!


文采斐然又真挚不已的情书,出自一个小学生之手。一群老叔叔老阿姨们看过后都说不敢相信。



老师说,这个小邵曾经写过《梦的解析》读后感,一年级就开始读《道德经》,最近在看的书是《王小波文集》。


难怪写情书这么厉害。


不知又有多少成年人在被这行云流水的文字感动时,才发现自己好像连暗恋的力气都没了。


撩妹撩不过00后


作家辛夷坞说,少年人的爱恋,也许爱情的方式是错的,然而爱情的直觉永远是对的。


看了小邵同学的文章,许多人也回忆起了自己的身边稚嫩的“爱情”。



00后的孩子们好像从没羞涩过,对待感情有很多“经验之谈”。


有一条关于“小朋友如何恋爱”的视频,身高还不够的孩子们爬上高高的椅子,一本正经地向大家分享自己的宝典。



他们觉得健身的男孩子惹人爱。



对于吃饭的地方必须有讲究。



“送她喜欢的东西,放在后面,跟她说‘我有一个礼物哦’,让她自己猜。


“送她向日葵我觉得很赞哦!”



想到结婚,也责任感十足。


“如果你选定了一个女孩,你就得跟她结婚。”



“即使她多不爱你,你也不能换。”



小朋友的情书更是多种多样,有喜欢自己哥哥的。



有谦虚质朴的,“我人长得不好,但是我的人为(为人)很好。”



一对小同学即将变成“异地恋”,就用情书来依依惜别。



“谁也不知道缘分有多长。”



“如果能与你共度此生……”



甚至还有直接自行“扯结婚证”的。



字里行间的稚嫩,挡不住他们“爱”得认真。


有网友说,他一下子明白了自己单身的理由。


如今也想早恋,可早就过了早恋的年纪,晚婚晚育的资格倒是够了。


情书贵在真诚


小学生情书如此让人感动,反衬出了些许现代成年人感情世界的苍白。


在一个喜欢用物质财富来衡量生活好坏的社会中,在一个什么都可以一键下单、忽略过程的时代里,能用一字一句记录下来的爱情,最为奢侈。

 

这种奢侈,民国大概是最“过分”的时期。


书呆子沈从文爱上了女学生张兆和,短短半年时间内,给她写了几百封情书,“我行过许多地方的桥,看过许多次数的云,喝过许多种类的酒,却只爱过一个正当最好年龄的人。


胡适写的家长里短都让人心存感慨, “我昨夜到四点多钟始睡,今天八点钟起来,故疲倦了,要去睡了。适三月十七日窗上的月亮正照着我,可惜你不在这里。


徐志摩给陆小曼写,“我的龙,这时候你熟睡了没有?你的呼吸调匀了没有?你的灵魂暂时平安了没有?……有时真想拉你一同死去,去到绝对的死的寂灭里去实现完全的爱,去到普遍的黑暗里去寻求唯一的光明。”


徐志摩情书的落款很有特点


后来,从书信、短信、邮件到漂流瓶、微信,情感表达的渠道变迁得很鲜明。


这些天壤之别的表达方式正在改变我们对传统情书的记忆和忠诚度。


如今网上有情书模板,按照自己想要的选项就可以生成。


一想到写封信要绞尽脑汁、花上一整天的时间,可如果用微信瞬间就能高效地直接发给几个人,这一代人的感情与耐心,就全被释放掉了。


可人的一生中,暗恋多难得,“为恋爱而活”的阶段也不会很多。


电影《四月物语》里,一直暗恋学长的榆野跨过了1400多公里,从最北端的北海道孤身来到东京。情节拖沓了很久,她才被问及“为什么要来这”。


“我不知道耶……很多因素吧……校园很好……”,她嘟囔着也没有结果。



电影放到四分之三时,榆野才慢慢说道:他在田野里弹吉他的那一幕,在我的脑海里就像一幅画,被钉在墙上,无法取下。


美国作家塞林格说,爱是想触碰又收回手


那情书就是冬天里让手不自觉再伸过来的小暖炉。


也许网络上的告白能来得更快捷、简单,但带来的后遗症则是内心深处的失落和新的渴望。


萧伯纳曾说:“纸上求爱,这也许是最有趣的求爱方式,因为这是最能持久的。”


因为文字不会说谎,情谊是否真挚炽热,在情书中一读便知。



又有多少“不合时宜”的情书被发现,被贴上标签,反倒让人觉得给自己惹了麻烦,所以再也不用如此方法表达真心。


别让纯真败给成见


单单“早恋”二字,就把多少纯真的两情相悦扼杀在摇篮。虽然是为了避免可能出现不可挽回的错误,但中国家长的施压方式,大多数时候还是值得重新审视。


把学习看得比什么都重要,所有和学习无关的事情都是浪费时间,对于早恋唯恐避之不及,设立各种条条框框。和异性同学多说几句话,都能被老师从身上盯个洞出来,下次调座位的时候就会隔着十万八千里。


没收手机、偷看日记、还时不时旁敲侧击地打听……


甚至,沈阳有位父亲,因为看到上初中的女儿身材明显比同龄人高挑,为了防止女儿早恋,不限制女儿的饮食,还“费尽心机”地让她吃成大胖子。


女儿疑惑自己是不是吃得太多了的时候,父亲就很“实诚”地告诉她:“不多不多,多吃点没事,长身体。”


终于,王先生如愿以偿地把女儿养到90公斤,上了高中的她还是很单纯,问爸爸,“为什么别的女生都有人追,怎么没人追我?


对异性萌生倾慕之情,只是正常的情感表露,过度的打压不仅不会起到正向的作用,有时候反而会使事情朝着更糟糕的方向发展。



如临大敌的早恋警报下,总有人妥协变得“爱无力”,极端的甚至能送命。


2017年2月16日,山东某高中贴出告示,称女孩小芳与一男生多次在教室单独相处并有过激动作,给予两人勒令退学处分。



当天下午,小芳就选择用农药结束了自己年轻的生命,那时距离她的17岁生日只有两天。


出事后,小芳家里人到学校查看了监控,两人并没有暧昧动作,只是在说话而已。


爱恋与倾慕之情,不管在什么年纪袭来,都不是洪水猛兽。而只堵不疏,换来的才是悲剧。


文章开头写出“逆天”情书学生的老师,也不是第一次遇到学生“早恋”的问题。


班里曾经有女生收到一个男生的情书,她不知道该怎么办,就交给了老师。纸条上就写了一句话:“你不知道,一听到你的声音,我就很幸福了。


老师说,“就像三月早春里的云烟,像第一朵绽放的花,爱是多么美好而珍贵的东西。


既不能批评这个男生,也不能表扬,王老师找出了王小波和李银河的情书集——《爱你就像爱生命》,节选了一些片段做成PPT,带到教室与同学们一起谈,“如何写出一封很美很美的情书?


王老师告诉孩子们,“要把这份对同学的欣赏和喜欢放在心里,就像呵护着自己心里一朵小小的花。不要着急把它拿出来给别人看,让它好好长大,长成一朵又大又美的花。”


她特意让写情书的男生读了最后一段,


你劝我的话我记住了。我将来一定把我的本心拿给你看。为什么是将来呢?啊,将来的我比现在好,这一点我已经有了把握。你不要逼我把我的坏处告诉你。请你原谅这一点男子汉的虚荣心吧,我会在暗地里把坏处去掉。我要自我完善起来,为了你我要成为完人。


男生脸红了,有些结巴,但还是严肃认真地读完。


之后老师嘱咐女生把收到的情书留好,她说,“每个女孩都应该在成长过程中体验一下这种甜蜜的忧愁。



懂得如何去爱别人,是人生中的必修课。在老师的引导下,年幼的孩子们能做到大致懂得如何去喜欢一个人,怎样去面对这份喜欢,既没有误入歧途,也没有抱憾终生。


年少时的喜欢来得轻易,走得也快,只是带来的影响却是深远的,甚至是一辈子。


长大成人,即便没有老师的斥责,没有家长的阻碍,没有课业的压抑,很多人也很难再像从前那样对一个人产生感觉,更别提写封情书。


有网友说,“我觉得这不能算早恋,那是人性对积极、阳光等美好事物的一种原始驱动。那是心中最早的一份圣洁的情怀,给人以奋发的动力。


读完小学生的暗恋大作,希望不再有孩子的真挚情感被扔掉,也少一些无力为纯情感动的成年人。


没那么年轻的你,要怎么重新在起跑线赢了同龄人?


就从给文章点个赞开始!我会当成你的亲笔情书一样珍惜~


推 荐 阅 读

(点击图片即可阅读全文)



网易新闻沸点工作室《槽值》栏目长期招聘线上作者,单篇稿费300元-1500元。在公众号后台回复“招聘”即可查看。点击阅读原文,下载网易新闻客户端。


Forwarded from Official Account

谈心社
谈心社
Learn More