导语:纪录片《美国人一生的消费》中曾指出,美国人几乎每天都要喝牛奶,一个美国人一生大概要喝掉6吨牛奶。与之形成对比的是,按中国人均寿命76岁来算,中国人一生只喝2700多公斤奶,约为世界奶业国家平均水平的1/3。 复旦大学附属华山医院感染科主任张文宏和钟南山院士也曾公开表示,牛奶具有对人体十分有益的钙剂和优质蛋白,建议适量摄入牛奶。但是,近期多项研究发现牛奶喝得越多,死亡风险就越高。甚至有研究指出,牛奶食用过多,患乳腺癌、前列腺癌的风险会显著增加!下面让我们看一下具体的研究进展。 每天喝430g牛奶 前列腺癌症风险增加27%! 2022年6月8日,一项发表在The American Journal of Clinical Nutrition的前瞻性队列研究评估了乳制品、钙摄入量与前列腺癌患病风险之间的关系,发现与摄入奶制品量较低的男士相比,奶制品(尤其是牛奶)摄入量较高的男性患前列腺癌的风险显著升高(图1)[1]。此外,这种风险与非乳制品钙摄入量无关,这表明是乳制品中钙以外的成分在前列腺癌风险中发挥作用。
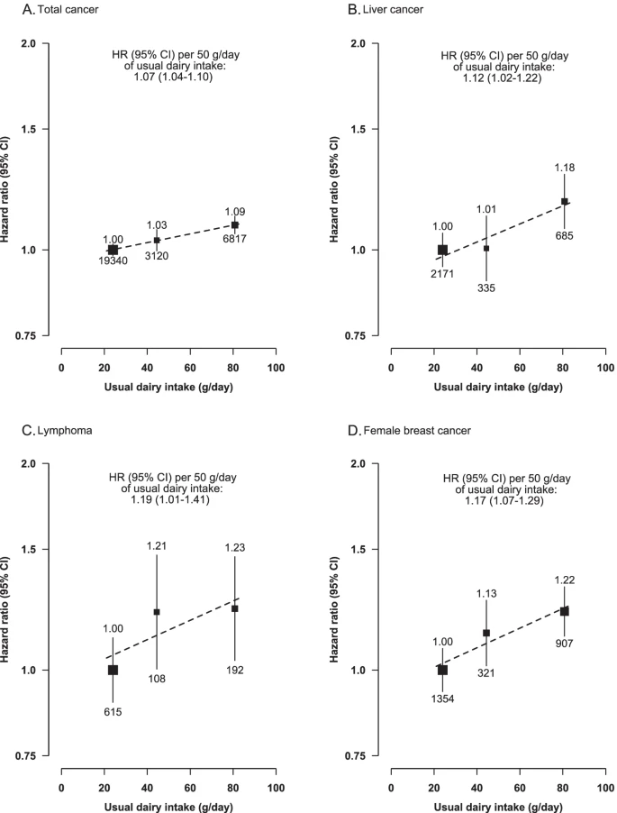
2022年5月6日,来自北京大学、阜外医院和中国医学科学院的多位中国学者和英国牛津大学学者在BMC Medicine合作发表了一项题为“Dairy consumption and risks of total and site-specific cancers in Chinese adults: an 11-year prospective study of 0.5 million people”的研究。该研究基于超过50万中国成年人的随访调研数据,发现乳制品摄入与更高的肝癌、乳腺癌风险呈正相关。即,牛奶或奶制品摄入越多,越容易得肝癌、乳腺癌和淋巴瘤(图4)[2]。
[1]Orlich MJ, Mashchak AD, Jaceldo-Siegl K, et al. Dairy foods, calcium intakes, and risk of incident prostate cancer in Adventist Health Study-2. Am J Clin Nutr. 2022 Jun 8:nqac093. doi: 10.1093/ajcn/nqac093. Epub ahead of print. PMID: 35672028.
[2]Kakkoura MG, Du H, Guo Y, et al. Dairy consumption and risks of total and site-specific cancers in Chinese adults: an 11-year prospective study of 0.5 million people. BMC Med. 2022 May 6;20(1):134. doi: 10.1186/s12916-022-02330-3. PMID: 35513801; PMCID: PMC9074208.
本文系生物探索原创,欢迎个人转发分享。
其他任何媒体、网站如需转载,须在正文前注明来源生物探索。