请点击上方蓝色字体“邹生书数学”,订阅本微信公众号;
请点击右上角的“…”,发送给朋友或分享到朋友圈。
公众号“邹生书数学”创建于2018年8月28日。
开号宗旨:为热爱学习和研究的高中数学教师和教研员搭建学习交流平台,提升教学能力,促进专业发展。本公众号致力传播数学文化,发表教研成果,交流教学经验,探讨数学问题,展示解题方法,分享教学资源,为服务高中教学作贡献。
邹生书,男,1962年12月出生,中学数学高级教师。主要从事高中数学教学、高中数学解题研究和探究性学习等。从2007年8月到2018年8月,在《数学通讯》《数学教学》《中学数学》《中学数学教学》等,二十多种学术期刊上发表解题和探究性学习文章300余篇。
公众号“邹生书数学”诚请高中数学教师、教研员和热爱数学的朋友不吝赐稿。来稿请注明真实姓名、工作单位和联系方式,一般只接受word文档格式的电子稿件,文稿请认真审查,防止错漏,文责自负。
投稿邮箱:zoushengshu@163.com;
投稿微信号:13297228197。
本公众号对优秀作者和名师实行“双推学习”,在分享文章的同时推介作者简历,让读者朋友更好的了解作者的研究成果和研究方向,以便进一步研读作者的相关文章。
欢迎转载本公众号文章,转载请注明:
“文章来源:邹生书数学”等字样。
孙丕训,数学特级教师,北京市朝阳区兼职教研员。1970年4月出生,1990年参加工作,已教过14届毕业班。2011年8月被北京市朝阳区人才引进到北京市陈经纶中学任教。曾获黑龙江省模范教师、鸡西市第七批专业技术拔尖人才、省骨干教师、市首届名师、市优秀教师、市百名优秀青年、市课堂教学大赛一等奖、市优秀共产党员、省优质课教师等荣誉称号。多次做朝阳区教材分析和专题讲座,在公开杂志上发表文章十余篇。
四证一道平面几何题
北京陈经纶中学孙丕训 山西吕梁 李有贵
数学爱好者潘奕
证法1(北京陈经纶中学 孙丕训 提供)
注:证明过程中有两处巧妙用到了四点共圆,同时用到了代数恒等式
证法2(山西吕梁 李有贵 提供)
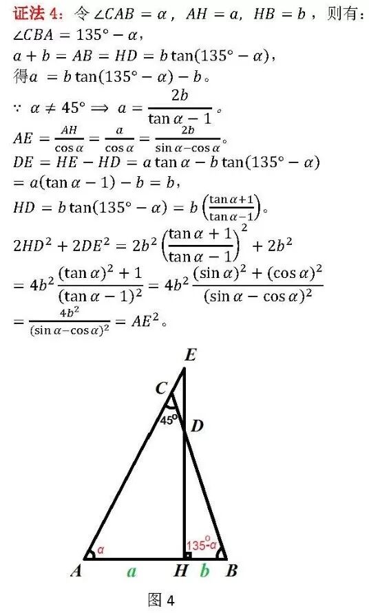
数学爱好者潘奕 提供两个三角证法
分析:这道题可作为三角法证明平面几何题的典型例子。由于特殊角45度角和直角三角形的存在,可以通过边长和角度的关系快速解题,无须添加任何辅助线。
长按或扫描二维码关注本公众号!