请点击上方蓝色字体“邹生书数学”,订阅本微信公众号;
请点击右上角的“…”,发送给朋友或分享到朋友圈。
公众号“邹生书数学”创建于2018年8月28日。
开号宗旨:为热爱学习和研究的高中数学教师和教研员搭建学习交流平台,提升教学能力,促进专业发展。本公众号致力传播数学文化,发表教研成果,交流教学经验,探讨数学问题,展示解题方法,分享教学资源,为服务高中教学作贡献。
邹生书,男,1962年12月出生,中学数学高级教师。主要从事高中数学教学、高中数学解题研究和探究性学习等。从2007年8月到2018年8月,在《数学通讯》《数学教学》《中学数学》《中学数学教学》等,二十多种学术期刊上发表解题和探究性学习文章300余篇。
公众号“邹生书数学”诚请高中数学教师、教研员和热爱数学的朋友不吝赐稿。来稿请注明真实姓名、工作单位和联系方式,一般只接受word文档格式的电子稿件,文稿请认真审查,防止错漏,文责自负。
投稿邮箱:zoushengshu@163.com;
投稿微信号:13297228197。
本公众号对优秀作者和名师实行“双推学习”,在分享文章的同时推介作者简历,让读者朋友更好的了解作者的研究成果和研究方向,以便进一步研读作者的相关文章。
欢迎转载本公众号文章,转载请注明:
“文章来源:邹生书数学”等字样。
黄贤锋,男,硕士研究生,现就职于江西萍乡中学,中学一级教师。在《数学通讯》《中学数学研究》《高中数学教与学》《高中数理化》等期刊上发表论文8篇。先后获“第十五届江西省职工职业道德建设先进个人”“萍乡市优秀班主任”“萍乡市教育局优秀共产党员”“萍乡市学科竞赛优秀教练员”等荣誉称号。2013年获江西省中学数学教师综合素质比赛优质课及综合素质双料一等奖。
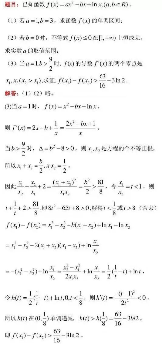
活用根与系数关系构造函数证明一道
函数不等式难题
江西省萍乡中学(337000) 黄贤锋
湖南长垣一中 万雄飞
下面是万雄飞老师的解法及解法步骤小结
长按或扫描二维码关注本公众号!
相关文章链接
作者往期文章链接
黄贤锋——分离诚可贵 转化价更高——对《分离lnx法解一类函数问题》的补遗
黄贤锋、贺江:一道课本例题的再思考黄贤锋、何义明——对一道高考题的推广探究
秋 心
秋来霜色早,雁去几声悲。
红叶山间落,湖心白絮吹。
哭非人生,笑非人生,哭笑不得乃人生;生很容易,活很容易,生活不是很容易;平生只为两件事,半为生活,半为快乐。有目标的人,走得再慢,也是进步;徘徊纠结的人,心里再急,也是徒劳枉然。别让低质量的勤奋毁了你,方向错了,停下来就是进步。
(以上诗文由汪跃中老先生提供)