请点击上方蓝色字体“邹生书数学”,订阅本微信公众号;
请点击右上角的“…”,发送给朋友或分享到朋友圈。
公众号“邹生书数学”创建于2018年8月28日。
开号宗旨:为热爱学习和研究的高中数学教师和教研员搭建学习交流平台,提升教学能力,促进专业发展。本公众号致力传播数学文化,发表教研成果,交流教学经验,探讨数学问题,展示解题方法,分享教学资源,为服务高中教学作贡献。
邹生书,男,1962年12月出生,中学数学高级教师。主要从事高中数学教学、高中数学解题研究和探究性学习等。从2007年8月到2018年8月,在《数学通讯》《数学教学》《中学数学》《中学数学教学》等,二十多种学术期刊上发表解题和探究性学习文章300余篇。
公众号“邹生书数学”诚请高中数学教师、教研员和热爱数学的朋友不吝赐稿。来稿请注明真实姓名、工作单位和联系方式,一般只接受word文档格式的电子稿件,文稿请认真审查,防止错漏,文责自负。
投稿邮箱:zoushengshu@163.com;
投稿微信号:13297228197。
本公众号对优秀作者和名师实行“双推学习”,在分享文章的同时推介作者简历,让读者朋友更好的了解作者的研究成果和研究方向,以便进一步研读作者的相关文章。
欢迎转载本公众号文章,转载请注明:
“文章来源:邹生书数学”等字样。
曹凤山,浙江省正高级教师,高中数学特级教师,全国优秀教师,山东省优秀教师,浙师大硕士生实践导师,杭师大讲席教授,中国教育电视台《中国课堂》栏目主讲教师,全国优秀科研教师,浙江师范大学特级教师流动工作站进站教师,浙派名师培养对象导师,浙江师范大学数理与信息工程技术学院基教研究中心研究员,“国培计划”—示范性教师工作坊首都师大高中数学班授课专家,浙江省高等学校师范生教学技能大赛评委,“曹凤山特级教师工作室”主持人,浙江省“曹凤山网络名师工作室”主持人,“国培计划(2015、2016)”—示范性教师工作坊高端研修项目浙江省主持人,浙江省多项重大考试命题教师备选人员。曾任教于浙江省一级重点中学杭州市余杭高级中学,现任职于杭州市余杭区教育局教研室。
已在《数学通报》《中学数学教学参考》等刊物上发表论文320余篇,其中13篇被中国人大《高中数学教与学》转载,专著《学习智慧自助餐》2004年由石油大学出版社出版。
在中国教育电视台讲授《函数》一轮复习课六节,全国播出,在全国继教网录播《信息技术与教师专业发展》六节课全国国培课程使用,在上海、广东、江苏、贵州、山东、安徽、河南、新疆、黑龙江、福建等省份多地市作学术讲座、课堂观摩课上百场次,主编(编审)《优化方案》《三维设计》《世纪金榜》等高三复习用书二十多本(部),入选《中学数学》《教育艺术》《中学数学教学参考》《中学生数理化》等杂志的封面人物。
降低重心 提升素养
——谈数列学习与问题求解
曹凤山(特级教师)
浙江省杭州市余杭区教育局教研室
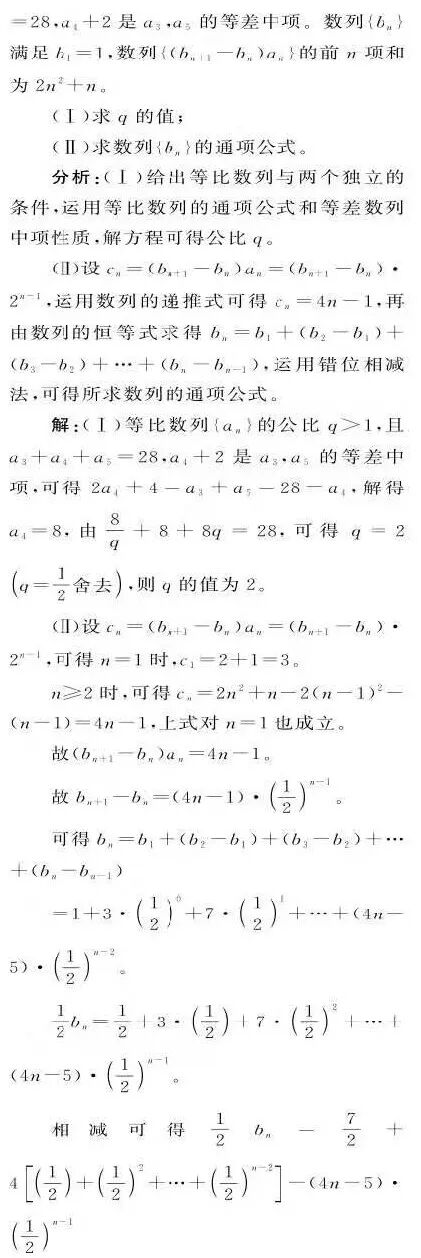
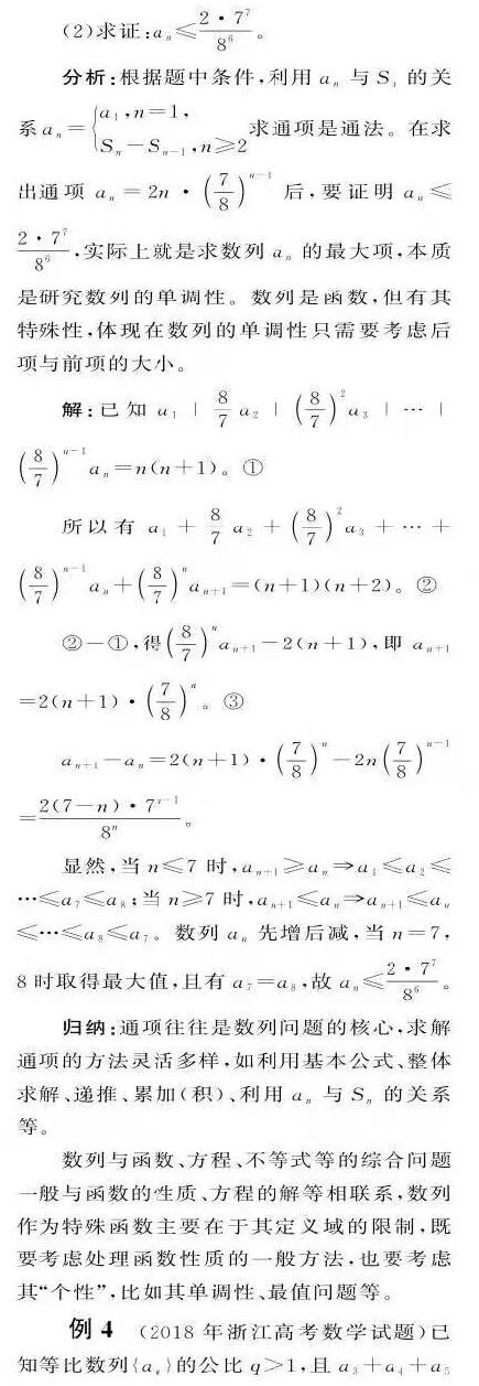
数列是高中数学的主干知识,又是学习高等数学的基础,高考对这部分内容每年都会重点考查,通常采取“一大一小”的模式,重在考查数列的概念、两个基本数列、通性通法和重要的数学思想方法,有些问题与函数、不等式、解析几何、三角函数等综合,在知识交汇点上命制试题。由于数列内容上的独特性,我们在解题与学习时要注意相应的方法。
一、关注基本量
作者近期文章链接
曹凤山:年年考向量 岁岁数与形 ———浙江省自主命题以来向量试题特点评析
长按或扫描二维码关注本公众号!
近期好文荐读:
一位高三家长的演讲火了!人生很长,不必慌张。你未长大,我要担当。
一位高三家长的演讲火了!人生很长,不必慌张。你未长大,我要担当。
一生只有43年,喜欢泡妹打架,却凭借一篇文章震惊世界,跻身一流数学家
史上最变态高考数学题,让99%的考生献上膝盖,看完我惊了......
魏立国——不等式e^x ≥ x+1和+ln(x+1)≤X的应用
【博学多才】筷子夹汤圆,夹出一个美丽的"蒙日圆",真是太神奇了!!!
【美不胜收】求解动点轨迹方程的的七种解法------全方位,无死角!!!
洪一平、 杨飞、邹生书——解答一道以椭圆为载体的轨迹方程与面积最值征解难题
单壿、石中海、赵春等:一道莫斯科绝对值最小值高考题的解法研究文章荟萃