将军饮马之加强版
广东深圳 杨俊
将军饮马问题是初中的常见问题,非常典型且常规,这个问题能够打通代数和几何之间的关联,同时本身也有很多种变形的情况,今天我们主要讲解两种情况:胡不归和加权版将军饮马问题。
所谓将军饮马问题即:在某条直线的同侧的两点A,B在该直线上寻找一点P使AP+BP最短。最简化的模型比如:已知两点A,B的坐标分别为(1,1)和(2,3)在轴上找一点P使AP+BP最短?做法就是作其中一个点A关于x轴的对称点C(1,-1)连接CB与x轴的交点P可以使AP+BP最短,其最小值为√17
当然,这个问题也可以换一个角度来问:
![]()
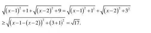
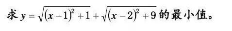
这个时候老师会告诉学生,你把这两个式子看成一个轴上一个动点P(x,0)到两个定点A(1,1)和B(2,3)的距离之和就可以转化为将军饮马问题了,这个转化的方法很棒,非常好的体现了数形结合的数学思维。
当然,如果我们做的足够熟练了,完全可以使用柯西不等式直接得到结果:
![]()
今天我们来介绍两种这个模型的加强版,先说胡不归模型。
![]()
![]()
有了上一个题目的经验,相信大多数人能很快反应出来对应的解法,好了,这个答案留给读者们自己动笔计算一下吧。
当然,如果你觉得这些都是小儿科罢了,不妨来试试这题,
![]()
接下来,我们继续介绍加权版将军饮马问题。
![]()
当然,高中生也可以直接通过求导得到a=1/3时有极小值,也就是说,光的折射定理的和求导是等效的,但初中生并没有学过导数,故只能采用这种方法教初中生来解.
其实,无论是任何类型的将军饮马的变形版本,从原理上来说,都是可以利用导数来解决的,但对于初中生来说,对于一些简单的系数比,可以有更为简单的转化方法,那么,你能熟练掌握了吗?相信只要你用心了,是完全可以的.
![]()
长按或扫描二维码关注本公众号!
高中数学视频链接:
1.2004-2019高考真题视频讲解合集
2.完全免费||高二数学学习授课视频精选
3.完全免费||高考数学优秀视频课程线上学习合集
4.免费学习||高考数学在线课堂十三个专题视频合集
近期好文荐读:
活用“龙凤不等式”和变量替换解函数压轴题
曾蓉——轨迹法突破一类解三角形面积最值问题之二 原来也有“圆”
与椭圆直径相关的一个性质及其应用
曾蓉——轨迹法处理一类解三角形最值问题之一 阿波罗尼斯圆
赵忠华——一道联考题的八种解法
麻雀虽小 五脏俱全 题目不难 解法多多 ——好题佳解
洪一平——山西八校联考向量数量积最大值试题的五种解法
二面角,你是不是想的太简单了点!
免费学习||高考数学在线课堂十三个专题视频合集
杨俊——构造函数,巧解函数导数的不等式之二
邹生书——二元二次方程条件下的最值题型分类与解法
【见微知著】三角形“四心”的向量情结
邹生书——复合三角函数中w的取值范围问题及其解法
杨俊——椭圆上一点到定点的距离最值的问题
邹生书——极化等式举旗开道 几何性质保驾护航
2019年上海高考数学第11题不同解法及索源
关仲卿——解密含有a+b+c=1的条件不等式的证明
张长新、邹生书——同题异构三解一道指对混合超越方程试题
邹生书——运用对数平均不等式破解函数双零点问题
八仙过海||群解一道椭圆离心率征解难题
是时候给三角形的“四心”做个了结了
郭学锋:错题错解——反思改编——探究多解
王小国——分类解析同构意识在解题中的应用
先猜后证——探究圆锥曲线的一个定点和定值问题
邹庆榕:追根溯源——— 数列的周期是如何形成的?
一类最值问题的巧思与妙解
设一个好方程 事半功倍
邹生书——高考数列中的最值问题及其求法
掀起你的盖头来——几道难得的函数方程问题
万志红:一道向量数量积问题的多种解法
邹生书——选好“模特儿”“秒杀”抽象函数不等式问题
探讨高考数学命题人如何编定 概率统计的试题(下)
常考点——巧构函数处理抽象函数不等式问题探究
从求解过程看高考解答题中压轴题的求解策略
曹凤山——关注焦点 优化解题
曹凤山——导数问题中的“合二为一”与“一分为二”
曹凤山:讲好数字背后的故事 — —解题教学的一项基本功
曹凤山:年年考向量 岁岁数与形 ———浙江省自主命题以来向量试题特点评析
王信元——台湾高雄中学一道小巧玲珑的圆锥曲线试题及解答
邹生书——多变量问题选择主元的四种方法
2019高考优秀模拟试卷理科数学试题解析
万尔遐、汪跃中——探讨高考数学命题人如何编定概率统计的试题
点差法与向量联手简解中点弦问题
立体几何最值问题的求解策略
求二项展开式系数最值项的一种方法
八个无敌模型——全搞定空间几何的外接球和内切球问题!
曾蓉——巧用投影,妙解向量数量积
运用"矩形大法"解两道向量模取值范围问题
邹生书——利用动直线恒过定点优化解题过程
单墫——谈数学学习与解题
邹生书——例谈椭圆双曲线离心率取值范围的求法
数学解题的思维过程
关于投影,有了这篇推送应该已经足够了。
一道背景深厚的椭圆离心率难题及其解法研究
圆锥曲线相交切线的性质
魏立国——不等式e^x ≥ x+1和+ln(x+1)≤X的应用
【博学多才】筷子夹汤圆,夹出一个美丽的"蒙日圆",真是太神奇了!!!
一道取值范围试题的七个解法四个结果!谁对谁错?问题出在哪?
【美不胜收】求解动点轨迹方程的的七种解法------全方位,无死角!!!
杨飞——极值点偏移与拐点偏移的解题思路
洪一平、 杨飞、邹生书——解答一道以椭圆为载体的轨迹方程与面积最值征解难题
单壿、石中海、赵春等:一道莫斯科绝对值最小值高考题的解法研究文章荟萃
从求解过程看高考解答题中压轴题的求解策略
三角函数求最值的七种解法——个个实用
先猜后证破解圆锥曲线“三定”探索题
柴淑兰——关于“高中数学必修1第一章”难点处理策略(续完)
柴淑兰——关于“高中数学必修1第一章”难点处理策略(待续)
一道向量难题的两思路四解法
挖掘隐含条件 探求解题途径——谈一类参数取值范围高考题的解法
题型汇编 | 高考中的复合函数
函数图像对称性的导数视角
抽象函数的“双对称”问题及解法
张长新——几个平几定理在解题中的应用
用对称原理和平衡状态分析思考数学问题