请点击上方蓝色字体“邹生书数学”,订阅本微信公众号;
请点击右上角的“…”,发送给朋友或分享到朋友圈。
公众号“邹生书数学”创建于2018年8月28日。
开号宗旨:为热爱学习和研究的高中数学教师和教研员搭建学习交流平台,提升教学能力,促进专业发展。本公众号致力传播数学文化,发表教研成果,交流教学经验,探讨数学问题,展示解题方法,分享教学资源,为服务高中教学作贡献。
邹生书,男,1962年12月出生,中学数学高级教师。主要从事高中数学教学、高中数学解题研究和探究性学习等。从2007年8月到2018年8月,在《数学通讯》《数学教学》《中学数学》《中学数学教学》等,二十多种学术期刊上发表解题和探究性学习文章300余篇。
公众号“邹生书数学”诚请高中数学教师、教研员和热爱数学的朋友不吝赐稿。来稿请注明真实姓名、工作单位和联系方式,一般只接受word文档格式的电子稿件,文稿请认真审查,防止错漏,文责自负。
投稿邮箱:zoushengshu@163.com;
投稿微信号:13297228197。
本公众号对优秀作者和名师实行“双推学习”,在分享文章的同时推介作者简历,让读者朋友更好的了解作者的研究成果和研究方向,以便进一步研读作者的相关文章。
欢迎转载本公众号文章,转载请注明:
“文章来源:邹生书数学”等字样。
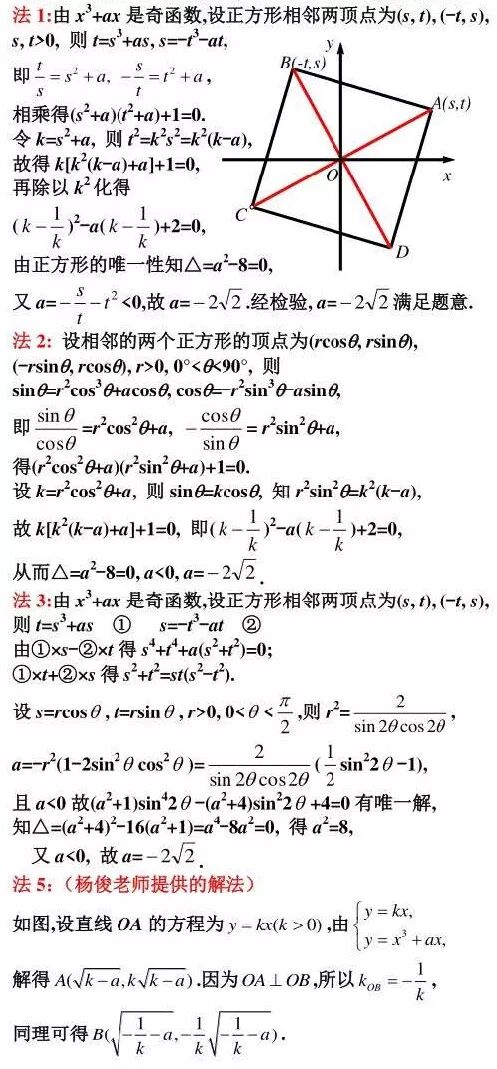
一道根源杯奥林匹克邀请赛试题的几种解法
浙江省平阳中学 洪一平
有群友提出了如下的问题, 题目是2018年9月根源杯奥林匹克邀请赛一试试题第8题.为此,我把经过整理的源于网络的解答给大家分享一下,供大家参考,解答并非都是原创.
题目:若有且仅有一个正方形, 其中心位于原点, 且其四个顶点在曲线y=x3+ax上, 则实数a=_______
(由刘天乐供题及提供解答, 法一源于他的解答的改写)
长按或扫描二维码关注本公众号!
高中数学视频链接:
近期好文荐读:
曾蓉——轨迹法突破一类解三角形面积最值问题之二 原来也有“圆”
曹凤山:年年考向量 岁岁数与形 ———浙江省自主命题以来向量试题特点评析
魏立国——不等式e^x ≥ x+1和+ln(x+1)≤X的应用
【博学多才】筷子夹汤圆,夹出一个美丽的"蒙日圆",真是太神奇了!!!
【美不胜收】求解动点轨迹方程的的七种解法------全方位,无死角!!!
洪一平、 杨飞、邹生书——解答一道以椭圆为载体的轨迹方程与面积最值征解难题
单壿、石中海、赵春等:一道莫斯科绝对值最小值高考题的解法研究文章荟萃